平面向量及其应用 章末检测2(难度中)(人教A版2019必修第二册)(解析版)
展开立体几何初步 章末检测2(难度中)(人教A版2019必修第二册)(解析版): 这是一份立体几何初步 章末检测2(难度中)(人教A版2019必修第二册)(解析版),共22页。
复数 章末检测2(中)(人教A版2019必修第二册)(解析版): 这是一份复数 章末检测2(中)(人教A版2019必修第二册)(解析版),共11页。
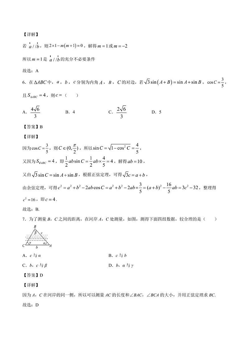
平面向量及其应用 章末检测3(难)(人教A版2019必修第二册)(解析版): 这是一份平面向量及其应用 章末检测3(难)(人教A版2019必修第二册)(解析版),共18页。

