试卷 广西壮族自治区钦州市灵山县2020-2021学年七年级上学期期末数学试题(word版 含答案)
展开一、单选题
1.如图,从A地到B地有4条道路,分别标记为①号、②号、③号、④号道路,那么,从A地到B地的最短道路是( )
A.①号道路B.②号道路C.③号道路D.④号道路
2.若,则的余角等于( )
A.40°B.50°C.90°D.140°
3.解一元一次方程时,移项后,得到的式子正确的是( )
A.B.
C.D.
4.现实生活中,如果收入500元记作元,那么元表示为( )
A.支出500元B.收入500元C.支出700元D.收入700元
5.下列各组式子中,属于同类项的是( )
A.x与yB.与C.与D.与0
6.如图,若有理数a,b在数轴上的对应点的位置如图所示,则下列结论错误的是( )
A.B.C.D.
7.2020年12月1日,嫦娥五号探测器经过7天飞行,终于到达距离地球38万千米的月球表面,并顺利进行月球土壤的采集壮举.其中38万千米用科学记数法表示为( )
A.千米B.千米C.千米D.380000千米
8.下列运算正确的是( )
A.B.
C.D.
9.《孙子算经》中有这样一道题,原文如下:今有百鹿入城,家取一鹿,不尽,又三家共一鹿,适尽.问:城中家几何?大意为:今有100头鹿进城,每家取一头鹿,没有取完,剩下的每3家共取一头,恰好取完.问城中有多少户人家?
A.55户B.65户C.75户D.85户
10.在解方程时,第一步去分母,去分母后结果正确的是( )
A.B.
C.D.
11.下列图形中可以作为一个正方体的展开图的是( )
A.B.
C.D.
12.将一副三角尺按如图位置摆放,则图中的,的和等于( )
A.B.C.D.
二、填空题
13.=_________
14.单项式的系数是_______.
15.关于x的方程是一元一次方程,则m的值为________.
16.已知,则这个角的补角等于__________(填上度和分).
17.已知与互为相反数,则________.
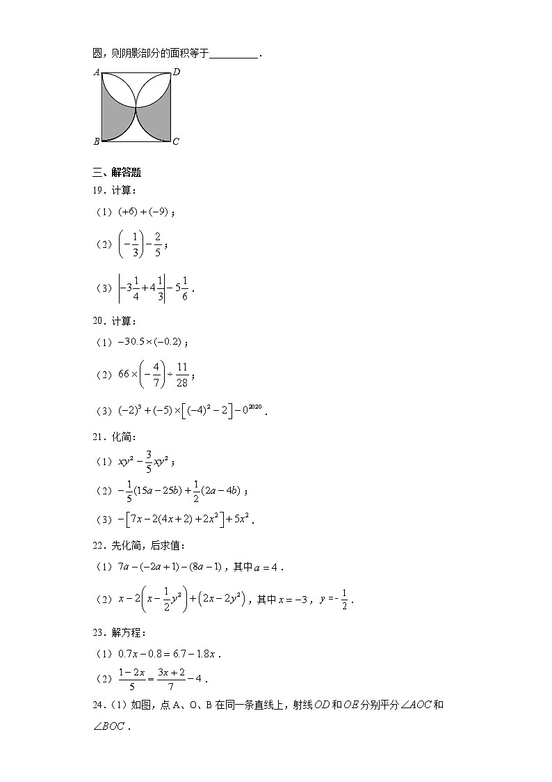
18.如图,正方形的边长为4,分别以正方形的三边为直径在正方形的内部作半圆,则阴影部分的面积等于__________.
三、解答题
19.计算:
(1);
(2);
(3).
20.计算:
(1);
(2);
(3).
21.化简:
(1);
(2);
(3).
22.先化简,后求值:
(1),其中.
(2),其中,.
23.解方程:
(1).
(2).
24.(1)如图,点A、O、B在同一条直线上,射线和分别平分和.
(1)(ⅰ)求的度数;
(ⅱ)若,求的度数.
(2)如图,点B是线段上的一点,点M为线段有中点,点N为线段的中点,若,求线段的长.
25.(1)若a,b互为倒数,c,d互为相反数,m为最大负整数.
(ⅰ)求m的值;
(ⅱ)求的值.
(2)若,.
(ⅰ)求;
(ⅱ)比较A、B的大小,并说明理由.
