江苏省如皋市2020-2021学年高二上学期期末教学质量调研数学试题
展开2020-2021学年度高二年级第一学期期末教学质量调研
数 学 试 题
一、单项选择题:本题共8小题,每小题5分,共40分.在每小题给出的四个选项中,只有一项是符合题目要求的.
1. 是的 ( )
A. 充要条件 B. 充分不必要条件
C. 必要不充分条件 D. 既不充分也不必要条件
2. 的展开式中,的系数为( )
A. B. C. D.
3. 如图是容量为的样本的频率分布直方图,已知样本数据在内的频数是,则样本数据落在的频数是 ( )
A. B. C. D.
4. 设是直线,是两个不同的平面,下列命题中正确的是 ( )
A. 若,,则 B. 若,,则
C. 若,,则 D. 若,,则
5. 直线与双曲线有且只有一个公共点,则的取值有( )个
A.1 B.2 C.3 D.4
6. 已知正三棱柱,底面正三角形的边长为,侧棱长为,则点 到平面的距离为 ( )
A. B. C. D.
7. 琵琶、二胡、编钟、箫、笛、瑟、琴、埙、笙和鼓这十种民族乐器被称为“中国古代十大乐器”.为弘扬中国传统文化,某校以这十种乐器为题材,在周末学生兴趣活动中开展了“中国古代乐器”知识讲座,共连续安排四节课,一节课只讲一种乐器,一种乐器最多安排一节课,则琵琶、二胡一定安排,且这两种乐器互不相邻的概率为 ( )
A. B. C. D.
8. 设是椭圆的两个焦点,若椭圆上存在点满足,则的取值范围是 ( )
A. B.
C. D.
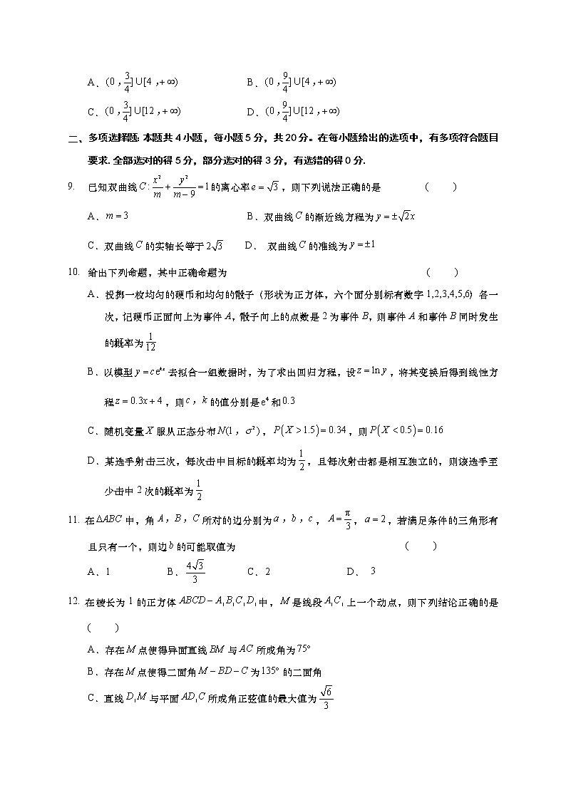
二、多项选择题:本题共4小题,每小题5分,共20分。在每小题给出的选项中,有多项符合题目要求.全部选对的得5分,部分选对的得3分,有选错的得0分.
9. 已知双曲线的离心率,则下列说法正确的是 ( )
A. B.双曲线的渐近线方程为
C.双曲线的实轴长等于 D. 双曲线的准线为
10. 给出下列命题,其中正确命题为 ( )
A.投掷一枚均匀的硬币和均匀的骰子(形状为正方体,六个面分别标有数字1,2,3,4,5,6)各一次,记硬币正面向上为事件A,骰子向上的点数是2为事件B,则事件A和事件B同时发生的概率为
B.以模型去拟合一组数据时,为了求出回归方程,设,将其变换后得到线性方程,则的值分别是和
C.随机变量服从正态分布,,则
D.某选手射击三次,每次击中目标的概率均为,且每次射击都是相互独立的,则该选手至少击中2次的概率为
11. 在中,角所对的边分别为,,,若满足条件的三角形有且只有一个,则边的可能取值为 ( )
A. B. C. D.
12. 在棱长为1的正方体中,是线段上一个动点,则下列结论正确的是 ( )
A.存在点使得异面直线与所成角为
B.存在点使得二面角为的二面角
C.直线与平面所成角正弦值的最大值为
D. 当时,平面截正方体所得的截面面积为
三、填空题:本题共4小题,每小题5分,共20分.
