(新高考专用)2021年新高考数学难点:专题46 整体代换诱导公式法求三角函数值
展开专题46 整体代换诱导公式法求三角函数值
一、单选题
1.已知,且,则( )
A. B. C. D.
【答案】D
【分析】
由已知求得,再由诱导公式可求得选项.
【详解】
因为,且,所以,所以,
又,
故选:D.
【点睛】
关键点点睛:对于三角函数给值求值型问题,关键在于得出所求的角与已知角之间的特殊关系,求解时,注意尽可能缩小角的范围,以便确定三角函数的值的符号.
2.计算( )
A. B. C. D.
【答案】B
【分析】
利用诱导公式进行化简求值.
【详解】
利用诱导公式进行化简求值,
,
故选:B.
3.已知,则( )
A. B. C. D.
【答案】B
【分析】
利用诱导公式将题干条件化简,即可得答案.
【详解】
由题意得:
故选:B.
4.若,则( )
A. B. C. D.
【答案】A
【分析】
将转化成,在用诱导公式化简,代入求值即可.
【详解】
由得.
故选:A
5.若,则( )
A. B. C. D.
【答案】A
【分析】
利用,结合二倍角公式可求得结果.
【详解】
由得:.
故选:A.
6.已知,则( )
A. B. C. D.
【答案】C
【分析】
利用同角三角函数平方关系和二倍角公式可求得,利用诱导公式可求得结果.
【详解】
由得:,
,.
故选:.
7.已知,则( )
A. B. C. D.
【答案】B
【分析】
设,则,然后利用诱导公式求解即可.
【详解】
设,则,
故.
故选:B
8.已知,则( )
A. B. C. D.
【答案】B
【分析】
依题意原式为,再利用诱导公式化简计算可得;
【详解】
解:因为,所以
故选:B
9.设,.若对任意实数都有,则满足条件的有序实数对的对数为( )
A.1 B.2 C.9 D.12
【答案】B
【分析】
根据三角函数恒成立,则对应的图象完全相同求得a、b即可.
【详解】
∵对于任意实数都有,
则函数的周期相同,,
若,此时,
此时,
若,则方程 ,
则,则,
综上满足条件的有序实数组为,,共有2组.
故选:B
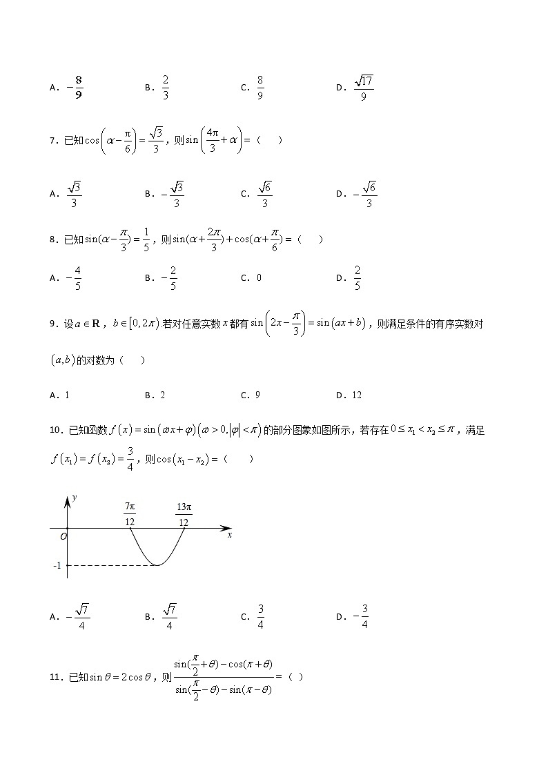
10.已知函数的部分图象如图所示,若存在,满足,则( )
A. B. C. D.
【答案】C
【分析】
利用图象求得函数的解析式为,由结合正弦函数的对称性得出,且有,将代入结合诱导公式可求得的值.
【详解】
由图象知函数的最小正周期为,,
又,
且,
,,
所以,,,,
当时,,
因为存在,满足,
即,则,可得,且,
则.
