2021届二轮复习 基本初等函数函数与方程及函数的综合问题 课时作业(全国通用)
展开第3讲 基本初等函数、函数与方程及函数的综合问题
专题强化训练
1.已知函数f(x)=(m2-m-5)xm是幂函数,且在x∈(0,+∞)上为增函数,则实数m的值是( )
A.-2 B.4
C.3 D.-2或3
解析:选C.f(x)=(m2-m-5)xm是幂函数⇒m2-m-5=1⇒m=-2或m=3.
又在x∈(0,+∞)上是增函数,所以m=3.
2.函数y=ax+2-1(a>0且a≠1)的图象恒过的点是( )
A.(0,0) B.(0,-1)
C.(-2,0) D.(-2,-1)
解析:选C.法一:因为函数y=ax(a>0,a≠1)的图象恒过点(0,1),将该图象向左平移2个单位,再向下平移1个单位得到y=ax+2-1(a>0,a≠1)的图象,所以y=ax+2-1(a>0,a≠1)的图象恒过点(-2,0),选项C正确.
法二:令x+2=0,x=-2,得f(-2)=a0-1=0,所以y=ax+2-1(a>0,a≠1)的图象恒过点(-2,0),选项C正确.
3.(2020·温州模拟)已知a=log20.2,b=20.2,c=0.20.3,则( )
A.a<b<c B.a<c<b
C.c<a<b D.b<c<a
解析:选B.因为a=log20.2<0,b=20.2>1,c=0.20.3∈(0,1),所以a<c<b.故选B.
4.(2020·嘉兴市北京朝阳期末一模)函数f(x)=()x-x2的大致图象是( )
解析:选D.由题意,x=0,f(0)=1,排除B,
x=-2,f(-2)=0,排除A,
x→-∞,f(x)→+∞,排除C,
故选D.
5.(2020·丽水模拟)20世纪30年代,为了防范地震带来的灾害,里克特(C.F.Richter)制定了一种表明地震能量大小的尺度,就是使用测震仪衡量地震能量的等级,地震能量越大,测震仪记录的地震曲线的振幅就越大,这就是我们常说的里氏震级M,其计算公式为M=lg A-lg A0,其中A是被测地震的最大振幅,A0是“标准地震”的振幅.已知5级地震给人的震感已经比较明显,则7级地震的最大振幅是5级地震的最大振幅的( )
A.10倍 B.20倍
C.50倍 D.100倍
解析:选D.根据题意有lg A=lg A0+lg 10M=lg (A0·10M).所以A=A0·10M,则=100.故选D.
6.已知函数f(x)=x2-2x+a(ex-1+e-x+1)有唯一零点,则a=( )
A.- B.
C. D.1
解析:选C.由f(x)=x2-2x+a(ex-1+e-x+1),得f(2-x)=(2-x)2-2(2-x)+a[e2-x-1+
e-(2-x)+1]=x2-4x+4-4+2x+a(e1-x+ex-1)=x2-2x+a(ex-1+e-x+1),所以f(2-x)=f(x),即x=1为f(x) 图象的对称轴.由题意,f(x)有唯一零点,所以f(x)的零点只能为x=1,即f(1)=12-2×1+a(e1-1+e-1+1)=0,解得a=.故选C.
7.(2020·宁波效实中学高三质检)若函数f(x)=a|2x-4|(a>0,a≠1)满足f(1)=,则f(x)的单调递减区间是( )
A.(-∞,2] B.[2,+∞)
C.[-2,+∞) D.(-∞,-2]
解析:选B.由f(1)=得a2=.又a>0,所以a=,因此f(x)=.因为g(x)=|2x-4|在[2,+∞)上单调递增,所以f(x)的单调递减区间是[2,+∞).
