高中数学第四讲 数学归纳法证明不等式二 用数学归纳法证明不等式教学设计
展开课 题: 第15课时 利用平均不等式求最大(小)值
目的要求:
重点难点:
教学过程:
一、引入:
1、重要的结论:
已知x,y都是正数,则:
(1)、如果积xy是定值P,那么当x=y时,和x+y有最小值;
(2)、如果和x+y是定值S,那么当x=y时,积xy有最大值。
二、典型例题:
例1、当取什么值时,函数有最小值?最小值是多少?
例2、求函数()的最小值。
例3、小宁在某电脑城配置了一台总费用为6400元的电脑。假定在电脑的使用过程中,每年的维修费用约为:第一年为200元,第二年400元,第三年600元,…,按等差数列递增。这台电脑使用多少年报废最合算?
分析:
例4、如图,电灯挂在圆桌的正中央上方。假定它与桌面上A点的水平距离是,那么电灯距离桌面的高度等于多少时,A点处最亮?(亮度公式:,这里为常数,是电灯到照射点的距离,是照射到某点的光线与水平面所成的角)
分析:
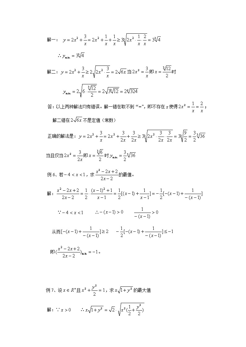
例5、求函数的最大值,下列解法是否正确?为什么?
解一:
∴
解二:当即时
答:以上两种解法均有错误。解一错在取不到“=”,即不存在使得;解二错在不是定值(常数)
正确的解法是:
当且仅当即时
例6、若,求的最值。
解:
∵ ∴
从而
即。
例7、设且,求的最大值
解:∵ ∴
又
∴
即
例8、已知且,求的最小值
解:
当且仅当即时
三、小结:
四、练习:
1.求下列函数的最值:
1 、 (min=6)
2、 ()
2.1、时求的最小值,的最小值
2、设,求的最大值(5)
3、若, 求的最大值
4、若且,求的最小值
3.若,求证:的最小值为3
4.制作一个容积为的圆柱形容器(有底有盖),问圆柱底半径和高各取多少时,用料最省?(不计加工时的损耗及接缝用料)
2、某种汽车购买时的费用是10万元,每年的保险费、养路费及汽油费合计为9千元;汽车的维修费平均为:第一年2千元,第二年4千元,第三年6千元,依等差数列逐年递增。问这种汽车使用多少年报废最合算(即年平均费用最少)?
解:设这种汽车使用n年报废最合算n年汽车的维修总费用为
(万元)
年平均费用y=
当且仅当即n=10时取等号。
答:这种汽车使用10年报废最合算。
2021学年1.不等式的基本性质教案及反思: 这是一份2021学年1.不等式的基本性质教案及反思,共3页。教案主要包含了引入,典型例题,小结,练习,作业等内容,欢迎下载使用。
高中数学人教版新课标A选修4-5第三讲 柯西不等式与排序不等式综合与测试教学设计及反思: 这是一份高中数学人教版新课标A选修4-5第三讲 柯西不等式与排序不等式综合与测试教学设计及反思,共2页。教案主要包含了引入,典型例题,小结,练习,作业等内容,欢迎下载使用。
2021学年三 反证法与放缩法教案: 这是一份2021学年三 反证法与放缩法教案,共3页。教案主要包含了引入,典型例题,小结,练习,作业等内容,欢迎下载使用。

