专练07(解答题-基础,20题)-2020~2021学年高一数学下学期期末考点必杀黄金200题(北师大2019版)
展开
这是一份专练07(解答题-基础,20题)-2020~2021学年高一数学下学期期末考点必杀黄金200题(北师大2019版),文件包含专练07解答题-基础20题-20202021学年高一数学下学期期末考点必杀黄金200题北师大2019版原卷版docx、专练07解答题-基础20题-20202021学年高一数学下学期期末考点必杀黄金200题北师大2019版解析版docx等2份试卷配套教学资源,其中试卷共19页, 欢迎下载使用。
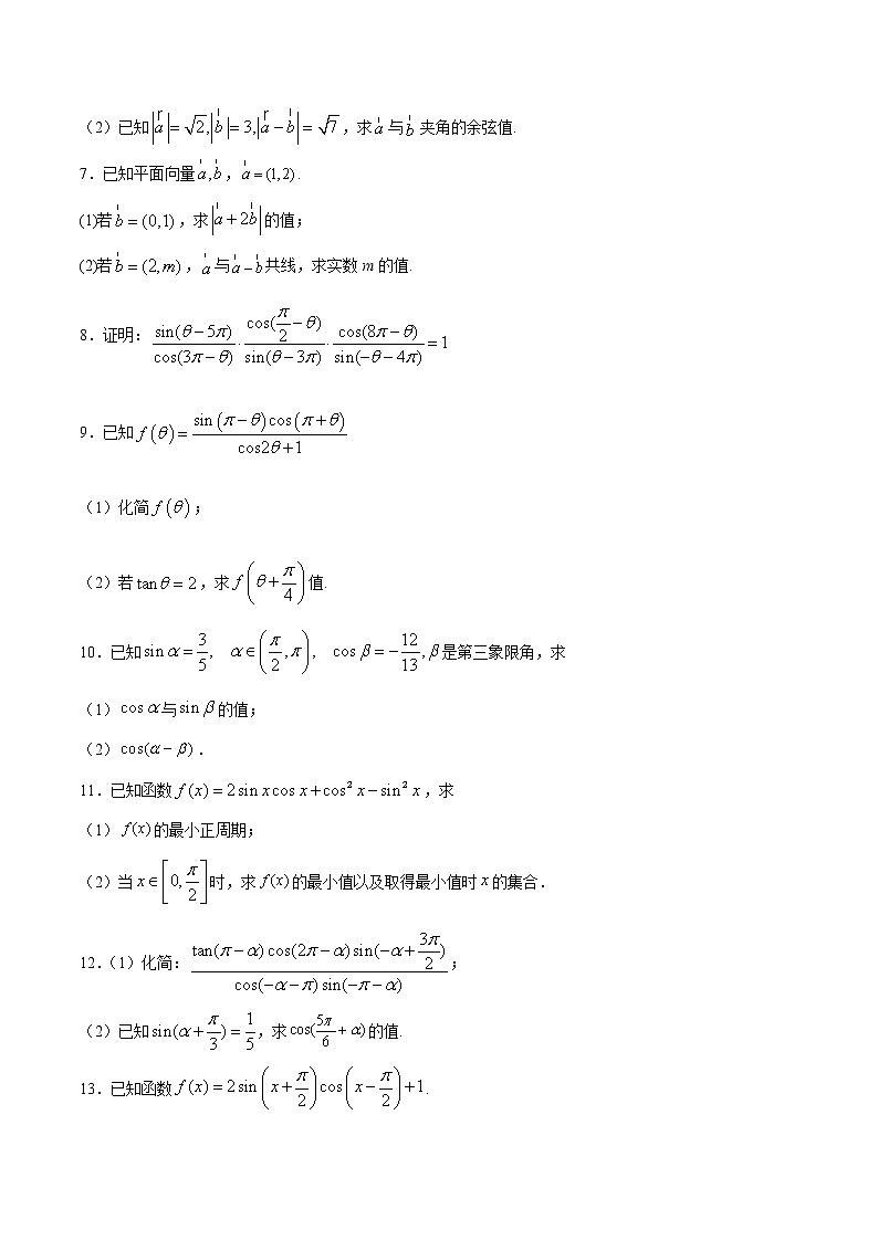
专练07(解答题-基础-20题)1.(1)已知复数,求.(2)已知是虚数单位,化简复数:.【答案】(1);(2)0;【分析】(1)利用复数的乘法、乘方运算化简,根据共轭复数得到,进而求即可;(2)利用复数的四则运算,化简求值即可;【详解】(1),故,所以;(2)【点睛】本题考查了复数的概念以及四则运算,利用共轭复数概念得到共轭复数并求模,应用复数的四则运算化简求值,注意、的应用;2.如图,已知复平面内平行四边形ABCD中,点A对应的复数为,对应的复数为2+2i,对应的复数为4-4i.(1)求D点对应的复数;(2)求平行四边形ABCD的面积.【答案】(1)3﹣4i;(2)16.【分析】(1)利用复数的几何意义、向量的坐标运算性质、平行四边形的性质即可得出.(2)利用向量垂直与数量积的关系、模的计算公式、矩形的面积计算公式即可得出.【详解】解:(1)依题点A对应的复数为,对应的复数为2+2i,得A(-1,0), =(2,2),可得B(1,2).又对应的复数为4-4i,得=(4,-4),可得C(5,-2).设D点对应的复数为x+yi,x,y∈R.得=(x-5,y+2),=(-2,-2).∵ABCD为平行四边形,∴=,解得x=3,y=-4,故D点对应的复数为3-4i.(2)=(2,2),=(4,-4),可得:,∴ ,故平行四边形ABCD的面积为3.平面内给定三个向量,,.(1)求满足的实数,;(2)若,求实数的值.【答案】(1),;(2).【分析】(1)依题意求出的坐标,再根据向量相等得到方程组,解得即可;(2)首先求出与的坐标,再根据向量共线的坐标表示计算可得;【详解】解:(1)因为,,,且,,,,.,解得,.(2),,,.,,,.,解得.4.已知.(1)若与垂直时,求的值;(2)若与平行时,求的值.【答案】(1) ;(2)【分析】(1) ,整理后代入坐标可得;(2) 由向量等式得代数方程可解得【详解】由与垂直得,, 又,所以 ,(2)由与平行得,,,、不共线, 解得【点睛】此题考查向量的垂直与共线,属于基础题.5.如图所示,已知在平行四边形ABCD中,,,求:(1)当满足什么条件时,与垂直;(2)当满足什么条件时,.【答案】(1);(2).【分析】(1)由与垂直,只需满足四边形为菱形,即可求解;(2)由,只需使得平行四边形为矩形,即可求解.【详解】(1)若与垂直,即平行四边形的两条对角线互相垂直,则只需满足四边形为菱形,所以满足即可.(2)根据向量的线性运算法则,可得|表示平行四边形的两条对角线长度相等,只需使得平行四边形为矩形,所以即可.6.(1)已知单位向量与夹角为60°,且,求的值.(2)已知,求与夹角的余弦值.【答案】(1);(2).