人教版新课标B选修4-5柯西不等式备课ppt课件
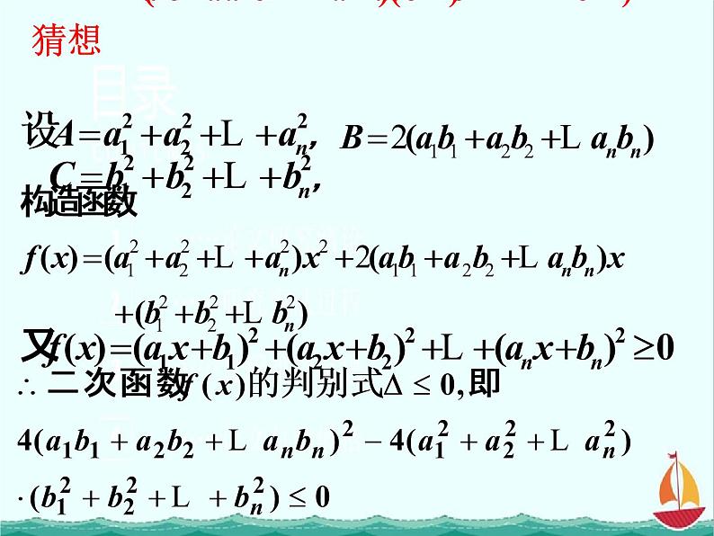
展开若a,b,c,d都是实数,则 (a2 +b2)(c2 +d2)≥(ac +bd)2当且仅当ad =bc时,等号成立.定理1(二维形式的柯西不等式):5.4.1柯西不等式思考:能否把上述结论推广至一般形式?一般形式的柯西不等式猜想补充作业:
高中数学人教版新课标A选修4-5二 一般形式的柯西不等式集体备课课件ppt: 这是一份高中数学人教版新课标A选修4-5二 一般形式的柯西不等式集体备课课件ppt,共12页。PPT课件主要包含了猜想并证明,补充练习等内容,欢迎下载使用。
高中数学人教版新课标B选修4-5柯西不等式备课ppt课件: 这是一份高中数学人教版新课标B选修4-5柯西不等式备课ppt课件,共9页。PPT课件主要包含了向量形式等内容,欢迎下载使用。
高中数学人教版新课标A选修4-5一 二维形式的柯西不等式教课内容ppt课件: 这是一份高中数学人教版新课标A选修4-5一 二维形式的柯西不等式教课内容ppt课件,共10页。PPT课件主要包含了思考解答,三角不等式等内容,欢迎下载使用。

