







山东省淄博市2026届高三一模考试数学试卷含解析(word版+pdf版)
展开 这是一份山东省淄博市2026届高三一模考试数学试卷含解析(word版+pdf版),文件包含淄博市2025-2026学年度高三模拟考试数学答案pdf、山东淄博市2025-2026学年高三下学期模拟考试数学试题解析版docx、淄博市2025-2026学年度高三模拟考试数学pdf等3份试卷配套教学资源,其中试卷共34页, 欢迎下载使用。
一、单选题:本题共8小题,每小题5分,共40分,每小题只有一个选项符合要求
1. 已知集合,,那么集合
A.B.C.D.
【答案】C
【解析】由,可得,则,
由,可得,即,即,
故.
2. 若复数的共轭复数满足,则复数
A.B.C.D.
【答案】B
【解析】因为,所以,所以.
3.已知,则
A.B.C.D.
【答案】D
【解析】由题可得,所以 .
4.已知椭圆:的左、右焦点分别为和,过且倾斜角为的直线与交于,两点,则
A.B.C.D.
【答案】B
【解析】椭圆:的右焦点,过且倾斜角为的直线的方程为,即,将代入,得到,即,
设,则,
则.
5.过点且与圆相切的两条直线的夹角为,则
A.B.C.D.
【答案】A
【解析】如图,B,D为切点,则,,,
由圆可得,,又,
所以,
所以,则,
故.
6.有5名同学,,,,参加唱歌比赛,抽签决出出场顺序.若和都不是第1个出场,且不是最后一个出场,则这5人不同的出场顺序种数为
A.42B.50C.54D.60
【答案】D
【解析】根据题意,分是第1个和不是第1个且不是最后一个,两类情况讨论:
当是第1个时,此时剩余的全排列,共有种不同的排法;
当不是第1个且不是最后一个时,先排第1个,从中选一人为第1个,有种选法;
再排,有三个位置可选,有种排法,最后三人全排列,有种排法,
所以共有种不同的排法,
由分类计数原理得,共有种不同的排列情况.
7.在正方体中,为的中点,,,若,,,四点共面,则的值为
A.B.C.D.
【答案】A
【解析】如图所示,以为原点,以所在直线为轴建立空间直角坐标系,
设正方体的棱长为1,因为为的中点,,,
所以.
所以.
因为,,,四点共面,所以,
得到,解得.
8.已知函数的定义域为,,且,,则的最小值为
A.9B.12C.16D.18
【答案】D
【解析】令,则,所以.
令,则,
因为函数的定义域为,,
所以,当且仅当时,即时,等号成立.
所以的最小值为.
二、多选题:本题共3小题,每小题6分,共18分。在每小题给出的四个选项中,有多项符合题目要求。全部选对的得6分,部分选对的得部分分,有选错的得0分。
9.已知实数,满足,则下列说法正确的有
A.B.
C.若,则D.若,,则
【答案】BC
【解析】若,则满足,但不满足,故A错误;
因为,
所以,故B正确;
因为,,所以,则,故C正确;
因为,,所以,则,故D错误.
10.已知函数,则下列说法正确的是
A.若,且曲线的对称中心为,则
B.若,函数在上单调递增,则
C.若,且,则存在实数,使得
D.若,,且函数有两个极值点、,则
【答案】ACD
【解析】对于A,若,则,
由的对称中心为,则,
所以,
所以
,
所以,则,A对,
对于B,若,则。若在上单调递增,
则其导数在上恒成立,
所以,即,B错,
对于C,由,,不等式两边同乘,得,
的判别式,
故有两个不同零点,即有两个极值点,故不单调,
因此存在使得,C对,
对于D,将代入导函数,得,
极值点是的两个根,
由韦达定理:,D对.
11.已知双曲线:的上、下焦点分别为和,下顶点为,为第一象限内上的动点,当时,的面积为,则下列说法正确的是
A.双曲线的离心率
B.双曲线的渐近线方程为
C.
D.的内心满足
【答案】ACD
【解析】对于A:由双曲线定义得 ,平方得 ,
在 中由余弦定理得, ,
代入 ,整理得 ,即 ,
的面积,
得 ,即,
又因为,所以,则离心率 ,A正确;
对于选项B:焦点在轴的双曲线渐近线为 ,代入 ,得 ,B错误;
对于选项C:,设 ,满足 ,
设,,则 ,
代入 ,化简得 。
设,同理得 ,且 ,故 ,C正确;
对于选项D:首先考虑选项C的逆命题即若点在第一象限且满足,则点在双曲线上.
下面证明这个命题,设,则,
化简得,所以点在双曲线上,该命题成立.
