安徽师范大学附属中学2020-2021学年第一学期高一期末数学试卷 含答案
展开2020-2021学年安徽师大附中高一(上)期末数学试卷
一、选择题(共10小题).
1.设P和Q是两个集合,定义集合P﹣Q={x|x∈P,且x∉Q},如果P={x|1<2x<4},Q={y|y=2+sinx,x∈R},那么P﹣Q=( )
A.{x|0<x≤1} B.{x|0≤x<2} C.{x|1≤x<2} D.{x|0<x<1}
2.已知x1=,x2=,=log3x3,则( )
A.x1<x3<x2 B.x2<x1<x3 C.x1<x2<x3 D.x3<x1<x2
3.已知角α的始边与x轴的正半轴重合,顶点在坐标原点,角α终边上的一点P到原点的距离为,若α=,则点P的坐标为( )
A.(1,) B.(,1) C.(,) D.(1,1)
4.若sinx<0,且sin(cosx)>0,则角x是( )
A.第一象限角 B.第二象限角 C.第三象限角 D.第四象限角
5.已知函数f(x)=,则满足f(2x+1)<f(3x﹣1)的实数x的取值范围是( )
A.(,+∞) B.(2,+∞) C.(,2) D.(1,2)
6.函数f(x)=在[﹣π,π]的图象大致为( )
A. B.
C. D.
7.已知x>0,y>0,lg2x+lg8y=lg2,则的最小值是( )
A.2 B.2 C.4 D.2
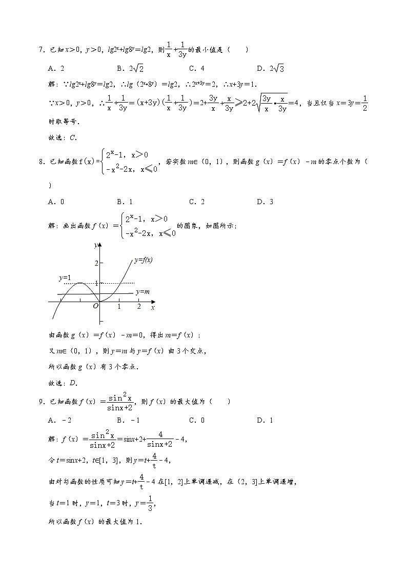
8.已知函数,若实数m∈(0,1),则函数g(x)=f(x)﹣m的零点个数为( )
A.0 B.1 C.2 D.3
9.已知函数f(x)=,则f(x)的最大值为( )
A.﹣2 B.﹣1 C.0 D.1
10.已知函数f(x)=x+log3(9x+1),则使得f(x2﹣x+1)﹣1<log310成立的x的取值范围是( )
A.(0,) B.(﹣∞,0)∪(1,+∞)
C.(0,1) D.(﹣∞,1)
二、填空题(共5小题).
11.(4分)命题“∃x0∈R,log2x0+2<0”的否定是 .
12.(4分)计算(lg2)2+lg2•lg50+lg25= .
13.(4分)如图,直角△POB中,∠PBO=90°,以O为圆心、OB为半径作圆弧交OP于A点.若圆弧等分△POB的面积,且∠AOB=α弧度,则= .
14.(4分)设函数f(x)=x2+ax+b(a,b∈R),若关于x的不等式0≤f(x)≤﹣x+6的解集为[2,3]∪{6},则b﹣a= .
15.(4分)用MI表示函数y=sinx在闭区间I上的最大值.若正数a满足M[0,a]≥M[a,2a],则a的最大值为 .
三、解答题:本大题共6小题,共50分.解答应写出文字说明、证明过程或演算步骤.解答写在答题卡上的指定区域内.
16.(8分)记函数的定义域为集合A,函数g(x)=lg[(x﹣a+1)(x﹣a﹣1)]的定义域为集合B.
(Ⅰ)求集合A;
(Ⅱ)若A∩B=A,求实数a的取值范围.
17.(8分)已知sin()=,且0,求sin()﹣cos(+x)的值.
18.(8分)已知函数f(x)=loga(3﹣ax).
(1)当x∈[0,2]时,函数f(x)恒有意义,求实数a的取值范围;
(2)是否存在这样的实数a,使得函数f(x)在区间[1,2]上为减函数,并且最大值为1?如果存在,试求出a的值;如果不存在,请说明理由.
19.(8分)我国所需的高端芯片很大程度依赖于国外进口,“缺芯之痛”关乎产业安全、国家经济安全.如今,我国科技企业正在芯片自主研发之路中不断崛起.根据市场调查某手机品牌公司生产某款手机的年固定成本为40万美元,每生产1万部还需另投入16万美元.设该公司一年内共生产该款手机x万部并全部销售完,每万部的销售收入为R(x)万美元,且R(x)=.当该公司一年内共生产该款手机2万部并全部销售完时,年利润为704万美元.
(1)写出年利润W(万美元)关于年产量x(万部)的函数解析式;
(2)当年产量为多少万部时,公司在该款手机的生产中所获得的利润最大?并求出最大利润.
20.(8分)已知函数f(x)=lg,f(1)=0,当x>0时,恒有f(x)﹣f()=lgx.
(1)求f(x)的表达式及定义域;
(2)若方程f(x)=lgt有解,求实数t的取值范围;
(3)若方程f(x)=lg(8x+m)的解集为∅,求实数m的取值范围.
21.(10分)已知函数f(x)=2sin(x+)•cosx﹣1.
(1)当x∈[﹣,]时,f2(x)﹣mf(x)﹣m≤0恒成立,求实数m的取值范围;
(2)是否同时存在实数a和正整数n,使得函数g(x)=f(x)﹣a在[0,nπ]上恰有2021个零点?若存在,请求出所有符合条件的a和n的值;若不存在,请说明理由.
安徽师范大学附属中学2022-2023学年高一上学期期末数学试题: 这是一份安徽师范大学附属中学2022-2023学年高一上学期期末数学试题,共20页。试卷主要包含了单项选择题,多项选择题,填空题,解答题等内容,欢迎下载使用。
山东师范大学附属中学2022-2023 学年高一上学期期末测试数学试卷(含答案): 这是一份山东师范大学附属中学2022-2023 学年高一上学期期末测试数学试卷(含答案),共14页。试卷主要包含了选择题,多项选择题,填空题,解答题等内容,欢迎下载使用。
安徽师范大学附属中学2022-2023学年高一上学期期末数学试题: 这是一份安徽师范大学附属中学2022-2023学年高一上学期期末数学试题,共20页。试卷主要包含了单项选择题,多项选择题,填空题,解答题等内容,欢迎下载使用。

