





所属成套资源:(辅导班)2027年高考数学一轮复习精讲精练+随堂检测(2份,原卷版+解析版)
- (辅导班)2027年高考数学一轮复习精讲精练 第3章 第04讲 解三角形 讲义+随堂检测(2份,原卷版+教师版)试卷0 次下载
- (辅导班)2027年高考数学一轮复习精讲精练 第3章 第03讲 三角函数的图象与性质 讲义+随堂检测(2份,原卷版+教师版)试卷0 次下载
- (辅导班)2027年高考数学一轮复习精讲精练 第3章 第01讲 三角函数的概念与诱导公式 讲义+随堂检测(2份,原卷版+教师版)试卷0 次下载
- (辅导班)2027年高考数学一轮复习精讲精练 第2章 第06讲 函数的图象 讲义+随堂检测(2份,原卷版+教师版)试卷0 次下载
- (辅导班)2027年高考数学一轮复习精讲精练 第2章 第05讲 对数与对数函数 讲义+随堂检测(2份,原卷版+教师版)试卷0 次下载
(辅导班)2027年高考数学一轮复习精讲精练 第3章 第02讲 三角恒等变换 讲义+随堂检测(2份,原卷版+教师版)
展开 这是一份(辅导班)2027年高考数学一轮复习精讲精练 第3章 第02讲 三角恒等变换 讲义+随堂检测(2份,原卷版+教师版),文件包含辅导班2027年高考数学一轮复习精讲精练第3章第02讲三角恒等变换讲义+随堂检测教师版docx、辅导班2027年高考数学一轮复习精讲精练第3章第02讲三角恒等变换讲义+随堂检测原卷版docx等2份试卷配套教学资源,其中试卷共27页, 欢迎下载使用。
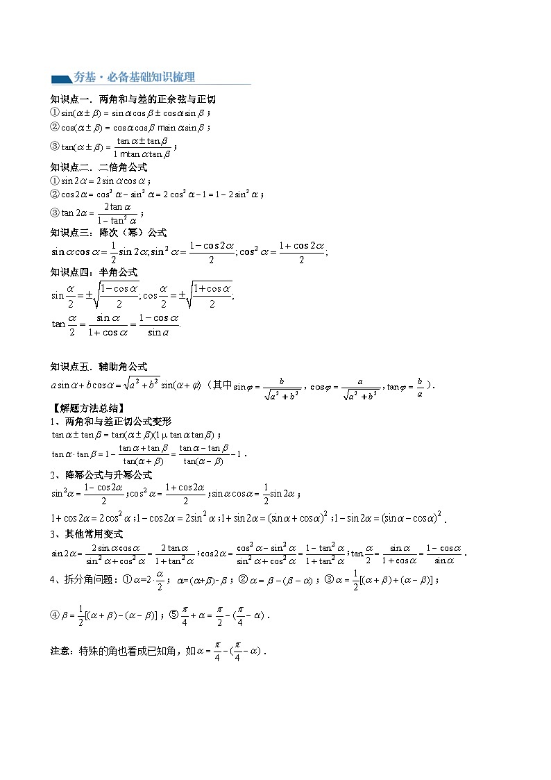
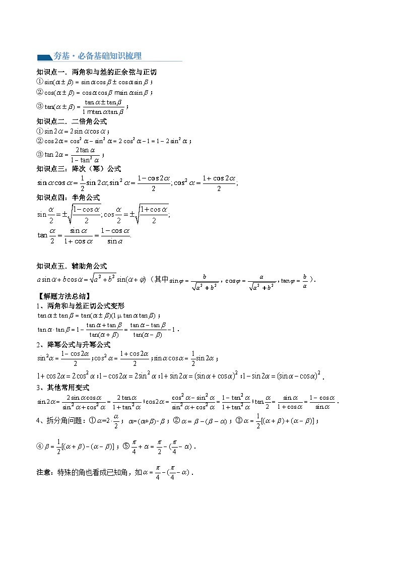
知识点一.两角和与差的正余弦与正切
①;
②;
③;
知识点二.二倍角公式
①;
②;
③;
知识点三:降次(幂)公式
知识点四:半角公式
知识点五.辅助角公式
(其中).
【解题方法总结】
1、两角和与差正切公式变形
;
.
2、降幂公式与升幂公式
;
.
3、其他常用变式
.
4、拆分角问题:①;;②;③;
④;⑤.
注意:特殊的角也看成已知角,如.
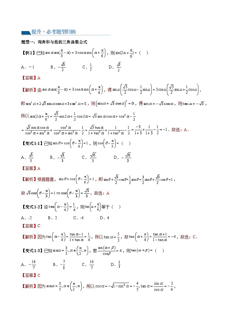
题型一:两角和与差的三角函数公式
【例1】已知,则( )
A.-1 B. C. D.