故选:C.
【点睛】
方法点睛:根据三角函数的部分图象求函数解析式的方法:
(1)求、,;
(2)求出函数的最小正周期,进而得出;
(3)取特殊点代入函数可求得的值.
11.已知,则( )
A. B.-2 C. D.
【答案】B
【分析】
利用诱导公式化简得,再根据已知代入求解即可.
【详解】
解:由诱导公式得:,
因为,
所以.
故选:B.
12.若,则( )
A. B. C. D.
【答案】C
【分析】
利用诱导公式可求得的值.
【详解】
.
故选:C.
13.已知,则的值等于( )
A. B. C. D.
【答案】C
【分析】
根据题意,化简得,再利用诱导公式对进行化简求值即可.
【详解】
解:由题可知,,
由于,
所以.
故选:C.
14.( )
A. B. C. D.
【答案】B
【分析】
直接利用诱导公式得答案.
【详解】
依题意.
故选:B
【点睛】
本小题主要考查诱导公式,属于基础题.
15.已知,,则( )
A. B. C. D.
【答案】B
【分析】
由已知利用诱导公式可求出的值,结合角的范围,利用同角三角函数基本关系式可求,进而根据诱导公式,同角三角函数基本关系式即可计算求解.
【详解】
由题意,,所以,则,
因为,所以,即,
所以.
故选:B.
【点睛】
本题考查三角函数诱导公式、同角三角函数基本关系式的运用,考查学生的计算能力,属于基础题.
16.式子的值为( )
A. B. C. D.2
【答案】B
【分析】
由正余弦的倍角公式、诱导公式即可化简求值.
【详解】
由,,
∴,
故选:B
【点睛】
本题考查了利用三角恒等变换化简求值,属于简单题.
17.已知,则( )
A. B. C. D.
【答案】C
【分析】
根据诱导公式计算得到,故,解得答案.
【详解】
解:由诱导公式可知,
又得:,
所以,
.
故选:C.
【点睛】
本题考查了三角恒等变换,意在考查学生的计算能力和转化能力,是中档题.
18.如果,且,那么( )
A. B. C. D.
【答案】C
【分析】
利用先求得的值,由此求得的值.
【详解】
依题意,
由于,
所以,
所以,
所以.
故选:C
【点睛】
本小题主要考查同角三角函数的基本关系式、诱导公式,属于基础题.
19.已知cos =,则=( )
A. B. C. D.
【答案】A
【分析】
直接利用诱导公式求解即可
【详解】
解:因为cos =,
所以,
故选:A
【点睛】
此题考查诱导公式的应用,属于基础题
20.已知是第二象限角,且,则( )
A. B. C. D.
【答案】D
【分析】
求出的范围,进而可求出的值,再利用诱导公式可求出和,结合,可求出答案.
【详解】
因为是第二象限角,所以,
则,
因为,所以,
则,
则,
,
所以.
故选:D.
【点睛】
本题考查三角函数诱导公式的运用,考查同角三角函数的基本关系的运用,考查学生的计算求解能力,属于中档题.
二、多选题
21.下列关于函数的图像或性质的说法中,正确的为( )
A.函数的图像关于直线对称
B.将函数的图像向右平移个单位所得图像的函数为
C.函数在区间上单调递增
D.若,则
【答案】AD
【分析】
令得到对称轴,即可判断A;根据平移变换知识可判断B;求出其单调增区间即可判断C;利用配角法即可判断D.
【详解】
对于A,令 ,解得,当时,得,故A正确;
对于B,将函数的图像向右平移个单位,得,故B错误;
对于C,令,故C错误;
对于D,若,则,故D正确.
故选:AD
【点睛】
方法点睛:函数的性质:
(1) .
(2)周期
(3)由 求对称轴
(4)由求增区间;由求减区间.
22.函数的部分图象如图所示,则( )
A. B.
C. D.
【答案】BD
【分析】
根据最小值求得,根据周期求得,根据点求得,由此求得的解析式,结合诱导公式确定正确选项.
