2021届高三第二次联考数学(理)试卷含答案
展开考试时间:120分钟 分值:150分
一、选择题:本题共12小题,每题5分,共60分,在每小题给出的四个选项中只有一项是符合题目要求的。
1.已知集合,,若,则实数( )
A. B. C. D.
2.已知为虚数单位,若复数,则下列结论正确的是( )
A.的共轭复数是 B.的虚部是 C. D.
3.已知双曲线的离心率为,且经过点,则该双曲线的方程是( )
A. B. C. D.
4.设平面向量与向量互相垂直,且,若,则( )
A. B. C. D.
5.设,,,则,,的大小关系为( )
A. B. C. D.
6.若曲线在点处的切线与直线平行,则实数的值为( )
A. B. C. D.
7.已知等差数列的前项和为,且,,则( )
A. B. C. D.
8.已知函数(,)的图象上相邻的两条对称轴之间的距离为,若将函数的图象向左平移后得到奇函数的图象,则( )
A.B. C. D.
9.2021年4月15日,是第六个全民国家安全教育日,教育厅组织宣讲团到某市的六个不同高校进行国家安全知识的宣讲,时间顺序要求是:高校甲必须排在第二或第三个,且高校甲宣讲结束后需立即到高校丁宣讲,高校乙、高校丙的宣讲顺序不能相邻,则不同的宣讲顺序共有( )
A.种 B.种 C.种 D.种
10.在三棱锥中,是等边三角形,平面平面,,,,则三棱锥的外接球体积为( )
A. B. C. D.
11.已知函数,若不等式恒成立,则实数的取值范围是( )
A. B. C. D.
12.已知,,,是圆上两个不同的点,且满足,则的最大值为( )
A. B. C. D.
二、填空题:本大题共4小题,每题5分,共20分。
13.已知二项式的展开式中,二项式系数之和为.则该展开式中含项的系数为
14.已知实数,满足,则的最小值为
15.已知等比数列满足:,,则
16.已知抛物线()与圆相交于点,点关于原点对称的点为.若过点的直线(且不过点)与抛物线交于,两点,则直线与的斜率之积为
三、解答题:共70分.解答应写出文字说明、证明过程或演算步骤.第17~21为必考题,每个试题考生都必须作答,第22、23题为选做题,考生根据要求作答。
(一)必考题:共60分
17.(本小题满分 12 分)
在中,角,,的对边分别为,,,且.
(1)求角的值;
(2)点在线段上,,且,求边长.
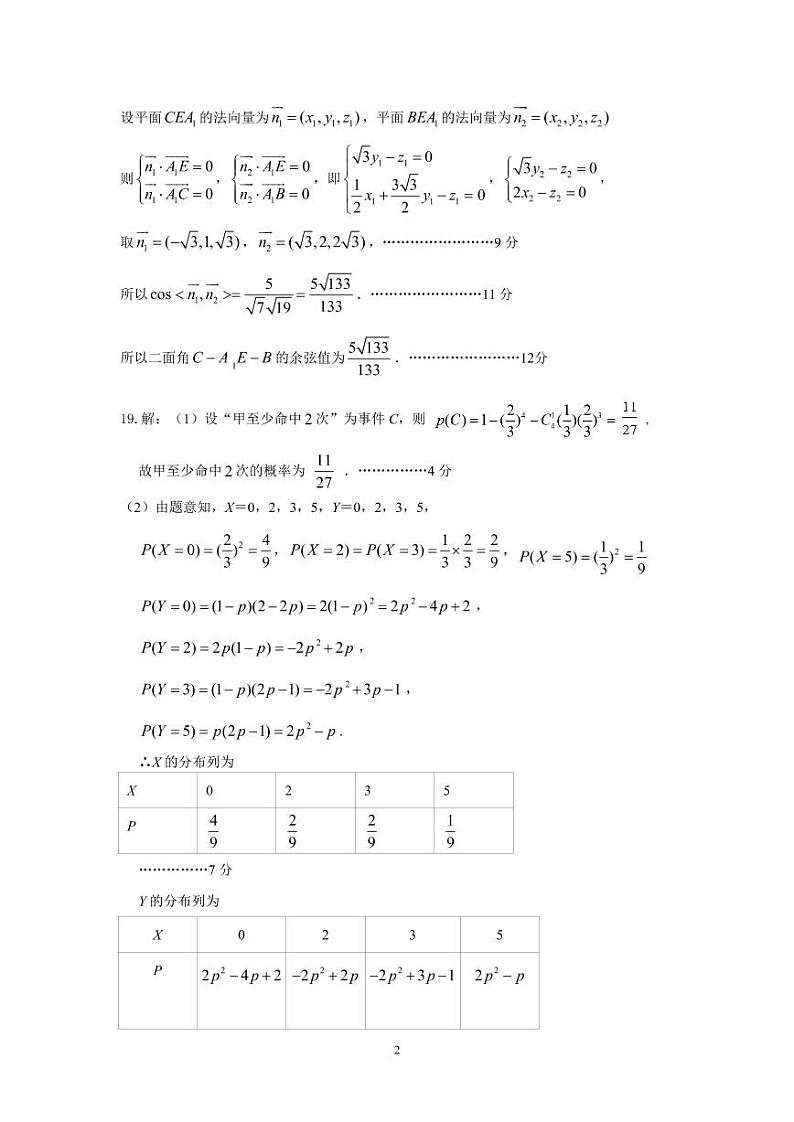
18.(本小题满分12分)
等边三角形的边长为,点,分别是边,上的点且.如图甲,将沿折起到的位置,使四棱锥的体积最大.连接,,如图乙,点为的中点.