【变式1-1】已知,则( )
A. B. C. D.
【变式1-2】设,则等于( )
A.-2 B.2 C.-4 D.4
【变式1-3】已知,若,则( )
A. B. C. D.
题型二:两角和与差的三角函数公式的逆用与变形
【例2】已知,,则的值为( )
A. B. C. D.
【变式2-1】已知,,则的值为( )
A. B. C. D.
【变式2-2】若,则( )
A. B. C. D.
【变式2-3】已知第二象限角满足,则的值为( )
A. B. C. D.
题型三:角的变换问题
【例3】已知,则( )
A. B. C.1 D.
【变式3-1】已知,则( )
A. B. C. D.3
【变式3-2】已知,则( )
A. B. C. D.
【变式3-3】已知,则的值为( )
A. B. C. D.
【变式3-4】已知,,,,则( )
A. B. C. D.
题型四:给角求值
【例4】式子化简的结果为( )
A. B. C. D.
【变式4-1】若,则实数的值为( )
A. B. C. D.
【变式4-2】( )
A. B. C. D.
【变式4-3】求值:( )
A.1 B. C. D.
题型五:给值求值
【例5】已知,则________.
【变式5-1】已知,则______.
【变式5-2】若,则__________.
【变式5-3】已知,则_______.
【变式5-4】已知,则________.
题型六:给值求角
【例6】已知,,且,,则的值是___________.
【变式6-1】若为锐角,,则角__________.
【变式6-2】已知,,则______.
【变式6-3】已知,且,求的值为_____.
【变式6-4】已知,,,,则______.
题型七:正切恒等式及求非特殊角
【例7】已知,满足,则______.
【变式7-1】____________.
【变式7-2】若角的终边经过点,且,则实数______.
【变式7-3】已知,,,则( )
A. B. C. D.
题型八:三角恒等变换的综合应用
【例8】已知函数
(1)求函数的对称轴和对称中心;
(2)当,求函数的值域.
【变式8-1】已知.
(1)求在上的单调递减区间;
(2)若,求的值.
【变式8-2】已知函数;
(1)若在中,,,求使的角.
(2)求在区间上的取值范围;
【变式8-3】已知.若的最小正周期为.
(1)求的表达式和的递增区间;
(2)求在区间上的最大值和最小值.
第02讲 三角恒等变换
1.已知角的顶点为坐标原点,始边与轴的非负半轴重合,终边经过点,则( )
A. B. C. D.
2.已知,,则( )
A. B. C. D.
3.已知,则的值是( )
A. B.2 C. D.
4.若,则( )
A. B. C. D.
5.已知,则( )
A.0 B. C. D.
6.已知,则( )
A. B. C. D.
7.已知,,则( )
A.4 B.6 C. D.
8.已知,则______.
9.若,则__________.
10.若,则______.
11.已知函数,且.
(1)求的值和的最小正周期;
(2)求在上的单调递增区间.
相关试卷
这是一份(辅导班)2027年高考数学一轮复习精讲精练 第3章 第02讲 三角恒等变换 讲义+随堂检测(2份,原卷版+教师版),文件包含辅导班2027年高考数学一轮复习精讲精练第3章第02讲三角恒等变换讲义+随堂检测教师版docx、辅导班2027年高考数学一轮复习精讲精练第3章第02讲三角恒等变换讲义+随堂检测原卷版docx等2份试卷配套教学资源,其中试卷共27页, 欢迎下载使用。
这是一份(辅导班)2027年高考数学一轮复习精讲精练 第3章 第04讲 解三角形 讲义+随堂检测(2份,原卷版+教师版),文件包含辅导班2027年高考数学一轮复习精讲精练第3章第04讲解三角形讲义+随堂检测教师版docx、辅导班2027年高考数学一轮复习精讲精练第3章第04讲解三角形讲义+随堂检测原卷版docx等2份试卷配套教学资源,其中试卷共31页, 欢迎下载使用。
这是一份新高考数学一轮复习考点精讲练+易错题型第23讲 三角恒等变换(1)(2份打包,原卷版+解析版),文件包含新高考数学一轮复习考点精讲练+易错题型第23讲三角恒等变换1原卷版doc、新高考数学一轮复习考点精讲练+易错题型第23讲三角恒等变换1解析版doc等2份试卷配套教学资源,其中试卷共23页, 欢迎下载使用。
相关试卷 更多
- 1.电子资料成功下载后不支持退换,如发现资料有内容错误问题请联系客服,如若属实,我们会补偿您的损失
- 2.压缩包下载后请先用软件解压,再使用对应软件打开;软件版本较低时请及时更新
- 3.资料下载成功后可在60天以内免费重复下载
免费领取教师福利 