【详解】
由图象可得,,解得,所以,所以,又的图象过点,则,解得,又,所以,即
.
故选BD
【点睛】
本小题主要考查根据三角函数图象求三角函数解析式,考查诱导公式,属于中档题.
第II卷(非选择题)
请点击修改第II卷的文字说明
三、双空题
23.(1)一个扇形的半径为,弧长是半径的倍,则扇形的面积等于________.
(2)(a,b为常数,),若,则_______.
【答案】
【分析】
(1)首先利用扇形的弧长公式求出扇形的圆心角,再利用扇形的面积公式即可求解.
(2)利用诱导公式即可求解.
【详解】
(1)根据题意可知,弧长,
设扇形的圆心角为,所以,解得,
所以扇形的面积;
(2)由,
所以,
所以
所以
.
故答案为:;
24.已知函数,若方程的解为,则______,_______.
【答案】
【分析】
由已知求出的范围,根据方程的解的对称性可求得;再利用表示,即可表示为,再根据已知条件结合三角函数求值即可得到答案.
【详解】
,,
又方程的解为,,
解得.,
由,可得,.
又,可得,
.
故答案为:;.
【点睛】
关键点点睛:本题考查了三角函数的对称性,及利用诱导公式化简三角函数并求值,解题的关键是要注意到是的两个根,由三角函数图象的对称性得到两个根的对称性,从而得解,考查了学生的分析解题能力与转化能力,属于中档题.
25.已知,则_________,_______.
【答案】
【分析】
利用诱导公式可求得的值,利用诱导公式结合同角三角函数的基本关系可求得的值.
【详解】
,则,
.
故答案为:;.
【点睛】
本题考查利用诱导公式和同角三角函数的基本关系求值,考查计算能力,属于基础题.
四、填空题
26.若,且,则__________.
【答案】
【分析】
利用诱导公式进行整体代换,并利用同角三角函数关系式进行求值.
【详解】
由诱导公式得,
,
,
,
又,
,
故答案为:.
27.已知,则________.
【答案】
【分析】
由,再结合诱导公式可得结果.
【详解】
【点睛】
方法点睛:利用诱导公式求值或化简时,常用拼凑角,,常见的互余关系有:与,与,与等;常见的互补关系有: 与,与等;
28.设,,,若对任意实数都有,则满足条件的的所有取值的和为______.
【答案】
【分析】
结合进行分类讨论,由此求得的所有可能取值,进而求得满足条件的的所有取值的和.
【详解】
因为对任意实数都有,所以.
当时,方程等价于,则两函数的周期相同,即.当时,,此时;当时,,此时.
当时,方程等价于.当时,此时;当时,,此时.综上,的所有取值为,,,,和为.
故答案为:
29.关于函数有如下命题,其中正确的有______
①的表达式可改写为
②是以为最小正周期的周期函数;
③的图象关于点对称;
④的图象关于直线对称.
【答案】①③
【分析】
①利用诱导公式变形,判断选项;②利用周期公式,判断选项;③代入函数判断是否为0,判断选项;④代入选项,是否取得最值,判断选项.
【详解】
①,故①正确;
②的最小正周期,故②不正确;
③当时,,此时函数值为0,所以函数的图象关于点对称,故③正确;
④当时,,此时函数值是0,不是函数的对称轴,故④不正确.
故答案为:①③
【点睛】
思路点睛:本题考查的解析式和性质的判断,可以整体代入验证的方法判断函数性质:(1)对于函数,其对称轴一定经过图象的最高点或最低点,对称中心的横坐标一定是函数的零点,因此判断直线或点是否是函数的对称轴和对称中心时,可通过验证的值进行判断;(2)判断某区间是否是函数的单调区间时,也可以求的范围,验证次区间是否是函数的增或减区间.
30.已知,则_________.
【答案】
【分析】
由,利用诱导公式、二倍角余弦可得即可求值.
