还剩9页未读,
继续阅读
高考数学一轮复习课件
展开
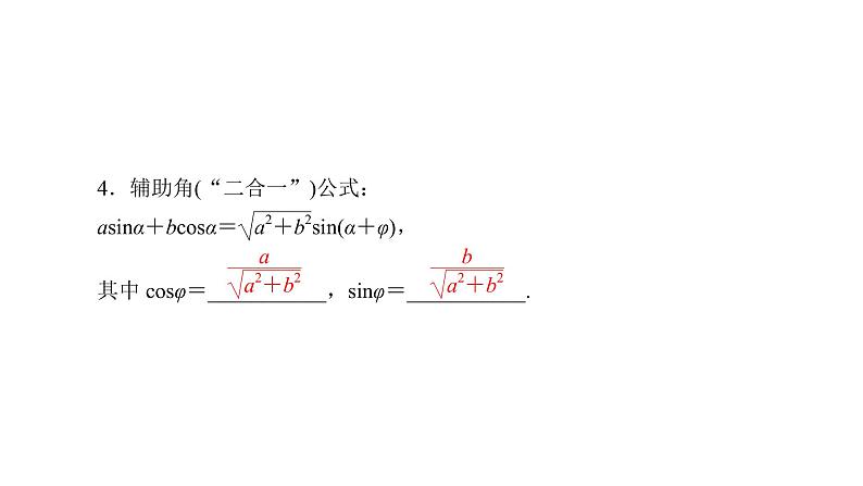
这是一份高考数学一轮复习课件,共17页。PPT课件主要包含了知识梳理,sinαcosα,cos2α,sin2α等内容,欢迎下载使用。
1.两角和与差的正弦、余弦和正切公式
cs2α-sin2α
5.化简cs(α-β)csβ-sin(α-β)sinβ的结果为( )A.sin(2α+β) B.cs(α-2β)C.csα D.csβ[解析] 原式即cs(α-β+β)=csα.
6.(1+tan17°)(1+tan28°)的值为( )A.-1 B.0 C.1 D.2[解析] 原式=1+tan17°+tan28°+tan17°·tan28°=1+tan45°(1-tan17°·tan28°)+tan17°·tan28°=1+1=2.故选D.
相关课件
方案最优问题-高考数学一轮复习课件PPT:
这是一份方案最优问题-高考数学一轮复习课件PPT,共9页。PPT课件主要包含了课时作业十九等内容,欢迎下载使用。
(新高考)高考数学一轮考点复习9.1《统计》课件 (含解析):
这是一份(新高考)高考数学一轮考点复习9.1《统计》课件 (含解析)
(新高考)高考数学一轮考点复习8.4《椭圆》课件 (含解析):
这是一份(新高考)高考数学一轮考点复习8.4《椭圆》课件 (含解析)

