2021学年3.1 二倍角公式评课课件ppt
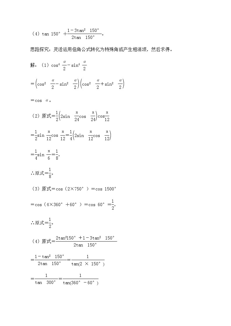
展开利用二倍角公式化简求值
利用二倍角公式解决条件求值问题
高中数学北师大版 (2019)必修 第二册第四章 三角恒等变换3 二倍角的三角函数公式3.1 二倍角公式集体备课ppt课件: 这是一份高中数学北师大版 (2019)必修 第二册第四章 三角恒等变换3 二倍角的三角函数公式3.1 二倍角公式集体备课ppt课件,共24页。
高中数学北师大版 (2019)必修 第二册3.1 二倍角公式教学演示课件ppt: 这是一份高中数学北师大版 (2019)必修 第二册3.1 二倍角公式教学演示课件ppt,共45页。
高中数学北师大版 (2019)必修 第二册第四章 三角恒等变换3 二倍角的三角函数公式3.1 二倍角公式课前预习课件ppt: 这是一份高中数学北师大版 (2019)必修 第二册第四章 三角恒等变换3 二倍角的三角函数公式3.1 二倍角公式课前预习课件ppt,共49页。PPT课件主要包含了1二倍角公式,必备知识•探新知,知识点1,基础知识,知识点2,二倍角公式的转换,基础自测,关键能力•攻重难,题型探究,易错警示等内容,欢迎下载使用。