【分析】(1)由平面向量数量积的定义求得•的值,而•2,代入所得数据进行运算即可;(2)将||两边平方展开后得7,从而求出的值,再由cos即可得解.【详解】解:(1)∵单位向量与夹角为60°,∴•||•||cos60°=1×1.∴()•(2)•212.(2)∵||,∴7,即2﹣29=7,∴2,∴cos.故与夹角的余弦值为.7.已知平面向量,.(1)若,求的值;(2)若,与共线,求实数m的值.【答案】(1);(2)4.【分析】(1)求出,即可由坐标计算出模;(2)求出,再由共线列出式子即可计算.【详解】(1), 所以;(2), 因为与共线,所以,解得m=4.8.证明:【答案】证明见解析【分析】根据诱导公式化简计算即可.【详解】证明:原式.【点睛】本题主要考查诱导公式的应用,属于简单题.9.已知(1)化简;(2)若,求值.【答案】(1);(2).【分析】(1)运用诱导公式化简即可;(2)运用两角和的正切公式展开,带入数值即可.【详解】(1)(2),所以10.已知是第三象限角,求(1)与的值;(2).【答案】(1),;(2)【分析】(1)根据平方关系计算即可得出,;(2)由(1)的结果,结合两角差的余弦公式求解即可.【详解】(1)由,,得.又由,是第三象限角,得.(2)由(1)得
.11.已知函数,求(1)的最小正周期;(2)当时,求的最小值以及取得最小值时的集合.【答案】(1);(2),此时的集合为【分析】(1)利用倍角公式化简整理函数的表达式,由周期.(2)先求解,由正弦函数性质求解最值即可.【详解】(1).∴函数的最小正周期.(2)∵,,∴∴.此时,∴.取最小值时的集合为12.(1)化简:;(2)已知,求的值.【答案】(1)-1;(2).【分析】(1)利用诱导公式化简求值即可.(2)由,结合诱导公式即可求值.【详解】(1).(2).13.已知函数.(1)求函数的最小正周期和最大值;(2)求函数的单调减区间.【答案】(1),最大值为;(2).【分析】(1)先化简得,即得函数的最小正周期和最大值;(2)解不等式,即得解.【详解】(1)所以函数的最小正周期为,当时最大值为;(2)令,所以,单调递减区间是.【点睛】本题主要考查三角恒等变换,考查三角函数的图象和性质,意在考查学生对这些知识的理解掌握水平.14.已知为空间四边形的边上的中点,求证:.【答案】证明见解析.【分析】根据中位线定理与平行公理证明即可.【详解】证明:∵ 在中,为边的中点,∴ ,∵在中,为边上的中点,∴,∴.15.如图所示是一个长方体截去一个角得到的几何体的直观图及正视图和侧视图(单位:cm).(1)画出该多面体的俯视图,并标上相应的数据;(2)设为上的一点,为中点,且,证明:平面平面.【答案】(1)图形见解析;(2)证明见解析.【分析】(1)由几何体直观图及正视图、侧视图,即可画出俯视图;(2)由线面平行的判定可得平面、平面,根据面面平行的判定即可证平面平面.【详解】(1)该多面体的俯视图如下图所示:(2)为中点且,连接,,,则四边形为平行四边形,即,而,平面,∴平面,由图易知,同理可得平面,又,平面平面.16.表示顶点在原点,始边重合于轴的正半轴、终边落在阴影部分内的角的集合(不包含边界).【答案】图(1)中对应角的集合为;图(2)中对应角的集合为.【分析】根据终边相同,确定边界线所表示角的集合,从而确定终边落在阴影部分的角的集合.【详解】解:图(1)中,,∴对应为,即对应角的集合为.图(2)中,,∴对应为即对应角的集合为.17.