河南省实验中学2021-2022学年高二上学期期中考试数学(文)含答案
展开河南省实验中学2021——2022学年上期期中试卷
高二 文科数学 命题人:白文明 审题人:王丽
(时间:120分钟,满分:150分)
一.选择题(本大题共12小题,每小题5分,共60分)
1.若x,y满足﹣1<x<y<1,则x﹣y的取值范围是( )
A.(﹣2,0) B.(﹣2,2) C.(﹣1,0) D.(﹣1,1)
2.等比数列{an}的各项均为正数,且a1a5=4,则( )
A.10 B.5 C.3 D.4
3.△ABC的内角A,B,C的对边分别为a,b,c,满足a:b:c=2:4:5,则等于( )
A. B. C. D.
4.已知不等式ax2+bx+c>0的解集为{x|﹣2<x<1},则不等式cx2﹣ax+b>0的解集为( )
A.{x|x<1} B.{x|x或x>1} C.{x|﹣1<x} D.{x|x<﹣1或x}
5.已知等差数列{an}和{bn}的前n项和分别为Sn和Tn,且有a1+a9=2,b4+b6=8,则的值为( )
A. B. C.2 D.3
6.在△ABC中,角A、B、C所对的边分别为a、b、c,已知B=45°,,为使此三角形有两个,则b满足的条件是( )
A. B.0<b<2 C. D.或b=2
7.已知,且z=2x﹣y的最大值是最小值的2倍,则a等于( )
A. B. C. D.
8.在数列{an}中,a1=1,an﹣an﹣1=n(n∈N+,n≥2),则的最小值是( )
A. B. C.1 D.
9.“大玉米”是郑州新地标,被称为“中原第一高楼”,也被称为是世界上一座独一无二的标志性建筑.它是圆柱塔式建筑,夜晚其布景灯采用黄色设计,外形宛如一根“大玉米”.某人在地面上点C测得塔底B在南偏西70°,楼顶A的仰角为45°,此人沿南偏东50°方向前进280m到点D,测得楼顶A的仰角为30°.按照此人的测量进行估算,则“大玉米”的高约为( )(参考数据:4202=176400)
A.280m B.150m C.290m D.170m
10.已知a>b>0,则的最小值为( )
A.6 B.4 C. D.
11.已知数列{an}满足an,且数列{an}是单调递增数列,则t的取值范围是( )
A.(,) B.(,+∞) C.(5,+∞) D.(1,4]
12.在△ABC中,内角A,B,C的对边为a,b,c,若a,b,c的倒数成等差数列,则B的范围为( )
A. B. C. D.
二.填空题(本大题共4小题,每小题5分,共20分)
13.若数列{an}的前n项和为,则数列{an}的通项公式an= .
14.不等式的解集为 .
15.如果函数f(x)在区间D上是凸函数,那么对于区间D内的任意x1,x2,…,xn,都有f().若y=sinx在区间(0,π)上是凸函数,那么在△ABC中,sinA+sinB+sinC的最大值是 .
16.数列{an}满足an+1+(﹣1)nan=2n﹣1,则{an}的前60项和为 .
三.解答题(本大题共6小题,其中17题10分,其余每小题12分,共70分)
17.(10分)已知在△ABC中,角A,B,C的对边分别为a,b,c,
且2sin2A+3cos(B+C)=0.
(1)求角A的大小;
(2)若△ABC的面积,求b+c的值.
18.(12分)已知公差不为零的等差数列{an}满足a1=3,且a1,a4,a13成等比数列.
(1)求数列{an}的通项公式;
(2)若Sn表示数列{an}的前n项和,求数列的前n项和Tn.
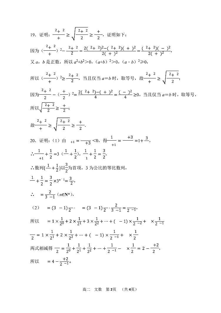
19.(12分)已知对于正数a、b,存在一些特殊的形式,如:、、等.
判断上述三者的大小关系,并证明。
20.(12分)已知数列{an}中,a1=1,an+1.
(1)求证:为等比数列,并求{an}的通项公式;
(2)数列{bn}满足bn=(3n﹣1)•,求数列{bn}的前n项和为Tn.
21.(12分)已知关于x的不等式(ax﹣1)(x+1)>0.
(1)若此不等式的解集为,求实数a的值;
(2)若a∈R,解这个关于x的不等式.
22.(12分)如图,已知扇形OMN是一个观光区的平面示意图,其中扇形半径为10米,∠MON,为了便于游客观光和旅游,提出以下两种设计方案:
(1)如图1,拟在观光区内规划一条三角形ABO形状的道路,道路的一个顶点B在弧MN上,另一顶点A在半径OM上,且AB∥ON,求△ABO周长的最大值;
(2)如图2,拟在观光区内规划一个三角形区域种植花卉,三角形花圃ABC的一个顶点B在弧MN上,另两个顶点A、C在半径OM、ON上,且AB∥ON,AC⊥ON,求花圃△ABC面积的最大值.
【期中真题】河南省实验中学2021-2022学年高二上学期期中数学(文)试题.zip: 这是一份【期中真题】河南省实验中学2021-2022学年高二上学期期中数学(文)试题.zip,文件包含期中真题河南省实验中学2021-2022学年高二上学期期中数学文试题原卷版docx、期中真题河南省实验中学2021-2022学年高二上学期期中数学文试题解析版docx等2份试卷配套教学资源,其中试卷共22页, 欢迎下载使用。
2022河南省实验中学高二上学期期中考试数学(文)含答案: 这是一份2022河南省实验中学高二上学期期中考试数学(文)含答案,文件包含20212022学年上期期中高二文科数学试卷docx、20212022学年上期期中高二文科数学试卷pdf、20212022学年上期期中高二文科数学答案docx、20212022学年上期期中高二文科数学答案pdf等4份试卷配套教学资源,其中试卷共16页, 欢迎下载使用。
2022河南省实验中学高二上学期期中考试数学(文)试题含解析: 这是一份2022河南省实验中学高二上学期期中考试数学(文)试题含解析,文件包含河南省实验中学2021-2022学年高二上学期期中数学文试题含解析docx、河南省实验中学2021-2022学年高二上学期期中数学文试题无答案docx等2份试卷配套教学资源,其中试卷共20页, 欢迎下载使用。

