2020-2021学年甘肃省天水一中高二上学期开学考试 数学试题(Word版,含答案解析)
展开2020-2021学年甘肃省天水一中高二上学期开学考试数学试题
一、单选题
1.的值是( )
A. B. C. D.
【答案】B
【分析】直接利用三角函数的诱导公式化简求值.
【详解】解:.
故选:.
2.在△ABC中,若,则△ABC的形状( )
A.直角三角形 B.等腰或直角三角形
C.不能确定 D.等腰三角形
【答案】B
【详解】由正弦定理,得,
,
又因为,
所以或,即或,
所以是等腰三角形或直角三角形.
故选:B.
【点睛】本题主要考查利用正弦定理、二倍角的正弦公式及三角形内角和定理判断三角形形状,属于中档题.判断三角形状的常见方法是:(1)通过正弦定理和余弦定理,化边为角,利用三角变换得出三角形内角之间的关系进行判断;(2)利用正弦定理、余弦定理,化角为边,通过代数恒等变换,求出边与边之间的关系进行判断;(3)根据余弦定理确定一个内角为钝角进而知其为钝角三角形.
3.已知向量,,若∥,则( )
A. B. C. D.
【答案】A
【分析】由∥可求得,根据二倍角公式即可求得结果.
【详解】由题意,因为,, ∥,
所以,即,
所以
故选:A
【点睛】本题主要考查了向量的共线定理的应用,以及三角函数的基本关系式的化简、求值,属于基础题.
4.若,则m=
A. B. C. D.
【答案】D
【分析】由条件利用两角和的正切公式,求得m的值.
【详解】∵
=tan(20°+40°)(1﹣tan20°tan40°)tan20°tan40°
(1﹣tan20°tan40°)tan20°tan40°,
故选D.
【点睛】本题主要考查两角和的正切公式的应用,灵活变形是关键,属于基础题.
5.已知中,内角的对边分别为,若,,则的面积( )
A. B.1 C. D.2
【答案】C
【分析】由余弦定理得,进而可得,再由三角形的面积公式求得答案.
【详解】,,
由,可得,,
.
故选:C
【点睛】本题考查了余弦定理,三角形的面积公式,属于基础题.
6.已知向量与的夹角为,,,则( )
A.4 B.3 C.2 D.1
【答案】C
【分析】由模长公式可得,代入已知数据计算可得.
【详解】解:向量与的夹角为,,,
∴
故选:.
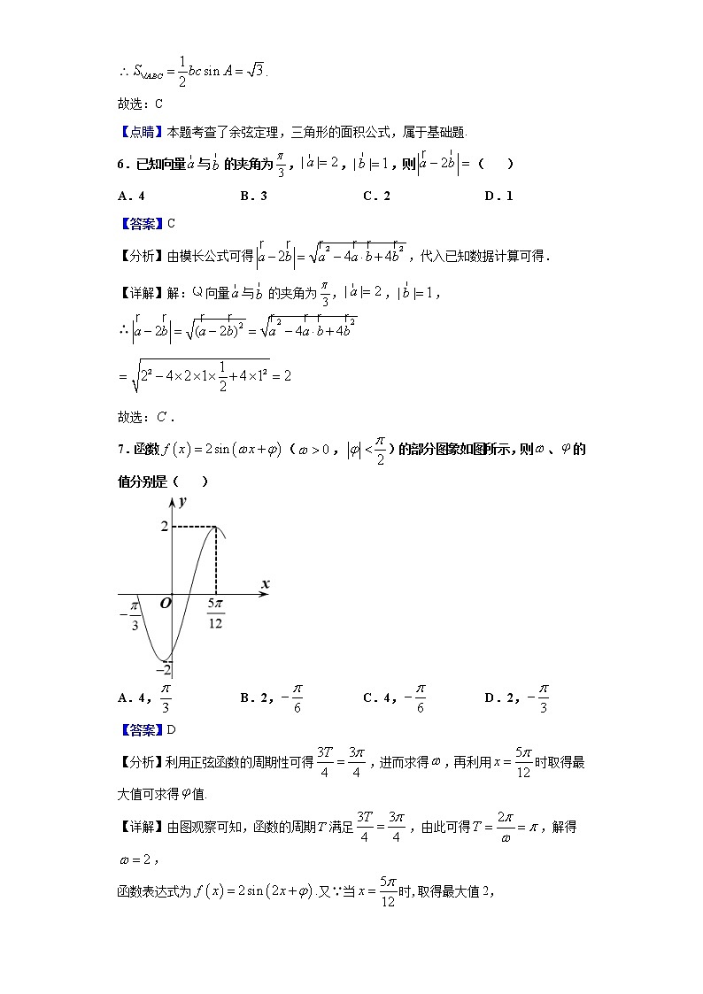
7.函数(,)的部分图象如图所示,则、的值分别是( )
A.4, B.2, C.4, D.2,
【答案】D
【分析】利用正弦函数的周期性可得,进而求得,再利用时取得最大值可求得值.