26.某超市在春节期间对顾客实行优惠,规定如下:
(1)若王老师一次性购物600元,他实际付款______元.若王老师实际付款270元,他一次性购物_____元;
(2)若顾客在该超市一次性购物x元,当时,他实际付款______元.当时,他实际付款__________元,节省了________元;(用含x的代数式表示).
(3)如果王老师两次购物货款合计850元,设第一次购物货款为a元,用含a的代数式表示:两次购物王老师实际付款多少元?当元时,王老师共节省了多少元?
一次性购物
优惠办法
少于200元
不予优惠
200元(含200元)到500元(含500元)之间
九折优惠
超过500元
八折优惠
参考答案
1.C
【分析】
根据两点之间线段最短可判断出答案.
【详解】
解:根据图形,结合两点之间线段最短可知,
从A地到B地的最短道路是③号道路,
故选:C.
【点睛】
此题主要考查了两点之间线段最短的应用.
2.B
【分析】
根据余角的定义即可求解.
【详解】
解:∵∠A=40°,
∴它的余角=90°-40°=50°.
故选:B
【点睛】
本题考查了余角的知识,熟记互为余角的两个角的和等于90°是解题的关键.
3.A
【分析】
解一元一次方程移项时,要注意变号,据此逐项分析解题.
【详解】
解:
移项得:
故选项B、C、D均错误;
选项A正确,
故选:A.
【点睛】
本题考查解一元一次方程—移项,是基础考点,难度较易,掌握相关知识是解题关键.
4.C
【分析】
在一对具有相反意义的量中,先规定其中一个为正,则另一个就用负表示;
【详解】
∵收入500元记作元,
∴元表示支出700元;
故选:C.
【点睛】
本题主要考查了具有相反意义的量,准确分析判断是解题的关键.
5.D
【分析】
两个单项式中,所含的字母相同,相同字母的指数也相同,则称这两个单项式是同类项,据此逐项分析解题.
【详解】
解:A.所含字母不相同,故A错误;
B. 所含字母不相同,故B错误;
C. 所含字母相同,但相同字母的指数不同,故C错误;
D.所有的常数项都是同类项,故D正确,
故选:D.
【点睛】
本题考查同类项,是基础考点,难度较易,掌握相关知识是解题关键.
6.D
【分析】
根据数轴的性质判断即可;
【详解】
由图可知a<0<b,<,
<0,D错误;
故答案选D.
【点睛】
本题主要考查了数轴的知识点,准确分析判断是解题的关键.
7.A
【分析】
根据科学记数法的表示解答即可;
【详解】
38万千米=千米;
故选A.
【点睛】
本题主要考查了科学记数法的知识点,准确分析求解是解题的关键.
8.D
【分析】
根据合并同类项法则判断即可;
【详解】
,故A错误;
,故B错误;
,故C错误;
,故D正确;
故答案选D.
【点睛】
本题主要考查了合并同类项,准确分析判断是解题的关键.
9.C
【分析】
设城中有户人家,由题意列一元一次方程,解一元一次方程即可解题.
【详解】
解:设城中有户人家,根据题意得,
解得
故选:C.
【点睛】
本题考查一元一次方程的实际应用,是重要考点,难度较易,掌握相关知识是解题关键.
10.B
【分析】
根据解一元一次方程的方法,首先去分母,方程两边同时乘以两个分数的最小公倍数,即可得到答案.
【详解】
方程的两边同时乘以12,得,整理得,,
故选B.
【点睛】
本题考查了一元一次方程的解法,解题时要注意利用等式的性质对方程去分母时,方程两边同时乘以12,常数项不能漏乘.
11.B
【分析】
利用不能出现同一行有多于4个正方形的情况,不能出现田字形、凹字形的情况进行判断也可.
【详解】
解:A.不可以作为一个正方体的展开图,
B.可以作为一个正方体的展开图,
C.不可以作为一个正方体的展开图,
D.不可以作为一个正方体的展开图,
故选:B.
【点睛】
本题考查了正方体的展开图,熟记展开图的11种形式是解题的关键,利用不是正方体展开图的“一线不过四、田凹应弃之”(即不能出现同一行有多于4个正方形的情况,不能出现田字形、凹字形的情况)判断也可.
12.D
【分析】
由补角的定义解得,,结合三角板中的特殊角,可解得,由三角形内角和180°,得到,继而证明,结合三角板中的特殊角,可解得,据此分别解得,的角度,最后求和即可解题.