又因为内心是三角形各角平分线的交点,所以,
根据上述命题,在双曲线上,所以,所以.
三、填空题:本题共3小题,每小题5分,共15分
12.平面向量,,则在上的投影向量坐标为________.
【答案】
【解析】由,,得,,
则在上的投影向量为 .
13.若函数的部分图象如图所示,则关于的不等式的解集为______.
【答案】
【解析】由图象得,,即,而,则,
,又,则,
解得,函数的最小正周期,由图象知,
则,所以,,
由,得,则,
解得,
即关于的不等式的解集为 .
14.在数列的每相邻两项之间插入此两项的和,形成新的数列,再把所得数列按照同样的方法不断构造出新的数列,现将数列1,2进行构造,第1次得到数列1,3,2;第2次得到数列1,4,3,5,2;…;第次得到数列,记,则________.
【答案】
【解析】 第1次得到数列1,3,2;第2次得到数列1,4,3,5,2;
第3次得到数列1,5,4,7,3,8,5,7,2;
第4次得到数列1,6,5,9,4,11,7,10,3,11,8,13,5,12,7,9,2;
故 .
四、解答题:本题共5小题,共77分,解答应写出文字说明,证明过程或演算步骤
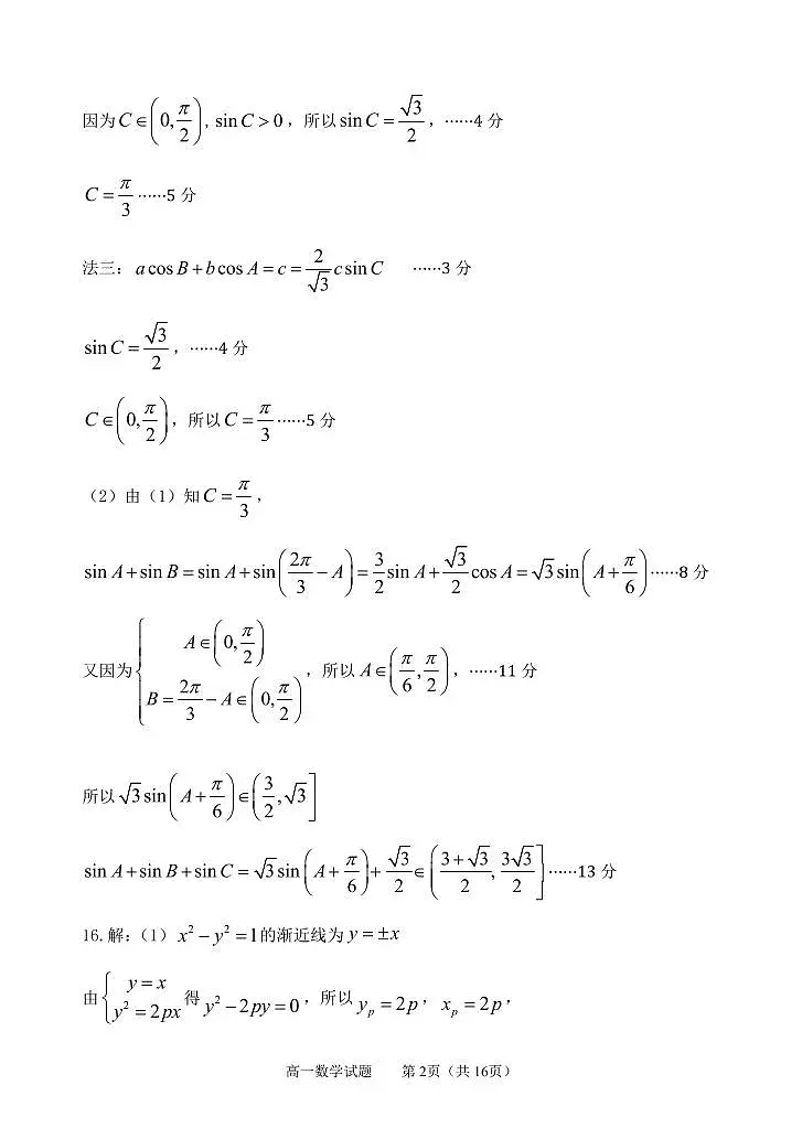
15.已知锐角的三个内角,,所对的边分别为,,,且满足.
(1)求角;
(2)求的取值范围 .
【解析】(1)由正弦定理,,,可得:
,
又,
所以,因为,
化简可得:,
因为是锐角三角形,,
故;
(2)由得,即,
因为是锐角三角形,所以,
解得,
由得,
故,
代入得: ,
因此的取值范围为 .
16.已知抛物线:与双曲线的渐近线在第一、四象限的交点分别为,,且.