【详解】由图观察可知,函数的周期满足,由此可得,解得,
函数表达式为.又∵当时,取得最大值2,
∴,可得,∵,
∴取,得.
故选:D.
【点睛】本题考查由的部分图象确定函数解析式,考查正弦函数的周期性和最值,属于基础题.
8.若,则的值为( )
A. B. C. D.
【答案】C
【分析】利用二倍角公式,然后弦化切,即可利用已知条件计算求值.
【详解】解:,
.
故选:.
【点睛】本题主要考查了二倍角公式,同角三角函数基本关系式在三角函数化简求值中的应用,
三角函数求值问题中已知求关于的代数式的值时一般利用弦公切后直接代入求值,在关于的齐次式中,常常用弦公切的方法转化为的式子.
9.若则的值为( )
A. B. C. D.
【答案】A
【分析】根据诱导公式得,再根据二倍角的余弦公式求解即可.
【详解】解:∵,
∴,
故选:A.
【点睛】本题主要考查二倍角的余弦公式,属于基础题.
10.设函数,则下列结论正确的是( )
A.函数的图象关于直线对称
B.函数的图象关于点,对称
C.把函数的图象向左平移个单位,得到一个偶函数的图象
D.函数的最小正周期为,且在,上为增函数
【答案】C
【分析】由条件可得,再利用正弦函数的单调性、正弦函数图象的对称性,的图象变换规律,判断各个选项是否正确,从而得出结论.
【详解】解:由于函数,
当时,求得,不是最值,故函数的图象不关于直线对称,故排除.
当时,求得,故函数的图象不关于点,对称,故排除.
把函数的图象向左平移个单位,得到函数的图象,显然所得函数为偶函数,故正确.
由,,可得,,故在,上不是增函数,故不正确.故排除,
故选:.
【点睛】方法点睛:本题主要考查两角和的正弦公式,正弦函数的单调性、正弦函数图象的对称性,的图象变换规律.
正弦型函数的对称性问题:,若,则是图象的一个对称中心,若或(最值),则是图象的一条对称轴.
二、填空题
11.已知与为两个不共线的单位向量,若向量与向量垂直,则实数________.
【答案】1
【分析】根据数量积的定义,垂直的两个向量数量积为0,因此列式:,由数量积运算律计算可得.
【详解】解:向量与向量垂直,
它们的数量积为零,即:
,
与为两个单位向量,
所以式化为:,
即:,
单位向量与不共线,
,即
∴.
故答案为:1.
【点睛】易错点睛:本题给出两个特殊的向量,在已知它们垂直的基础之上,求参数的值,着重考查了单位向量、共线向量和向量的数量积等概念,解题中要交待由于与为两个不共线的单位向量,则,即,否则解题过程不完整,这也是易错的地方.
12.如图所示,在中,已知,,.若,,则_______.
【答案】
【分析】用作为基底表示出后再求数量积.
【详解】解:中,,,;
,,
,
;
.
故答案为:.
【点睛】方法点睛:本题考查向量的线性运算的应用,向量模的运算的应用,向量的运算,一般可选取两个不共线的向量(已知长度和夹角)为基底,其他向量都用基底表示,然后进行数量积运算、线性运算,从而易得结论.
13.在中,内角,,所对应的边长分别为,,,且,,则的外接圆面积为__________.
【答案】
【分析】根据正弦定理得到,再根据计算得到答案.
【详解】由正弦定理知:,
即,,,
即.故.
故答案为
【点睛】本题考查了正弦定理,外接圆面积,意在考查学生的计算能力.
