2021年高考理科数学核心猜题卷 全国卷版【含答案】
展开一、选择题
1.答案:C
解析:由题意可得,解得,所以,故选C.
2.答案:B
解析:因为,所以.又是纯虚数,所以,,所以.故选B.
3.答案:B
解析:如图,将平面视为一个三棱柱的三个侧面,设,为三棱柱三条侧棱所在的直线,则由得不到. 若,且,,由面面平行的性质定理可得出.所以由可得,因此“”是“”的必要不充分条件.故选B.
4.答案:C
解析:所求概率为,故选C.
5.答案:B
解析:,,,最大,又,,,.故选B.
6.答案:A
解析:由二项式系数之和为32,即,可得,展开式的通项. 令,得. 所以常数项为,故选A.
7.答案:B
解析:设抛物线的准线为,如图所示,利用抛物线的定义知,当三点共线时,的值最小,且最小值为.因为抛物线的准线方程为,,所以.于是.故选B.
8.答案:A
解析:运行程序,输入,此时,,执行下一步,,,不成立,,,;不成立,,,;不成立,,,;不成立,,,;成立. 所以满足题意的整数m最小为5.故选A.
9.答案:B
解析:,且,,,,,,,.又函数的最小正周期,,.
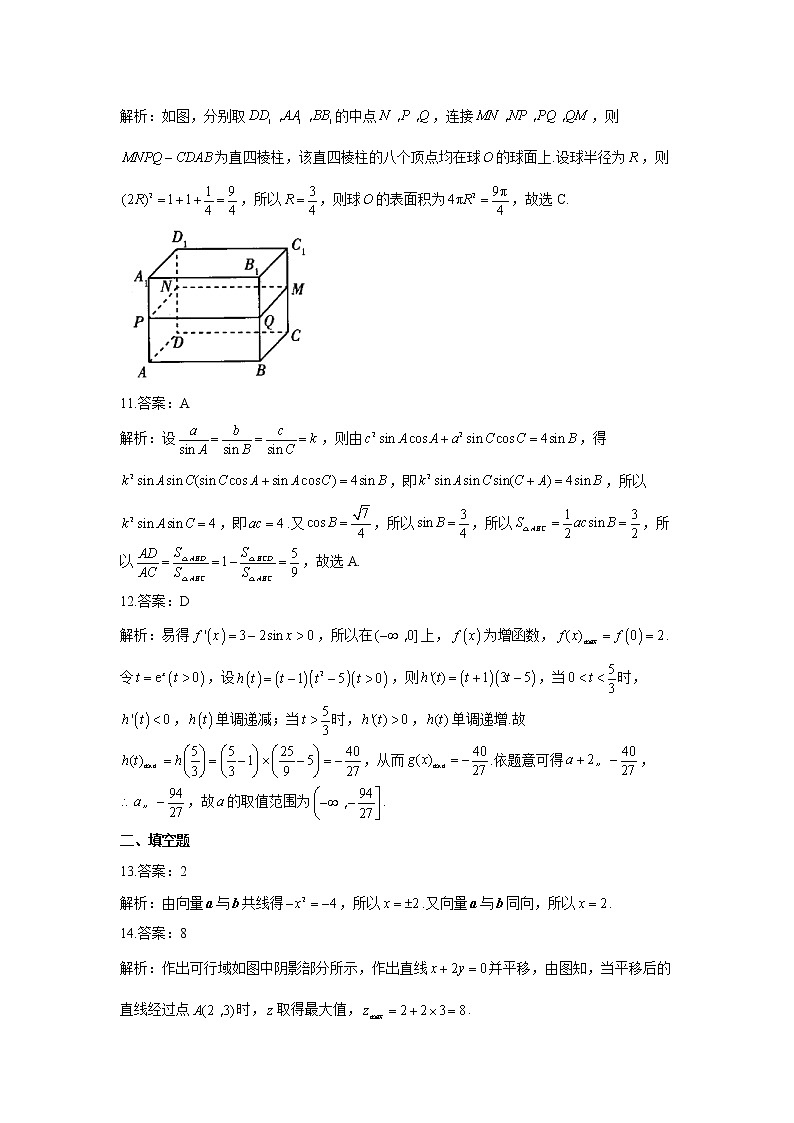
10.答案:C
解析:如图,分别取的中点,连接,则为直四棱柱,该直四棱柱的八个顶点均在球的球面上.设球半径为,则,所以,则球的表面积为,故选C.
11.答案:A
解析:设,则由,得,即,所以,即.又,所以,所以,所以,故选A.
12.答案:D
解析:易得,所以在上,为增函数,.令,设,则,当时,,单调递减;当时,,单调递增.故,从而.依题意可得,,故的取值范围为.
二、填空题
13.答案:2
解析:由向量与共线得,所以.又向量与同向,所以.
