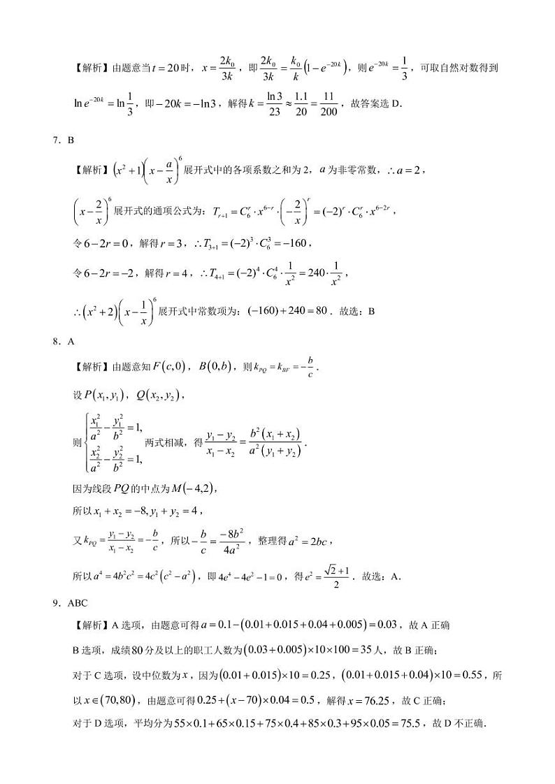
A佳湖南大联考2021年高三冲刺卷数学试题
展开2023届湖南省部分名校联盟高三5月冲刺压轴大联考数学试题: 这是一份2023届湖南省部分名校联盟高三5月冲刺压轴大联考数学试题,共14页。
A佳教育2022.12湖南高三联考数学试卷及参考答案: 这是一份A佳教育2022.12湖南高三联考数学试卷及参考答案,文件包含A佳教育202212湖南高三联考数学参考答案pdf、A佳教育202212湖南高三联考数学试卷pdf等2份试卷配套教学资源,其中试卷共12页, 欢迎下载使用。
2021湖南省A佳大联考高三上学期12月月考数学试题图片版含答案: 这是一份2021湖南省A佳大联考高三上学期12月月考数学试题图片版含答案,共11页。

