搜索
      上传资料 赚现金

      专题九 微点突破6 常见的成环反应 教案+课件(含答案)2026届高考化学二轮复习

      • 2.03 MB
      • 2026-03-09 20:11:09
      • 29
      • 0
      • 教习网用户1678424
      加入资料篮
      立即下载
      查看完整配套(共2份)
      包含资料(2份) 收起列表
      课件
      专题九 微点突破6 常见的成环反应.pptx
      预览
      练习
      专题九 微点突破6 常见的成环反应.docx
      预览
      正在预览:专题九 微点突破6 常见的成环反应.pptx
      专题九 微点突破6 常见的成环反应第1页
      高清全屏预览
      1/17
      专题九 微点突破6 常见的成环反应第2页
      高清全屏预览
      2/17
      专题九 微点突破6 常见的成环反应第3页
      高清全屏预览
      3/17
      专题九 微点突破6 常见的成环反应第4页
      高清全屏预览
      4/17
      专题九 微点突破6 常见的成环反应第5页
      高清全屏预览
      5/17
      专题九 微点突破6 常见的成环反应第6页
      高清全屏预览
      6/17
      专题九 微点突破6 常见的成环反应第7页
      高清全屏预览
      7/17
      专题九 微点突破6 常见的成环反应第8页
      高清全屏预览
      8/17
      专题九 微点突破6 常见的成环反应第1页
      高清全屏预览
      1/4
      专题九 微点突破6 常见的成环反应第2页
      高清全屏预览
      2/4
      还剩9页未读, 继续阅读

      专题九 微点突破6 常见的成环反应 教案+课件(含答案)2026届高考化学二轮复习

      展开

      这是一份专题九 微点突破6 常见的成环反应 教案+课件(含答案)2026届高考化学二轮复习,文件包含专题九微点突破6常见的成环反应pptx、专题九微点突破6常见的成环反应docx等2份课件配套教学资源,其中PPT共17页, 欢迎下载使用。
      1.双烯合成第尔斯⁃阿尔德反应,如:
      +‖ ;
      __________。
      2.二元醇脱水形成醚如:
      3.羟基羧酸分子内酯化,形成内酯
      4.氨基酸分子内形成酰胺基
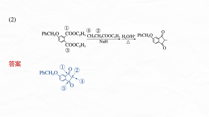
      5.利用活泼亚甲基上的两个α⁃H观察下列转化,将反应物碳原子的编号标在产物对应碳原子上(1)
      【例1】 咖啡鞣酸是重要的中药有效成分之一,具有广泛抗菌作用,它的结构如图所示。H是合成咖啡鞣酸的中间体,一种合成路线如图所示。
      回答下列问题:(1)B的名称是____________(用系统命名法命名),咖啡鞣酸中所含官能团有羟基、酯基和     (填名称)。(2)E→F的反应类型是_____   。
      (3)4⁃羟基⁃1⁃环己甲酸⁃△⁃内酯( )是一种有机合成中间体,设计以1,3⁃丁二烯和氯乙烯为起始原料合成4⁃羟基⁃1⁃环己甲酸⁃△⁃内酯的路线(无机试剂任用)。
      【例2】 化合物H(磷酸奥司他韦)适用于流感病毒的治疗,部分合成路线如右:注:Et—为C2H5—;Ms—为
      (1)B分子中sp2杂化的碳原子数与sp3杂化的碳原子数的比值为   。
      (2)A→B的反应类型为_______   。(3)E转化为F时有副产物M(与F互为同分异构体)生成,M的结构简式为      。

      相关课件

      专题九 微点突破6 常见的成环反应 教案+课件(含答案)2026届高考化学二轮复习:

      这是一份专题九 微点突破6 常见的成环反应 教案+课件(含答案)2026届高考化学二轮复习,文件包含专题九微点突破6常见的成环反应pptx、专题九微点突破6常见的成环反应docx等2份课件配套教学资源,其中PPT共17页, 欢迎下载使用。

      专题九 微点突破9 有机合成路线的设计 教案+课件(含答案)2026届高考化学二轮复习:

      这是一份专题九 微点突破9 有机合成路线的设计 教案+课件(含答案)2026届高考化学二轮复习,文件包含专题九微点突破9有机合成路线的设计pptx、专题九微点突破9有机合成路线的设计docx等2份课件配套教学资源,其中PPT共27页, 欢迎下载使用。

      专题九 微点突破7 有机合成流程图中官能团的引入与定位  保护与恢复问题 教案+课件(含答案)2026届高考化学二轮复习:

      这是一份专题九 微点突破7 有机合成流程图中官能团的引入与定位  保护与恢复问题 教案+课件(含答案)2026届高考化学二轮复习,文件包含专题九微点突破7有机合成流程图中官能团的引入与定位官能团的保护与恢复问题pptx、专题九微点突破7有机合成流程图中官能团的引入与定位官能团的保护与恢复问题docx等2份课件配套教学资源,其中PPT共22页, 欢迎下载使用。

      资料下载及使用帮助
      版权申诉
      • 1.电子资料成功下载后不支持退换,如发现资料有内容错误问题请联系客服,如若属实,我们会补偿您的损失
      • 2.压缩包下载后请先用软件解压,再使用对应软件打开;软件版本较低时请及时更新
      • 3.资料下载成功后可在60天以内免费重复下载
      版权申诉
      若您为此资料的原创作者,认为该资料内容侵犯了您的知识产权,请扫码添加我们的相关工作人员,我们尽可能的保护您的合法权益。
      入驻教习网,可获得资源免费推广曝光,还可获得多重现金奖励,申请 精品资源制作, 工作室入驻。
      版权申诉二维码
      高考专区
      • 精品推荐
      • 所属专辑47份
      欢迎来到教习网
      • 900万优选资源,让备课更轻松
      • 600万优选试题,支持自由组卷
      • 高质量可编辑,日均更新2000+
      • 百万教师选择,专业更值得信赖
      微信扫码注册
      手机号注册
      手机号码

      手机号格式错误

      手机验证码 获取验证码 获取验证码

      手机验证码已经成功发送,5分钟内有效

      设置密码

      6-20个字符,数字、字母或符号

      注册即视为同意教习网「注册协议」「隐私条款」
      QQ注册
      手机号注册
      微信注册

      注册成功

      返回
      顶部
      学业水平 高考一轮 高考二轮 高考真题 精选专题 初中月考 教师福利
      添加客服微信 获取1对1服务
      微信扫描添加客服
      Baidu
      map