【详解】
由题意知:,而,
∴,
故答案为:.
【点睛】
关键点点睛:首先由整体代换法得到的关系,结合诱导公式、二倍角公式得到含有已知三角函数值的函数式求值.
31.______.
【答案】
【分析】
利用诱导公式化简求值
【详解】
解:,
故答案为:
32.已知,则______.
【答案】
【分析】
根据与的关系,结合诱导公式求解出的值.
【详解】
设,则,
故.
故答案为:.
33.若点在函数的图象上,则的值为______.
【答案】
【分析】
由已知可得,,解得,代入,利用诱导公式化简求值.
【详解】
由点在函数的图像上,得,解得
所以
故答案为:
34.在平面直角坐标系中,角和角均以为始边,它们的终边关于x轴对称.若,则______.
【答案】
【分析】
由题意可得,由此能求出结果.
【详解】
∵在平面直角坐标系中,角与角均以为始边,它们的终边关于x轴对称,
∴,
故答案为:
【点睛】
本小题主要考查三角函数的对称性,属于基础题.
35.已知,则的值为________.
【答案】
【分析】
先利用诱导公式化简,得,再利用诱导公式化简,从而可得结果
【详解】
解:由,得,
所以,
故答案为:
【点睛】
此题考查诱导公式的应用,属于基础题
36.化简_____________.
【答案】-1
【分析】
直接由诱导公式化简即可.
【详解】
.
故答案为:-1
【点睛】
本题考查利用诱导公式化简求值,属于基础题.
37.若,且,则______.
【答案】
【分析】
利用诱导公式可得,,从而根据诱导公式及同角三角函数的基本关系求解即可.
【详解】
∵,且,
∴,
∴.
故答案为:.
【点睛】
本题考查了诱导公式及同角三角函数的基本关系,考查了推理能力与计算能力,属于基础题.
38.若,则______.
【答案】
【分析】
由,可得出答案.
【详解】
因为,所以.
故答案为:.
【点睛】
本题考查三角函数诱导公式的应用,考查学生的计算能力,属于基础题.
39.已知,则___________.
【答案】
【分析】
由已知函数值,根据诱导公式即可求的值.
【详解】
,
故答案为:
【点睛】
本题考查了利用诱导公式求函数值,利用已知函数值,应用诱导公式转化成含有目标函数中代数式形式的函数求函数值;
40.已知,则______.
【答案】
【分析】
先由二倍角公式求出,再由诱导公式知,代入计算即可得答案.
【详解】
因为,
所以,
所以,
故答案为:.
【点睛】
本题考查了二倍角公式,诱导公式的应用,属于基础题.
41.若,则________.
【答案】
【分析】
利用结合余弦的诱导公式求解即可.
【详解】
因为,所以.
故答案为:.
【点睛】
本题考查利用诱导公式求三角函数值,属于简单题,整体代入是关键.
五、解答题
42.已知,且,求的值.
【答案】.
【分析】
利用同角三角函数的基本关系可求得的值,再结合诱导公式可求得所求代数式的值.
【详解】
,,
又,,.
,
.
.
43.如图,在平面直角坐标系中,为单位圆上一点,射线OA绕点O按逆时针方向旋转后交单位圆于点B,点B的纵坐标y关于的函数为.
(1)求函数的解析式,并求;
(2)若,求的值.
【答案】(1),;(2).
【分析】
(1)由三角函数的定义得到,进而代入计算;
(2)由已知得,将所求利用诱导公式转化即得.
【详解】
解:(1)因为,
所以,
由三角函数定义,得.
所以.
(2)因为,所以,
所以
.
【点睛】
本题考査三角函数的定义,三角函数性质,诱导公式.考查运算求解能力,推理论证能力.考查转化与化归,数形结合等数学思想.
已知求时要将已知中的角作为整体不分离,观察所求中的角与已知中的角的关系,利用诱导公式直接转化是化简求值的常见类型.
44.已知
(1)化简;
(2)若,求的值.
【答案】(1);(2).