14.答案:8
解析:作出可行域如图中阴影部分所示,作出直线并平移,由图知,当平移后的直线经过点时,取得最大值,.
15.答案:1和3
解析:丙说他的卡片上的数字之和不是5,所以丙的卡片上的数字要么是1和2,要么是1和3.又乙说他与丙的卡片上相同数字不是1,所以卡片2和3必定在乙手里.因为甲与乙的卡片上相同的数字不是2,所以甲的卡片上的数字只能是1和3.
16.答案:
解析:双曲线的渐近线方程为.连接,由点是以为直径的圆与在第一象限内的交点,可得.由线段的中点在的渐近线上,可得,则,直线的方程为,可得到的距离为,得,,.由双曲线的定义可得,即,所以双曲线的渐近线方程为.
三、解答题
17.解析:(1)由题设得,
即.…………………………………2分
又因为,
所以是首项为1,公比为的等比数列. …………………………………4分
由题设得,即.
又因为,
所以是首项为1,公差为2的等差数列. …………………………………6分
(2)由(1)知,,.
所以,…………………………………10分
.…………………………………12分
18.解析:(1)通过茎叶图可以看出,
B校学生的考核成绩的平均值高于A校学生的考核成绩的平均值;
B校学生的考核成绩比较集中,而A校学生的考核成绩比较分散. ………………………3分
(2)①由茎叶图可知,A校学生的考核等级为良的概率的估计值为,
B校学生的考核等级为良的概率的估计值为.
因为,
所以估计B校学生的考核等级为良的概率大. …………………………………6分
②记事件M为“从样本中任取2名学生的考核成绩,考核等级为良或优秀”,事件N为“这2名学生来自同一所大学”,
则,,…………………………………9分
所以在考核等级为良或优秀的情况下,这2名学生来自同一所大学的概率.…………………………………12分
19.解析:(1)连接交于点,连接,易知为的中点,为的中点,
在中,,…………………………………2分
平面,平面,
平面.…………………………………4分
(2)连接,平面,,
且为的中点,
,
,平面且,
平面.…………………………………6分
如图,以为坐标原点,所在直线分别为轴,建立空间直角坐标系.
易得,,,,
,,…………………………………8分
设平面的法向量为,
则,,
令,得,.
同理可得平面的一个法向量为,……………………………10分
,
结合图形知,二面角为钝二面角,
二面角的余弦值为.…………………………………12分
20.解析:(1)由题意可得,所以,………………………………1分
,解得,
所以椭圆的标准方程为.…………………………………3分
(2)由于直线平行于直线,即,设直线在轴上的截距为,
所以直线的方程为.…………………………………5分
由,得,
因为直线与椭圆交于两个不同的点,
所以,解得.…………………………………7分
设,,则,.
为钝角等价于,且,
所以
,………………………………10分
得,且,
所以直线在轴上的截距的取值范围为.
所以直线在轴上的截距的取值范围为.……………………12分
21.解析:(1)当时,,
所以,且,则.………………………………2分
所以的图象在处的切线方程为,
即.…………………………………4分
(2)设切点为,则,
因为,所以,
令,则或,解得或.………………………………6分
若,则,解得,满足.
②若,由可得,…………………………………8分
,
令,,
则,…………………………………10分
所以函数在上单调递增.
又,所以为方程在上的唯一解,故,解得.
综上可知,.…………………………………12分
22.解析:(1)由可得曲线的普通方程为,…………………1分
由得曲线的极坐标方程为.……………………………3分
由得,,
又,所以,
即的直角坐标方程为.…………………………………5分
(2)将代入得到,
所以,…………………………………7分
将代入得到,
所以,…………………………………9分
所以.…………………………………10分
23.解析:(1)当时,不等式即,
两边同时平方,得,…………………………………2分
即,解得.
故原不等式的解集为.…………………………………4分
(2)法一:关于x的不等式有解,
即不等式有解,
得有解. …………………………………5分
设,当时,,
此时在上单调递减,所以,
所以,即.…………………………………7分
当时,,
此时在上单调递增,,…………………………………9分
所以,即.
综上,实数a的取值范围为.…………………………………10分
法二:不等式有解,即不等式有解.
令,.…………………………………5分
在同一坐标系中分别画出函数与的图象,如图所示,
若的图象上存在点不在的图象的下方,
则,…………………………………8分
即,解得.
所以实数a的取值范围为.…………………………………10分
2022届高考数学核心猜题卷全国卷(理)试卷及解析: 这是一份2022届高考数学核心猜题卷全国卷(理)试卷及解析,共15页。
2022届高考数学核心猜题卷全国卷(文)试卷及解析: 这是一份2022届高考数学核心猜题卷全国卷(文)试卷及解析,共13页。
2022届高考核心猜题卷全国卷(WORD解析版)——理数: 这是一份2022届高考核心猜题卷全国卷(WORD解析版)——理数,共13页。

