若您为此资料的原创作者,认为该资料内容侵犯了您的知识产权,请扫码添加我们的相关工作人员,我们尽可能的保护您的合法权益。
当前压缩包共包含下列2份文件,点击文件名可预览资料内容

1/10

2/10

3/10

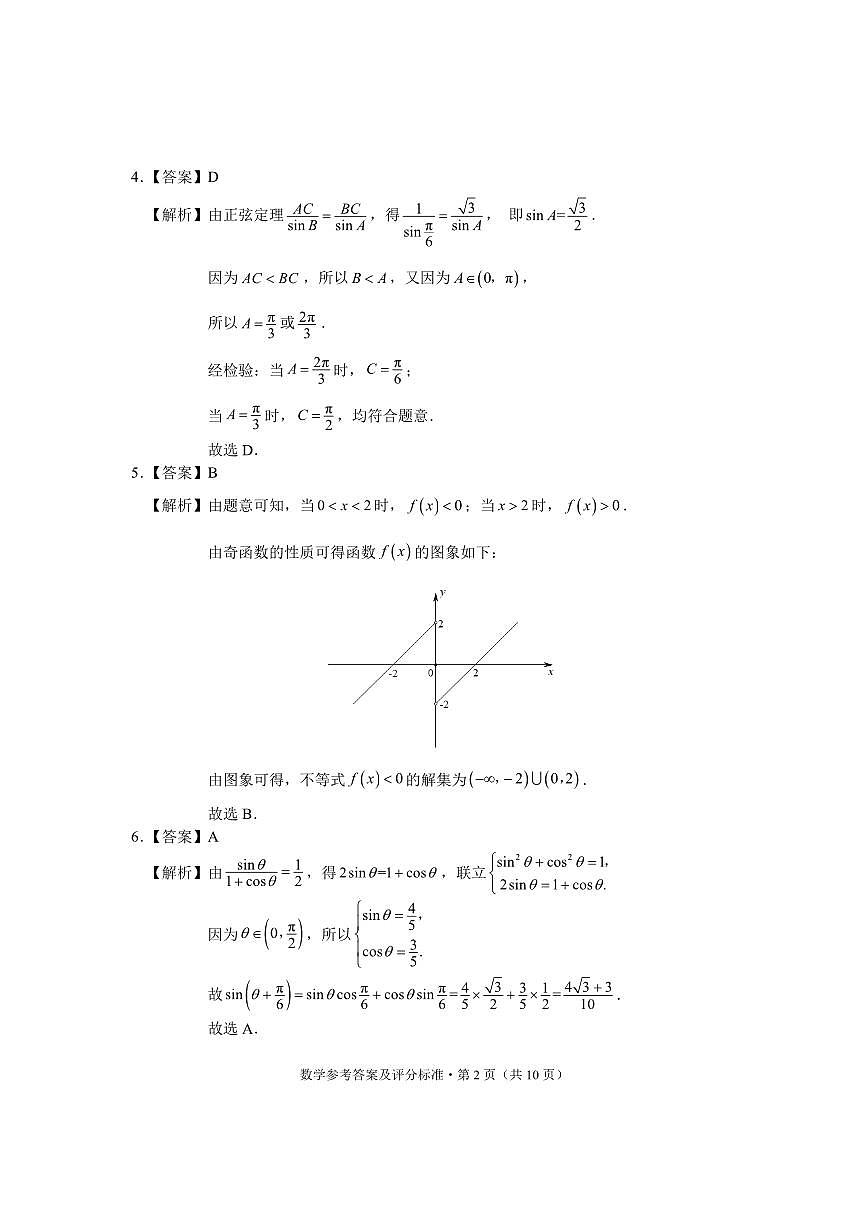
1/6

2/6

3/6
还剩7页未读, 继续阅读
所属成套资源:2026年全国各省市高考模拟题试卷合辑
成套系列资料,整套一键下载
红河州、文山州2026届高考第二次模拟考试数学试卷含答案
展开 这是一份红河州、文山州2026届高考第二次模拟考试数学试卷含答案,文件包含红河州文山州2026届高中毕业生第二次复习统一检测数学答案pdf、红河州文山州2026届高中毕业生第二次复习统一检测数学pdf等2份试卷配套教学资源,其中试卷共16页, 欢迎下载使用。
相关试卷
红河州、文山州2026届高考第二次模拟考试数学试卷含答案:
这是一份红河州、文山州2026届高考第二次模拟考试数学试卷含答案,文件包含红河州文山州2026届高中毕业生第二次复习统一检测数学答案pdf、红河州文山州2026届高中毕业生第二次复习统一检测数学pdf等2份试卷配套教学资源,其中试卷共16页, 欢迎下载使用。
红河州、文山州2026届高中毕业生第二次复习统一检测高考模拟数学试题及答案:
这是一份红河州、文山州2026届高中毕业生第二次复习统一检测高考模拟数学试题及答案,共10页。
数学-云南省红河州、文山州2026届高三第二次复习统一检测(红河文山二统)试卷及答案:
这是一份数学-云南省红河州、文山州2026届高三第二次复习统一检测(红河文山二统)试卷及答案,共16页。
相关试卷 更多
资料下载及使用帮助
版权申诉
- 1.电子资料成功下载后不支持退换,如发现资料有内容错误问题请联系客服,如若属实,我们会补偿您的损失
- 2.压缩包下载后请先用软件解压,再使用对应软件打开;软件版本较低时请及时更新
- 3.资料下载成功后可在60天以内免费重复下载
版权申诉
免费领取教师福利 