如图,在矩形中,,,沿对角线把△折起,使点移到点,且在平面内的射影恰好落在上.(1)求证:平面平面;(2)求二面角的余弦值.【答案】(1)证明见解析;(2).【分析】(1)由题意易知,根据线面垂直的判定可得平面,再由面面垂直的判定证平面平面.(2)由(1)结合勾股逆定理知,根据线面垂直的判定有面,有是二面角的平面角,即可求余弦值.【详解】(1)证明:在平面内的射影恰好落在上,即为在面上的射影,而,所以,∵,,∴平面,又平面,∴平面平面.(2)由(1)知:,在中,有,即,∴,又,,即面,∴二面角的平面角是,∴,∴二面角的余弦值是.18.已知函数.(1)求函数的值域;(2)求函数单调递增区间.【答案】(1) , (2) 【分析】(1)先对函数化简为,然后利用正弦函数的取值范围可求出的值域;(2)由解出的范围就是所要求的递增区间.【详解】解:(1)因为,所以所以的值域为;(2)由,得,所以单调递增区间为【点睛】此题考查三角函数的恒等变换公式,正弦函数的性质,属于基础题.19.已知角的顶点与坐标原点重合,始边落在轴的正半轴上,终边经过点,其中.(1)若,求的值;(2)若,求的值.【答案】(1);(2).【分析】(1)用三角函数的定义;(2)先求正切值,再把弦化切.【详解】(1)由题意知,,因为,所以.解得,所以.(2)当时,,所以.【点睛】本题为基础题,考查三角函数的定义及同角三角函数的关系.20.长方体中,分别为棱的中点.(1)求证:;(2)求证:.【答案】(1)证明见解析;(2)证明见解析.【分析】(1)先证明四边形为平行四边形,可得,再证明四边形为平行四边形,得,从而得;(2)根据等角定理证明即可.【详解】证明:(1)如图,取的中点,连接.在矩形中,易得,因为,,所以,所以四边形为平行四边形,所以.在矩形中,易得,.所以四边形为平行四边形,所以,所以.(2)因为,,又与的对应边方向相同,所以.
相关试卷
这是一份专练09(解答题-压轴,20题)-2020~2021学年高一数学下学期期末考点必杀黄金200题(北师大2019版),文件包含专练09解答题-压轴20题-20202021学年高一数学下学期期末考点必杀黄金200题北师大2019版原卷版docx、专练09解答题-压轴20题-20202021学年高一数学下学期期末考点必杀黄金200题北师大2019版解析版docx等2份试卷配套教学资源,其中试卷共32页, 欢迎下载使用。
这是一份专练06(填空题-压轴,20题)-2020~2021学年高一数学下学期期末考点必杀黄金200题(北师大2019版),文件包含专练06填空题-压轴20题-20202021学年高一数学下学期期末考点必杀黄金200题北师大2019版原卷版docx、专练06填空题-压轴20题-20202021学年高一数学下学期期末考点必杀黄金200题北师大2019版解析版docx等2份试卷配套教学资源,其中试卷共20页, 欢迎下载使用。
这是一份专练05(填空题-提升,20题)-2020~2021学年高一数学下学期期末考点必杀黄金200题(北师大2019版),文件包含专练05填空题-提升20题-20202021学年高一数学下学期期末考点必杀黄金200题北师大2019版原卷版docx、专练05填空题-提升20题-20202021学年高一数学下学期期末考点必杀黄金200题北师大2019版解析版docx等2份试卷配套教学资源,其中试卷共13页, 欢迎下载使用。