14.已知函数的最大值为3,则实数的值为______.
【答案】
【分析】先化简函数的解析式得,再解方程即得解.
【详解】由题得,其中,
所以的最大值为,
解得.
故答案为:.
【点睛】本题主要考查辅助角公式的应用,考查三角函数的图象和性质的应用,意在考查学生对这些知识的理解掌握水平.
三、解答题
15.在中,角,,所对的边分别为,,.已知.
(1)求;
(2)若,且,求的面积.
【答案】(1);(2).
【分析】(1)利用正弦定理的边角互化可得,再利用三角形的内角和性质以及两角和的正弦公式即可求解.
(2)利用余弦定理可得,代入求出,再根据三角形的面积公式即可求解.
【详解】解:(1)因为,所以,
所以,所以,
因为,所以,所以.
(2)由余弦定理可得,
因为,,所以,所以.
故的面积为.
【点睛】本题考查了正弦定理的边角互化、余弦定理以及三角形的面积公式,考查了运算求解能力,属于基础题.
16.已知某单位全体员工年龄频率分布表,经统计,该单位35岁以下的青年职工中,男职工和女职工人数相等,且男职工的年龄频率分布直方图和如下:
年龄(岁) | [25,30) | [30,35) | [35,40) | [40,45) | [45,50) | [50,55) | 合计 |
人数(人) | 6 | 18 | 50 | 31 | 19 | 16 | 140 |
(Ⅰ)求;
(Ⅱ)求该单位男女职工的比例;
(Ⅲ)若从年龄在[25,30)岁的职工中随机抽取两人参加某项活动,求恰好抽取一名男职工和一名女职工的概率.
【答案】Ⅰ) (Ⅱ) 4∶3 (Ⅲ)
【分析】(Ⅰ)利用频率和为1可得结果;(Ⅱ)由(Ⅰ)中求出的a及频率分布直方图可以求出35岁以下男职工的数量,进而得到所有男职工的数量,即可求男女职工比例;(Ⅲ)求出该组男女职工的数量,然后代入古典概型计算可得.
【详解】(Ⅰ)由男职工的年龄频率分布直方图可得:
.
所以.
(Ⅱ)该单位[25,35)岁职工共24人,由于[25,35)岁男女职工人数相等,所以[25, 35)岁的男职工共12人.由(1)知,男职工年龄在[25,35)岁的频率为,
所以男职工共有人,
所以女职工有人,
所以男女比例为4∶3.
(Ⅲ)由男职工的年龄频率分布直方图可得:男职工年龄在[25,30)岁的频率为.
由(2)知,男职工共有80人,所以男职工年龄在[25, 30)岁的有4人,分别记为.
又全体员工年龄在[25,30)岁的有6人,所以女职工年龄在[25, 30)岁的有2人,分别记为.
从年龄在25~30岁的职工中随机抽取两人的结果共有 种情况,
其中一男一女的有
8种情况,
所以恰好抽取一名男职工和一名女职工的概率为.
【点睛】本题主要考查了频率分布直方图、古典概型的概率计算等知识,采用列举事件包含的基本事件的个数的方法时,要做到不重不漏.本题属于基础题.
17.
已知函数()的最小正周期为.
(Ⅰ)求的值;
(Ⅱ)求函数在区间上的取值范围.
【答案】(Ⅰ)
(Ⅱ)
【解析】
(1)因
=,因;
(2)对于因,因此
18.中,已知.
(1)求;
(2)已知,求周长的取值范围.
【答案】(1);(2),.
【分析】(1)根据三角函数的倍角公式降幂,结合辅助角公式将函数进行化简为一个角的一个三角函数形式,然后可求出.
(2)结合正弦定理表示出,利用两角和差的正弦公式把化为角的三角函数,然后根据的取值范围求得结论.
【详解】解:(1),可得,
即,
即,即,
,
,
即,即.
(2),由正弦定理可得,
,,
,
,
,
则,即,
则,
则,
即三角形的周长的范围是,.
【点睛】方法点睛:本题主要考查三角形周长的计算,利用正弦定理或余弦定理把边用角表示,把周长化为角的三角函数,利用辅助角公式把此函数变为一个角的一个三角函数形式,然后利用正弦函数的性质求得取值范围.