(1)求证://平面;
(2)求二面角的余弦值.
19.(本小题满分 12 分)
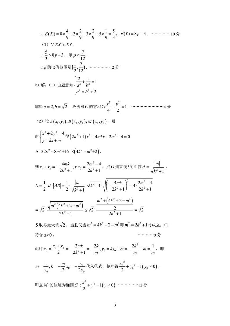
2020年5月27日,中央文明办明确规定,在2020年全国文明城市测评指标中不将马路市场、流动商贩列为文明城市测评考核内容.6月1日上午,国务院总理李克强在山东烟台考察时表示,地摊经济、小店经济是就业岗位的重要来源,是人间的烟火,和“高大上”一样,是中国的生机.其中套圈游戏凭借其趣味性和挑战性深受广大市民的欢迎.现有甲、乙两人进行套圈比赛,要求他们站在定点A,B两点处进行套圈,已知甲在A,B两点的命中率均为,乙在A点的命中率为(),在B点的命中率为,且他们每次套圈互不影响.
(1)若甲在A处套圈次,求甲至少命中次的概率;
(2)若甲和乙每人在A,B两点各套圈一次,且在A点命中计2分,在B点命中计3分,未命中则计0分,设甲的得分为X,乙的得分为Y,写出X和Y的分布列和期望;
(3)在(2)的条件下,若,求p的取值范围.
20.(本小题满分12分)
已知椭圆的左、右焦点分别为,且点在椭圆上.
(1)求椭圆的标准方程;
(2)设直线与椭圆交于两个不同的点,点为坐标原点,则当的面积最大时,求线段的中点的轨迹方程.
21.(本小题满分 12 分)
已知函数,.
(1)讨论函数的单调性;
(2)若对于任意的不等式恒成立,求实数的取值范围.
(二)选考题:共10分.请考生在第22,23题中任选一题作答,如果多做,则按所做的第一题计分.作答时请写清题号。
22.在平面直角坐标系中,直线的参数方程为(其中为参数),在以为极点、轴的非负半轴为极轴的极坐标系(两种坐标系的单位长度相同)中,曲线的极坐标方程为.
(1)求直线的普通方程和曲线的直角坐标方程;
(2)设点的直角坐标为,直线与曲线交于两点,弦的中点为,是曲线上异于的点,求面积的最大值.
23.已知函数的一个零点为2,
(1)求不等式的解集;
(2)设函数的最小值为,且正实数满足,
求证:.
数学(理)丨安徽省皖南八校2021届高三上学期第二次联考数学(理)试卷及答案: 这是一份数学(理)丨安徽省皖南八校2021届高三上学期第二次联考数学(理)试卷及答案,共18页。试卷主要包含了12等内容,欢迎下载使用。
2023届河南省豫南九校高三上学期第二次联考数学(理)试卷PDF版含答案: 这是一份2023届河南省豫南九校高三上学期第二次联考数学(理)试卷PDF版含答案,共12页。
2020茂名五校联盟高三第二次联考数学(理)试题PDF版含答案: 这是一份2020茂名五校联盟高三第二次联考数学(理)试题PDF版含答案

