搜索
      上传资料 赚现金

      2026届高三数学二轮复习课件:板块二 数列 提优点5 数列中的放缩问题(含解析)

      • 1.53 MB
      • 2026-02-23 22:22:56
      • 10
      • 1
      加入资料篮
      立即下载
      17953456第1页
      高清全屏预览
      1/32
      17953456第2页
      高清全屏预览
      2/32
      17953456第3页
      高清全屏预览
      3/32
      17953456第4页
      高清全屏预览
      4/32
      17953456第5页
      高清全屏预览
      5/32
      17953456第6页
      高清全屏预览
      6/32
      17953456第7页
      高清全屏预览
      7/32
      17953456第8页
      高清全屏预览
      8/32
      还剩24页未读, 继续阅读

      2026届高三数学二轮复习课件:板块二 数列 提优点5 数列中的放缩问题(含解析)

      展开

      这是一份2026届高三数学二轮复习课件:板块二 数列 提优点5 数列中的放缩问题(含解析),共32页。PPT课件主要包含了知识拓展,精准强化练,类型突破等内容,欢迎下载使用。
      类型一 先求和再放缩证明不等式
      类型二 先放缩通项再求和证明不等式
      类型三 通项放缩与求值
      (2025·成都诊断)已知数列{an}满足a1+2a2+…+nan=(n-1)·2n+1+2.(1)求{an}的通项公式;
      由题意可知,当n=1时,a1=2;当n≥2时,由a1+2a2+…+nan=(n-1)·2n+1+2得,a1+2a2+…+(n-1)an-1=(n-2)·2n+2,两式作差可得,nan=(n-1)·2n+1-(n-2)·2n=n·2n,∴an=2n,a1=2也适合该式,故an=2n.
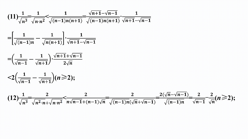
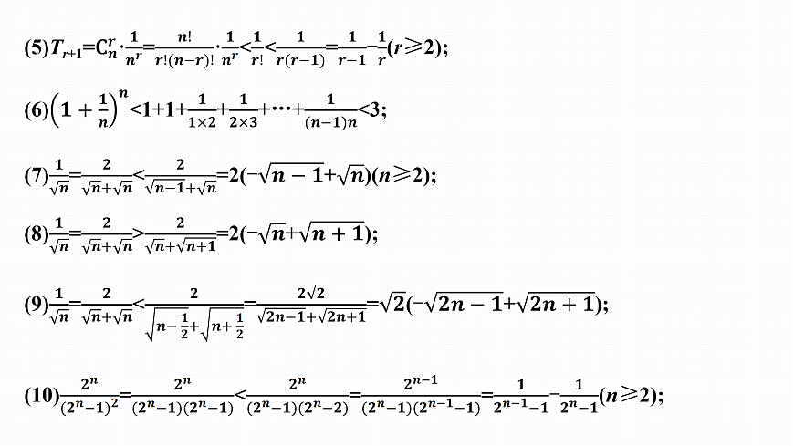
      此类不等式一般另一端为常数,求和以后常利用去项放缩或利用函数的单调性放缩.
      (2025·武汉模拟)已知数列{an}的首项为2,前n项和为Sn,且Sn+1+2=an+3n+Sn.(1)求数列{an}的通项公式;
      设数列{an}的前n项和为Sn,a1=1,2Sn=n2+n(n∈N*).(1)求数列{an}的通项公式;
      因为2Sn=n2+n,①当n≥2时,2Sn-1=(n-1)2+n-1,②所以①-②得到2an=n2+n-(n-1)2-(n-1)=2n,即an=n,又a1=1,满足an=n,所以an=n.
      此类题型关键是如何放缩数列的通项,需要熟悉常见的放缩技巧及结论.
      1.通项放缩确定新数列注意解相关不等式;2.先放缩再求和式及和式的应用,应注意考虑所得式子的性质.
      2.(2025·太原调研)已知数列{an}满足a1=1,a2n+1=a2n+1,a2n=2a2n-1.(1)求数列{an}的通项公式;
      将a2n=2a2n-1代入a2n+1=a2n+1中,得a2n+1=2a2n-1+1.下面构造等比数列:令a2n+1-k=2(a2n-1-k),得a2n+1=2a2n-1-k,则-k=1,则k=-1,∴a2n+1+1=2(a2n-1+1),故数列{a2n-1+1}是首项为2,公比为2的等比数列,∴a2n-1+1=2·2n-1,∴a2n-1=2n-1,
      a2n=2·a2n-1=2(2n-1)=2n+1-2,

      相关课件

      2026届高三数学二轮复习课件:板块二 数列 提优点5 数列中的放缩问题(含解析):

      这是一份2026届高三数学二轮复习课件:板块二 数列 提优点5 数列中的放缩问题(含解析),共32页。PPT课件主要包含了知识拓展,精准强化练,类型突破等内容,欢迎下载使用。

      2026届高三数学二轮复习课件:板块二 数列 提优点6 数列与其他知识的交汇问题(含解析):

      这是一份2026届高三数学二轮复习课件:板块二 数列 提优点6 数列与其他知识的交汇问题(含解析),共51页。PPT课件主要包含了知识拓展,精准强化练,类型突破,2求S3n等内容,欢迎下载使用。

      2026届高三数学二轮复习课件:板块二 数列 提优点4 衍生数列问题(含解析):

      这是一份2026届高三数学二轮复习课件:板块二 数列 提优点4 衍生数列问题(含解析),共38页。PPT课件主要包含了知识拓展,精准强化练,类型突破等内容,欢迎下载使用。

      资料下载及使用帮助
      版权申诉
      • 1.电子资料成功下载后不支持退换,如发现资料有内容错误问题请联系客服,如若属实,我们会补偿您的损失
      • 2.压缩包下载后请先用软件解压,再使用对应软件打开;软件版本较低时请及时更新
      • 3.资料下载成功后可在60天以内免费重复下载
      版权申诉
      若您为此资料的原创作者,认为该资料内容侵犯了您的知识产权,请扫码添加我们的相关工作人员,我们尽可能的保护您的合法权益。
      入驻教习网,可获得资源免费推广曝光,还可获得多重现金奖励,申请 精品资源制作, 工作室入驻。
      版权申诉二维码
      高考专区
      • 精品推荐
      • 所属专辑122份
      欢迎来到教习网
      • 900万优选资源,让备课更轻松
      • 600万优选试题,支持自由组卷
      • 高质量可编辑,日均更新2000+
      • 百万教师选择,专业更值得信赖
      微信扫码注册
      手机号注册
      手机号码

      手机号格式错误

      手机验证码 获取验证码 获取验证码

      手机验证码已经成功发送,5分钟内有效

      设置密码

      6-20个字符,数字、字母或符号

      注册即视为同意教习网「注册协议」「隐私条款」
      QQ注册
      手机号注册
      微信注册

      注册成功

      返回
      顶部
      学业水平 高考一轮 高考二轮 高考真题 精选专题 初中月考 教师福利
      添加客服微信 获取1对1服务
      微信扫描添加客服
      Baidu
      map