(1)求抛物线的方程;
(2),为上异于,的两动点,且以线段为直径的圆恰好经过,证明:直线过定点.
【解析】(1)的渐近线为,
联立,解得或,故,
由对称性可得,则,
故(负值舍去),即抛物线的方程为;
(2)由(1)知,设、,
由以线段为直径的圆恰好经过,则,
由,,
则
,
由,异于,故,
则,
设,,则,
,则,
,,即,,
故,即,
则,
当时,,故直线过定点.
17.如图,四棱锥中,平面,,,.
(1)求证:;
(2)若为的重心,
(i)求与平面所成角的正弦值;
(ii)若交平面于,求的值.
【解析】
(1)在中,,,
,,
平面,平面,,
,平面,平面,
平面,平面,;
(2)(i)以为原点,分别为轴建立空间直角坐标系,如图所示,
,,.
,,,,,
,,
为的重心,,,
设平面的法向量为,
则,,,
取,则,即,
,, ,
设与平面所成的角为,
则,
故与平面所成角的正弦值为;
(ii)由(i)知,,,
设,则,
,
由(i)知,平面的法向量为,
则,即,则,解得,
即 .
18.设、为实数,且,函数,.
(1)当时,求曲线在点处的切线方程;
(2)当时,证明:;
(3)若曲线与直线有且仅有两个交点,求的取值范围.
【解析】(1)当时,,则,
而,则,
所以曲线在点处的切线方程为,即.
(2)当时,,
设,
则,
由于,则,
令,得,令,得,
所以函数在上单调递减,在上单调递增,
则,即.
(3)设,
由题意,曲线与直线有且仅有两个交点,
则函数有且仅有2个零点,
而,
令,得,而,则,
当时,,则函数在上单调递增,
此时函数最多有1个零点,不符合题意;
当时,令,得,令,得,
所以函数在上单调递减,在上单调递增,
又时,,时,,
要使函数有且仅有2个零点,
则,即,
设,则,
当时,,则,不满足题意;
当时,设,则,
则函数在上单调递减,又,
则时,,即,
则的取值范围为.
19.甲口袋中装有3个红球,乙口袋中装有2个黄球和1个红球.现从甲、乙两口袋中各任取一个球交换放入另一口袋,重复次这样的操作,记乙口袋中黄球个数为,恰有2个黄球的概率为,恰有1个黄球的概率为.
(1)求,和,;
(2)求的数学期望(用表示);
(3),若,有,求所有元素之和.
【解析】(1)依题意,,,
,
.
(2)设表示次取球后乙口袋有2个黄球,表示次取球后乙口袋有1个黄球,
表示一次操作甲乙都取的是红球,表示一次操作甲取的是红球同时乙取的是黄球,
表示一次操作甲取的是黄球同时乙取的是红球,表示一次操作甲,乙都取黄球,
当时,
则,
,
,
,
因此,即,,
所以是为首项为公比的等比数列.
故.
依题意,的分布列为
故期望.
(3)由(2)知,
,
而所有元素之和可以看作集合中所有子集中元素之和.
设集合为一共有个不同的元素,
而一个包含的子集,对于剩下的个元素,
每个元素可以独立地选择“放入子集”或“不放入子集”,
因此对于剩下的个元素,每个都有2种选择,由乘法原理,这样的子集个数为,
由此可知一个所有子集中元素之和为该集合各个元素之和的倍,
故所有元素之和可写为,
令
所以
故,
所以.
故所有元素之和可写为.0
1
2
相关试卷
这是一份山东省淄博市2026届高三一模考试数学试卷含解析(word版+pdf版),文件包含淄博市2025-2026学年度高三模拟考试数学答案pdf、山东淄博市2025-2026学年高三下学期模拟考试数学试题解析版docx、淄博市2025-2026学年度高三模拟考试数学pdf等3份试卷配套教学资源,其中试卷共34页, 欢迎下载使用。
这是一份山东省淄博市2026届高三下学期一模数学试卷(扫描版附答案),文件包含淄博市2025-2026学年度高三模拟考试数学pdf、淄博市2025-2026学年度高三模拟考试数学答案pdf等2份试卷配套教学资源,其中试卷共20页, 欢迎下载使用。
这是一份山东省淄博市2026届高三上学期期末考试数学试卷(Word版附解析),共16页。试卷主要包含了单选题,多选题,填空题,解答题等内容,欢迎下载使用。
相关试卷 更多
- 1.电子资料成功下载后不支持退换,如发现资料有内容错误问题请联系客服,如若属实,我们会补偿您的损失
- 2.压缩包下载后请先用软件解压,再使用对应软件打开;软件版本较低时请及时更新
- 3.资料下载成功后可在60天以内免费重复下载
免费领取教师福利 




.png)




