若您为此资料的原创作者,认为该资料内容侵犯了您的知识产权,请扫码添加我们的相关工作人员,我们尽可能的保护您的合法权益。

1/15

2/15

3/15
还剩12页未读, 继续阅读
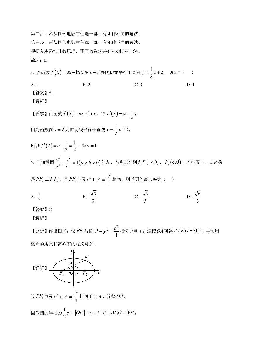
2025—2026学年江苏南京市(东高、秦科高、南师江宁、金陵河西、雨中)高二上学期期末考试数学试卷【附解析】
展开 这是一份2025—2026学年江苏南京市(东高、秦科高、南师江宁、金陵河西、雨中)高二上学期期末考试数学试卷【附解析】,共15页。
相关试卷
2025—2026学年江苏南京市(东高、秦科高、南师江宁、金陵河西、雨中)高二上学期期末考试数学试卷【附解析】:
这是一份2025—2026学年江苏南京市(东高、秦科高、南师江宁、金陵河西、雨中)高二上学期期末考试数学试卷【附解析】,共15页。
江苏省南京市(东高、秦科高、南师江宁、金陵河西、雨中)2025-2026学年高二上学期期末考试数学试卷含解析(word版):
这是一份江苏省南京市(东高、秦科高、南师江宁、金陵河西、雨中)2025-2026学年高二上学期期末考试数学试卷含解析(word版),文件包含江苏南京市东高秦科高南师江宁金陵河西雨中2025-2026学年高二上学期期末考试_数学试题含解析docx、2025-2026学年东高秦科高南师江宁金陵河西雨中高二上学期期末考试数学试卷docx等2份试卷配套教学资源,其中试卷共20页, 欢迎下载使用。
2025-2026学年(东高、秦科高、南师江宁、金陵河西、雨中)高二上学期期末考试数学试卷+答案:
这是一份2025-2026学年(东高、秦科高、南师江宁、金陵河西、雨中)高二上学期期末考试数学试卷+答案,共13页。
相关试卷 更多
资料下载及使用帮助
版权申诉
- 1.电子资料成功下载后不支持退换,如发现资料有内容错误问题请联系客服,如若属实,我们会补偿您的损失
- 2.压缩包下载后请先用软件解压,再使用对应软件打开;软件版本较低时请及时更新
- 3.资料下载成功后可在60天以内免费重复下载
版权申诉
免费领取教师福利 




.png)