13. 作家马伯庸小说《长安十二时辰》中,靖安司通过长安城内的望楼传递信息.同名改编电视剧中,望楼传递信息的方式有一种如下:如图所示,在九宫格中,每个小方格可以在白色和紫色(此处以阴影代表紫色)之间变换,从而一共可以有512种不同的颜色组合,即代表512种不同的信息.现要求每一行、每一列上都有且只有1个紫色小方格(如图所示即满足要求).则一共可以传递______种信息.(用数字作答)
14. 已知椭圆的左、右焦点分别为,点.若点P为椭圆C上的一个动点,则的最小值为____________.
15. 海洋蓝洞是地球罕见的自然地理现象,被喻为“地球留给人类保留宇宙秘密的最后遗产”,我国拥有世界上最深的海洋蓝洞.若要测量如图所示的蓝洞的口径两点间的距离,现在珊瑚群岛上取两点,测得,,,,则两点的距离为______.
16. 已知正方体的棱长均为,其内有9个小球,球与正方体的六个面都相切,球与正方体三个面和球都相切,则球的体积等于__________,球的表面积等于__________.
四、解答题:本题共6小题,共70分.解答应写出文字说明、证明过程或演算步骤.
17. (本小题满分10分)
请从下列条件中选取一个条件补充在横线上,并解决你组成的问题:
①; ②; ③.
问题:在中,内角的对边分别为,满足,且________.
求:(1) a的值;
(2)的面积.
18. (本小题满分12分)
如图,四面体中, O是的中点,点G、E分别在线段AO和BC上,,,,.
(1)求证:平面;
(2)求证:平面平面.
19. (本小题满分12分)
已知直线l:过抛物线的焦点,且与抛物线交于两点,点为中点.
(1)求抛物线的方程;
(2)以为直径的圆与轴交于两点,求面积取得最小值时直线的方程.
20. (本小题满分12分)
为了解使用手机是否对学生的学习有影响,某校随机抽取名学生,对学习成绩和使用手机情况进行了调查,统计数据如表所示(不完整):
| 使用手机 | 不使用手机 | 总计 |
学习成绩优秀 | 5 | 20 |
|
学习成绩一般 |
|
|
|
总计 |
| 30 | 50 |
(1)补充完整所给表格,并根据表格数据计算是否有的把握认为学生的学习成绩与使用手机有关;
(2)现从上表不使用手机的学生中按学习成绩是否优秀分层抽样选出9人,再从这9人中随机抽取3人,记这3人中“学习成绩优秀”的人数为X,试求X的分布列与数学期望.
参考公式:,其中.
参考数据:
21. (本小题满分12分)
如图,在棱柱中,底面为平行四边形,,,
,且在底面上的投影恰为的中点.
(1)求证:平面;
(2)求二面角的大小.
22. (本小题满分12分)
在平面直角坐标系中,已知两点是椭圆的左、右顶点,为直线上的动点,与椭圆的另一交点为,当点不为点时,过作直线,垂足为.
(1)证明:直线过定点;
(2)过(1)中的定点作斜率为的直线与椭圆交于两点,设直线的斜率分别为,试判断是否为定值?如果是定值,求出定值.
2023-2024学年江苏省南通市如皋市高二上学期教学质量调研(一)数学试题含答案: 这是一份2023-2024学年江苏省南通市如皋市高二上学期教学质量调研(一)数学试题含答案,共19页。试卷主要包含了单选题,多选题,填空题,解答题等内容,欢迎下载使用。
2021-2022学年江苏省南通市如皋市高二上学期教学质量调研(二)数学试题(解析版): 这是一份2021-2022学年江苏省南通市如皋市高二上学期教学质量调研(二)数学试题(解析版),共17页。试卷主要包含了单选题,多选题,填空题,解答题等内容,欢迎下载使用。
2021-2022学年江苏省如皋市高二上学期11月教学质量调研(一)数学试题Word版: 这是一份2021-2022学年江苏省如皋市高二上学期11月教学质量调研(一)数学试题Word版