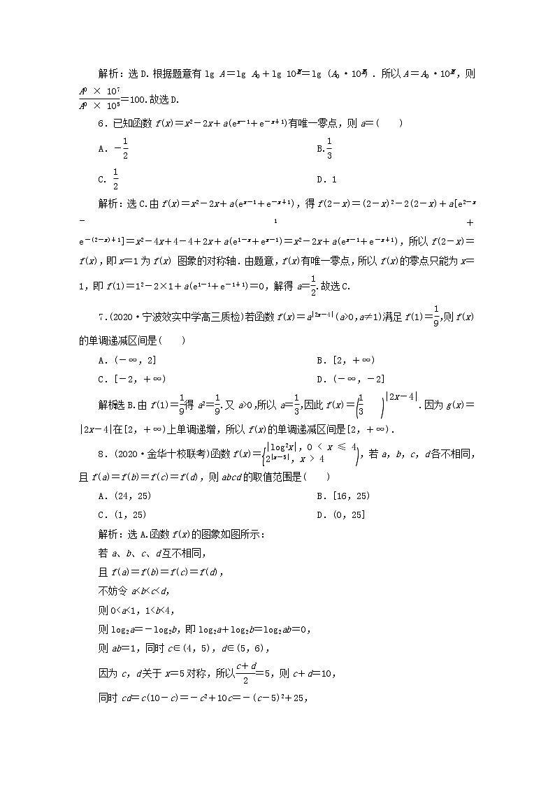
8.(2020·金华十校联考)函数f(x)=,若a,b,c,d各不相同,且f(a)=f(b)=f(c)=f(d),则abcd的取值范围是( )
A.(24,25) B.[16,25)
C.(1,25) D.(0,25]
解析:选A.函数f(x)的图象如图所示:
若a、b、c、d互不相同,
且f(a)=f(b)=f(c)=f(d),
不妨令a<b<c<d,
则0<a<1,1<b<4,
则log2a=-log2b,即log2a+log2b=log2ab=0,
则ab=1,同时c∈(4,5),d∈(5,6),
因为c,d关于x=5对称,所以=5,则c+d=10,
同时cd=c(10-c)=-c2+10c=-(c-5)2+25,
因为c∈(4,5),所以cd∈(24,25),
即abcd=cd∈(24,25),故选A.
9.(2020·宁波十校北京朝阳期末模拟)已知函数f(x)=,则方程f(x+-2)=1的实根个数为( )
A.8 B.7
C.6 D.5
解析:选C.令f(x)=1得x=3或x=1或x=或x=-1,
因为f(x+-2)=1,
所以x+-2=3或x+-2=1或x+-2=或x+-2=-1.
令g(x)=x+-2,则当x>0时,g(x)≥2-2=0,
当x<0时,g(x)≤-2-2=-4,
作出g(x)的函数图象如图所示:
所以方程x+-2=3,x+-2=1,x+-2=均有两解,方程x+-2=-1无解.
所以方程f(x+-2)=1有6解.
故选C.
10.已知函数f(x)是定义在R上的奇函数,且在区间[0,+∞)上单调递增,若<f(1),则x的取值范围是( )
A. B.(0,e)
C. D.(e,+∞)
解析:选C.因为函数f(x)是定义在R上的奇函数,所以f(ln x)-f=f(ln x)-f(-ln x)=f(ln x)+f(ln x)=2f(ln x),
所以<f(1)等价于|f(ln x)|<f(1),
又f(x)在区间[0,+∞)上单调递增,
所以-1<ln x<1,解得<x<e.
11.(2020·浙江新北京朝阳期末冲刺卷)已知集合M={x|y=ln},N={y|y=x2+2x+2},则M=__________,(∁RM)∩N=________.
解析:M={x|y=ln}={x|x(x-1)>0}=(-∞,0)∪(1,+∞),
所以∁RM=[0,1].
因为N={y|y=x2+2x+2}={y|y=(x+1)2+1}=[1,+∞),
所以(∁RM)∩N={1}.
答案:(-∞,0)∪(1,+∞) {1}
12.(2020·台州市书生中学高三月考)设函数f(x)=则f(f())=________;若f(f(a))=1,则a的值为________.
解析:f()=1,f(1)=2,所以f(f())=2.当x≥1时,f(x)≥2,所以a<1,f(a)<1且f(a)=,因此3a-1=,所以a=.
答案:2
13.(2020·台州市高三模拟)设函数f(x)=9x+m·3x,若存在实数x0,使得f(-x0)=-f(x0)成立,则实数m的取值范围是________.
解析:因为f(-x0)=-f(x0),
所以9-x0+m·3-x0=-9 x0-m·3 x0,
所以m=-(3 x0+3-x0)+,
令t=3 x0+3-x0,则t≥2,
故m=-t+,(t≥2),
函数y=-t与函数y=在[2,+∞)上均为单调递减函数,
所以m=-t+(t≥2)在[2,+∞)上单调递减,
所以当t=2时,m=-t+(t≥2)取得最大值-1,即m≤-1.
答案:(-∞,-1]
14.(2020·浙江新北京朝阳期末冲刺卷)已知函数f(x)=ax2+bx+c(a>b>c),且f(1)=0,若函数f(x)的导函数图象与函数f(x)的图象交于A、B两点,C、D是点A,B在x轴上的投影,则线段|CD|长的取值范围为__________.
解析:因为f(1)=a+b+c=0,所以b=-a-c,
因为a>b>c,所以a>0,c<0,所以<0,
f′(x)=2ax+b,
令ax2+bx+c=2ax+b得ax2+(b-2a)x+c-b=0,
即ax2-(3a+c)x+2c+a=0,
因为函数f(x)的导函数图象与函数f(x)的图象交于A,B两点,
所以方程ax2-(3a+c)x+2c+a=0有两解,
所以Δ=(3a+c)2-4a(2c+a)=5a2-2ac+c2>0,
所以()2-+5>0,∈R,
所以x1+x2==3+,x1x2==1+,
所以|x1-x2|2=(x1+x2)2-4x1x2=(3+)2-4(1+)=()2-+5=(-1)2+4,
因为<0,所以(-1)2+4>5,所以|x1-x2|>.