【详解】
解:由题意得,,,
,
故选:D.
【点睛】
本题考查三角板中角的计算,涉及补角、三角形内角和为180°等知识,是重要考点,难度较易,掌握相关知识是解题关键.
13.2
【详解】
根据绝对值的定义;数轴上一个数所对应的点与原点的距离叫做该数绝对值
即,|-2|=2,
14.
【分析】
由数与字母的积组成的代数式是单项式,单项式中的数字因数是单项式的系数,据此解题.
【详解】
解:单项式的系数是,
故答案为:.
【点睛】
本题考查单项式的系数,是基础考点,难度较易,掌握相关知识是解题关键.
15.2
【分析】
根据一元一次方程的定义列式计算即可;
【详解】
∵方程是关于x的一元一次方程,
∴,
∴;
故答案为2.
【点睛】
本题主要考查了一元一次方程的定义,准确计算是解题的关键.
16.69 33
【分析】
根据互补的两角之和为,表示出补角,然后列方程求解即可.
【详解】
设这个角的补角为,
∴,
解得:,
故答案为:69,33
【点睛】
本题考查了补角的知识、度分秒的进制,属于基础题,关键是掌握互补的两角之和为.
17.1
【分析】
两个互为相反数的数(式)和为零,据此得到一元一次方程,通过去括号、移项、合并同类项、化系数为1解一元一次方程即可解题.
【详解】
解:由题意得:+
去括号:,
移项:
合并同类项:
化系数为1:
故答案为:1.
【点睛】
本题考查相反数的性质、解一元一次方程等知识,是重要考点,难度较易,掌握相关知识是解题关键.
18.8
【分析】
先判断出两半圆交点为正方形的中心,连接OA,OD,则可得出所产生的四个小弓形的面积相等,先得出2个小弓形的面积,即可求阴影部分面积.
【详解】
解:易知:两半圆的交点即为正方形的中心,设此点为O,连接AO,DO,
则图中的四个小弓形的面积相等,
∵两个小弓形面积=×π×22-S△AOD,
∴两个小弓形面积=2π-4,
∴S阴影=2×S半圆-4个小弓形面积=π×22-2(2π-4)=8,
故答案为:8.
【点睛】
本题考查了扇形的面积计算,正方形的性质,解答本题的关键是得出两半圆的交点是正方形的中心,求出小弓形的面积,有一定难度,注意仔细观察图形.
19.(1)-3;(2);(3).
【分析】
(1)原式利用异号两数相加的法则计算即可得到结果;
(2)原式利用减法法则变形,计算即可得到结果;
(3)原式先算绝对值内的,再计算即可得到结果.
【详解】
解:(1)
=6-9
(2)
(3)
【点睛】
此题考查了有理数的加减混合运算,熟练掌握运算法则是解本题的关键.
20.(1)6.1;(2)-96;(3)-78.
【分析】
(1)根据有理数乘法法则,两数相乘,同号得正,异号得负,并把绝对值相乘,计算即可;
(2)根据有理数的乘法法则,两数相乘,同号得正,异号得负,并把绝对值相乘,再根据有理数的除法法则,除以一个不为0的数,等于乘这个数的倒数,进行计算即可;
(3)根据有理数混合运算的运算法则,先计算乘方,再计算乘法,最后计算加减.
【详解】
(1)原式,
;
(2)解:原式,
,
;
(3)解:原式,
,
.
【点睛】
本题考查了有理数的混合运算及运算律,熟记运算法则及运算律是解题的关键.
21.(1);(2);(3).
【分析】
(1)将原式合并同类项后得到最简结果即可;
(2)将原式去括号,合并同类项后得到最简结果即可;
(3)先去中括号,再去小括号,合并同类项后得到最简结果.
【详解】
(1)原式,
;
(2)原式,
,
;
(3)原式,
,
.
【点睛】
本题考查了整式的运算法则,合并同类项,熟练运用整式的运算法则是解题的关键.
22.(1)a;4;(2);.
【分析】
(1)原式去括号,合并同类项后得到最简结果,把的值代入计算即可求出值;
(2)原式去括号,合并同类项后得到最简结果,把与的值代入计算即可求出值.
【详解】
(1),
,
,
,
将代入上式,得原式;
(2),
,
,
,
将,代入上式,得原式.