【分析】
(1)根据诱导公式,将原式直接化简整理即可;
(2)根据(1)的结果,由诱导公式,以及同角三角函数基本关系,即可求出结果.
【详解】
(1)
;
(2)因为,由(1)得,
所以.
45.(1)已知角的终边上有一点,求的值.
(2)已知,求的值.
【答案】(1);(2).
【分析】
(1)根据题意先确定角的三角函数值,然后利用诱导公式将原式化简,然后求值;
(2)将化为,根据题目条件可求得,再利用可求得,然后求解的值.
【详解】
解:(1)原式
因为知角的终边上有一点,根据任意角三角函数的定义可知:,
故原式.
(2)由,可得
,
,
又
.
【点睛】
本题考查任意角三角函数的概念及诱导公式,考查两角和与差的正余弦公式,难度一般.
46.已知,
(1)化简;
(2)若,且,求的值;
(3)证明:,并求满足的的取值集合.
【答案】(1);(2);(3)证明见解析;.
【分析】
(1)利用诱导公式化简可得结果;
(2)根据同角三角函数平方关系可求得结果;
(3)利用向量数量积的定义和坐标运算,可证得两角差的余弦公式,代换角可得两角和的正弦公式,令可证得结论;结合可将不等式化为,利用正弦函数的性质可求得结果.
【详解】
(1);
(2),
,,,
当时,,;
(3)证明:设为单位圆上两点,
则,
将换为,则,
令,则;
由得:,即,
,解得:,
即满足的的取值集合为
【点睛】
本题考查三角函数部分知识的综合应用问题,涉及到利用诱导公式化简、利用同角三角函数平方关系求值、二倍角正弦公式的证明、利用正弦型函数的值域求解定义域的问题;本题综合性较强,对于学生的运算求解能力有较高要求.
47.已知角α为第一象限角,且.
(1)求的值;
(2)求的值.
【答案】(1);(2)7
【分析】
(1)利用同角三角函数的平方关系、商数关系,即可得答案;
(2)利用诱导公式进行化简得到关于,的式子,再转化成关于的式子,即可得答案;
【详解】
(1)角α为第一象限角,且,
,
.
(2)原式.
【点睛】
本题考查同角三角函数基本关系、诱导公式化简求值,考查函数与方程思想、转化与化归思想,考查运算求解能力.
48.已知角的终边经过点.
(1)求,;
(2)求的值.
【答案】(1),;(2).
【分析】
(1)先求出,再由三角函数定义可得,;
(2)由(1)可知,,再结合诱导公式求得.
【详解】
解:(1)由题意可得:,
由角的终边上的点的性质可得,;
(2)由(1)可知,,再结合诱导公式得:
,
所以
【点睛】
本题考查根据角的终边上的点求三角函数值、根据诱导公式化简求值,是基础题.
高三数学三角函数专题 方法4:整体代换诱导公式法求三角函数值: 这是一份高三数学三角函数专题 方法4:整体代换诱导公式法求三角函数值,文件包含方法4整体代换诱导公式法求三角函数值原卷版docx、方法4整体代换诱导公式法求三角函数值解析版docx等2份试卷配套教学资源,其中试卷共50页, 欢迎下载使用。
(新高考专用)2021年新高考数学难点:专题50 换元法求三角函数最值或值域: 这是一份(新高考专用)2021年新高考数学难点:专题50 换元法求三角函数最值或值域,文件包含专题50换元法求三角函数最值或值域原卷版docx、专题50换元法求三角函数最值或值域解析版docx等2份试卷配套教学资源,其中试卷共65页, 欢迎下载使用。
(新高考专用)2021年新高考数学难点:专题49 图像法求三角函数最值或值域: 这是一份(新高考专用)2021年新高考数学难点:专题49 图像法求三角函数最值或值域,文件包含专题49图像法求三角函数最值或值域原卷版docx、专题49图像法求三角函数最值或值域解析版docx等2份试卷配套教学资源,其中试卷共72页, 欢迎下载使用。