答案:(,+∞)
15.如图,线段EF的长度为1,端点E,F在边长不小于1的正方形ABCD的四边上滑动,当E,F沿着正方形的四边滑动一周时,EF的中点M所形成的轨迹为G,若G的周长为l,其围成的面积为S,则l-S的最大值为________.
解析:设正方形的边长为a(a≥1),当E,F沿着正方形的四边滑动一周时,EF的中点M的轨迹如图,是由半径均为的四段圆弧与长度均为a-1的四条线段围成的封闭图形,周长l=π+4(a-1),面积S=a2-,所以l-S=-a2+4a+-4(a≥1),由二次函数的知识得,当a=2时,l-S取得最大值.
答案:
16.(2020·北京朝阳期末浙江卷)已知a∈R,函数f(x)=ax3-x,若存在t∈R,使得|f(t+2)-f(t)|≤,则实数a的最大值是________.
解析:f(t+2)-f(t)=[a(t+2)3-(t+2)]-(at3-t)=2a(3t2+6t+4)-2,因为存在t∈R,使得|f(t+2)-f(t)|≤,所以 -≤2a(3t2+6t+4)-2≤有解.因为3t2+6t+4≥1,所以≤a≤有解,所以a≤=,所以a的最大值为.
答案:
17.已知f(x)=,若关于x的方程f(x)=a有四个实根x1,x2,x3,x4,则这四根之积x1x2x3x4的取值范围是________.
解析:画出函数f(x)的图象,由图知f(x)=a有四个实根的条件为1≤a<.设四个实根x1<x2<x3<x4,由f(x)=a可得2x2+x+a-1=0,所以x1x2=,由y=|lg x|=a知-lg x3=lg x4,所以x3·x4=1,故x1x2x3x4=,又因为g(a)=在上是增函数,所以x1x2x3x4∈.
答案:
18.已知二次函数f(x)=ax2+bx+1(a,b∈R,a>0),设方程f(x)=x的两个实数根为x1和x2.
(1)如果x1<2<x2<4,设函数的对称轴为x=x0,求证:x0>-1;
(2)如果|x1|<2,|x2-x1|=2,求b的取值范围.
解:(1)证明:设g(x)=f(x)-x=ax2+(b-1)x+1,
因为a>0,所以由条件x1<2<x2<4,
得g(2)<0,g(4)>0,即⇒-4a<b<-2a.
显然由-4a<-2a得a>,即有2->->1-,
故x0=->1->1-=-1.
(2)由g(x)=ax2+(b-1)x+1=0,知x1x2=>0,故x1与x2同号.
①若0<x1<2,则x2-x1=2(负根舍去),
所以x2=x1+2>2,
所以g(2)<0,即4a+2b-1<0.(*)
所以(x2-x1)2=-=4,
所以2a+1=(a>0,负根舍去),
代入(*)式,得2<3-2b,解出b<.
②若-2<x1<0,则x2=-2+x1<-2(正根舍去),
所以g(-2)<0,即4a-2b+3<0(**).
将2a+1=代入(**)式得
2<2b-1,解得b>.
综上,b的取值范围为b<或b>.
19.(2020·杭州市高三模拟)设函数f(x)=|x2-a|-ax-1(a∈R).
(1)若函数y=f(x)在R上恰有四个不同的零点,求a的取值范围;
(2)若函数y=f(x)在[1,2]上的最小值为g(a),求g(a)的表达式.
解:(1)若函数y=f(x)在R上恰有四个不同的零点,
则等价为f(x)=|x2-a|-ax-1=0,即|x2-a|=ax+1有四个不同的解,
若a≤0,则方程x2-a=ax+1至多有两个根,不满足条件.
若a>0,则y=|x2-a|与y=ax+1两个图象有四个不同的交点,
①当y=ax+1与y=-x2+a相切时,得a=-2+2.(负值舍掉)
②当y=ax+1过点(-,0)时,得a=1,
所以2-2<a<1,
即a的取值范围是(2-2,1).
(2)①当a≤1时,f(x)=x2-ax-a-1=(x-)2--a-1,则f(x)在[1,2]上单调递增,
则f(x)min=f(1)=-2a.
②当1<a<4时,
f(x)=,
易知f(x)在[1,]上单调递减,在(,2]上单调递增,
则f(x)min=f()=-a-1.
③当a≥4时,f(x)=-(x+)2++a-1,
则f(x)在[1,2]上单调递减,
则f(x)min=f(2)=-a-5,
综上,g(a)=.