【点睛】
本题考查了整式的加减-化简求值,熟练掌握运算法则是解本题的关键.
23.(1);(2).
【分析】
(1)根据一元一次方程的解法依次,移项,合并同类项,系数化1即可;
(2)根据一元一次方程的解法依次,去分母,方程两边同时乘以35,去括号,移项,合并同类项,系数化1即可.
【详解】
(1)移项,得,
合并同类项,得,
系数化为1,得;
(2)去分母,得,
去括号,得,
移项,得,
合并同类项,得,
系数化为1,得;
【点睛】
本题考查了一元一次方程的解法,熟练掌握一元一次方程的解法是解答本题的关键.
24.(1)(i);(ii);(2).
【分析】
(1)(ⅰ)根据角平分线的定义表示出和,再根据平角等于进行计算即可;
(ⅱ)根据角平分线的定义即可求得的度数;
(2)根据已知条件可得和的长度,进而即可得到的长.
【详解】
(1)(ⅰ)点A、O、B在同一条直线上,.
又∵射线和分别平分和,
∴,,
∴,
∴;
(ⅱ)∵平分,
∴.
又∵,∴;
(2)M为的中点,,∴,
又∵N为的中点,,
∴,
而.
∴.
【点睛】
本题考查了角平分线的定义,平角的定义,线段,中点等知识,属于基础题,解题的关键是熟记概念.
25.(1)(i);(ii)3;(2)(i);(ii);理由见解析.
【分析】
(1)(ⅰ)根据已知条件,m为最大负整数,即可判断m的值;
(ⅱ)根据已知条件a,b互为倒数,c,d互为相反数,m为最大负整数,则,,依次代入即可求得;
(2)(ⅰ)由已知条件可知,直接将,代入,合并同类项化简即可;
(ⅱ)根据(2)(ⅰ)所求结果,进行分析比较即可.
【详解】
解:(1)(ⅰ)∵m是最大的负整数,∴;
(ⅱ)∵a,b互为倒数,c,d互为相反数,m为最大负整数
∴,,
∴;
(2)(ⅰ),
∴
;
(ⅱ)∵,且,
∴,
∴.
【点睛】
本题考查了整式的加减、倒数、相反数、整数、比较大小等知识点,解题的关键是熟练掌握以上知识点.
26.(1)480,300;(2),,;(3)实际付款为:0.1a+680元;王老师共节省了元
【分析】
(1)王老师一次性购物600元,超过500元,付款按照八折优惠,计算即可;王老师实际付款270元,一次性付款在200元到500元之间,付款按照九折优惠,计算即可;
(2)根据优惠办法可知,当大于等于200元小于等于500元时,实际付款=购物款9折;当大于500元时,实际付款=购物款8折,节省钱数=购物款0.2;
(3)根据已知条件可知,两次购物王老师实际付款=第一次购物款9折+第二次购物8折,即可用含a的代数式表示:用两次购物所得折扣分别乘以两次购物款,相加即可.
【详解】
(1)王老师实际付款为:(元);
设王老师一次性购物元,依题意得,,
解得:;
(2)当时,
实际付款=;
当时,
实际付款=,
此时节省=;
(3)∵王老师第一次购物货款为a元,
∴王老师第二次购物货款为元,
∴王老师二次购物实际付款为:
=0.1a+680元,
当时,王老师共节省了:
元.
【点睛】
本题考查了一元一次方程的应用,列代数式,以及代数式求值,熟练掌握运算法则是解本题的关键.
广西壮族自治区钦州市灵山县那隆中学2022-2023学年七年级下学期期末考试数学试卷: 这是一份广西壮族自治区钦州市灵山县那隆中学2022-2023学年七年级下学期期末考试数学试卷,共2页。
广西壮族自治区钦州市浦北县2021-2022学年七年级下学期期末数学试题(word版含答案): 这是一份广西壮族自治区钦州市浦北县2021-2022学年七年级下学期期末数学试题(word版含答案),共9页。试卷主要包含了如图,直线,则下列结论正确的是等内容,欢迎下载使用。
广西壮族自治区钦州市2021-2022学年七年级下学期期末数学试题(word版含答案): 这是一份广西壮族自治区钦州市2021-2022学年七年级下学期期末数学试题(word版含答案),共9页。试卷主要包含了选择题,填空题,解答题等内容,欢迎下载使用。

