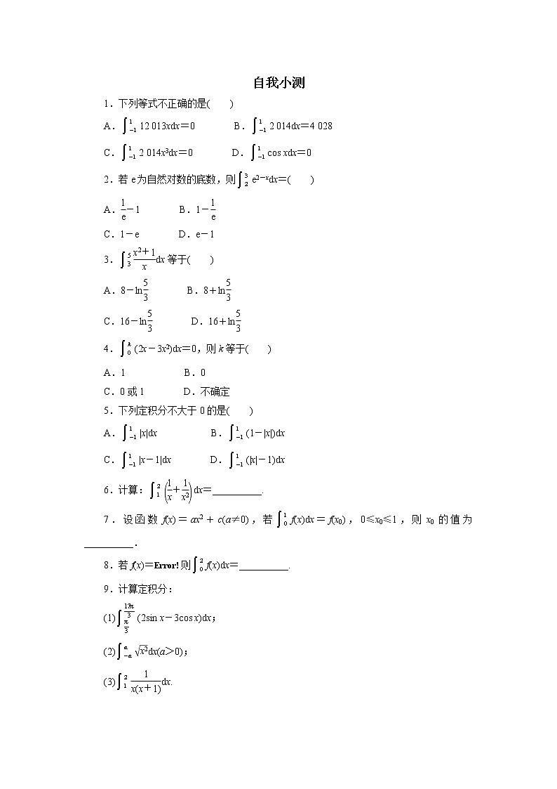
高中数学人教版新课标A选修2-21.6微积分基本定理课堂检测
展开自我小测
1.下列等式不正确的是( )
A.12 013xdx=0 B.2 014dx=4 028
C.2 014x3dx=0 D.cos xdx=0
2.若e为自然对数的底数,则e2-xdx=( )
A.-1 B.1-
C.1-e D.e-1
3.dx等于( )
A.8-ln B.8+ln
C.16-ln D.16+ln
4.(2x-3x2)dx=0,则k等于( )
A.1 B.0
C.0或1 D.不确定
5.下列定积分不大于0的是( )
A.|x|dx B.(1-|x|)dx
C.|x-1|dx D.(|x|-1)dx
6.计算:dx=__________.
7.设函数f(x)=ax2+c(a≠0),若f(x)dx=f(x0),0≤x0≤1,则x0的值为__________.
8.若f(x)=则f(x)dx=__________.
9.计算定积分:
(1)(2sin x-3cos x)dx;
(2)dx(a>0);
(3)dx.
10.设f(x)是一次函数,且f(x)dx=5,xf(x)dx=,求f(x)的解析式.
参考答案
1.解析:2 013xdx==-=0,
2 014dx=2 014x=4 028,
2 014x3dx=x4=0,
cos xdx=sin x=sin 1-sin(-1)=2sin 1.故D不正确.
答案:D
2.解析:e2-xdx=-e2-x=-e-1+e0=1-.
答案:B
3.解析:dx=xdx+dx=x2+ln x
=(52-32)+ln 5-ln 3=8+ln,故选B.
答案:B
4.解析:∵(2x-3x2)dx=(x2-x3)=k2-k3,
∴k2-k3=0,即k=0或k=1.
又∵k=0时不合题意,∴k=1.
答案:A
5.解析:|x|dx=(-x)dx+xdx
=-x2+x2=1,
(1-|x|)dx=(1+x)dx+(1-x)dx=1,
|x-1|dx=(1-x)dx=2,
(|x|-1)dx=(1-|x|)dx=-1.
答案:D
6.解析:dx=
=-(ln 1-1)=ln 2+.
答案:ln 2+
7.解析:f(x)dx=(ax2+c)dx
=
=+c=ax20+c,
∵0≤x0≤1,∴x0=.
答案:
8.解析:f(x)dx=|x|dx+(-ex)dx
=xdx+(-ex)dx=x2+(-ex)
=-e2+e.
答案:-e2+e
9.解:(1)(2sin x-3cos x)dx
=2sin xdx-3cos xdx
=2(-cos x)-3sin x
=2-3
=2-3=3.
(2)由=得dx
=xdx+(-x)dx=x2-x2=a2.
(3)f(x)==-,
取F(x)=ln x-ln(x+1)=ln ,
则F′(x)=-.
所以dx=dx
=ln =ln .
10.解:设f(x)=ax+b(a≠0),
则f(x)dx=(ax+b)dx
=axdx+bdx=a+b=5,
xf(x)dx=x(ax+b)dx
=ax2dx+bxdx=a+b=.
由解得a=4,b=3.
故f(x)=4x+3.
数学选修2-21.6微积分基本定理课后作业题: 这是一份数学选修2-21.6微积分基本定理课后作业题,共4页。试卷主要包含了下列积分值等于1的是,计算sin2eq \fdx=,计算等于,计算等内容,欢迎下载使用。
人教版新课标A选修2-22.3数学归纳法同步练习题: 这是一份人教版新课标A选修2-22.3数学归纳法同步练习题,共5页。
高中数学人教版新课标A选修2-21.6微积分基本定理课后测评: 这是一份高中数学人教版新课标A选修2-21.6微积分基本定理课后测评,共2页。试卷主要包含了微积分基本定理,定积分和曲边梯形面积的关系等内容,欢迎下载使用。

