高中数学人教版新课标B选修1-13.1.3导数的几何意义教课ppt课件
展开第三章 导数及其应用3.1 导数3.1.3 导数的几何意义点P处 求切点坐标 求切线方程 导数几何意义的应用 点击右图进入…Thank you for watching !
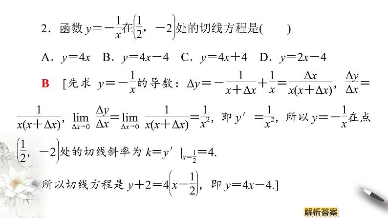
高中数学人教版新课标B选修1-13.1.3导数的几何意义集体备课课件ppt: 这是一份高中数学人教版新课标B选修1-13.1.3导数的几何意义集体备课课件ppt,共19页。PPT课件主要包含了复习回顾,二思考,切线的定义,四典型例题,六课堂小结等内容,欢迎下载使用。
人教版新课标B选修1-11.1.1命题课文内容ppt课件: 这是一份人教版新课标B选修1-11.1.1命题课文内容ppt课件,共22页。
高中数学人教版新课标B选修1-11.1.1命题图片ppt课件: 这是一份高中数学人教版新课标B选修1-11.1.1命题图片ppt课件,共19页。PPT课件主要包含了新知探求,课堂探究,知识点一,命题的概念,判断真假,小写英文字母,真命题,假命题,知识点二,命题的判断等内容,欢迎下载使用。

