若您为此资料的原创作者,认为该资料内容侵犯了您的知识产权,请扫码添加我们的相关工作人员,我们尽可能的保护您的合法权益。

1/15

2/15

3/15
还剩12页未读, 继续阅读
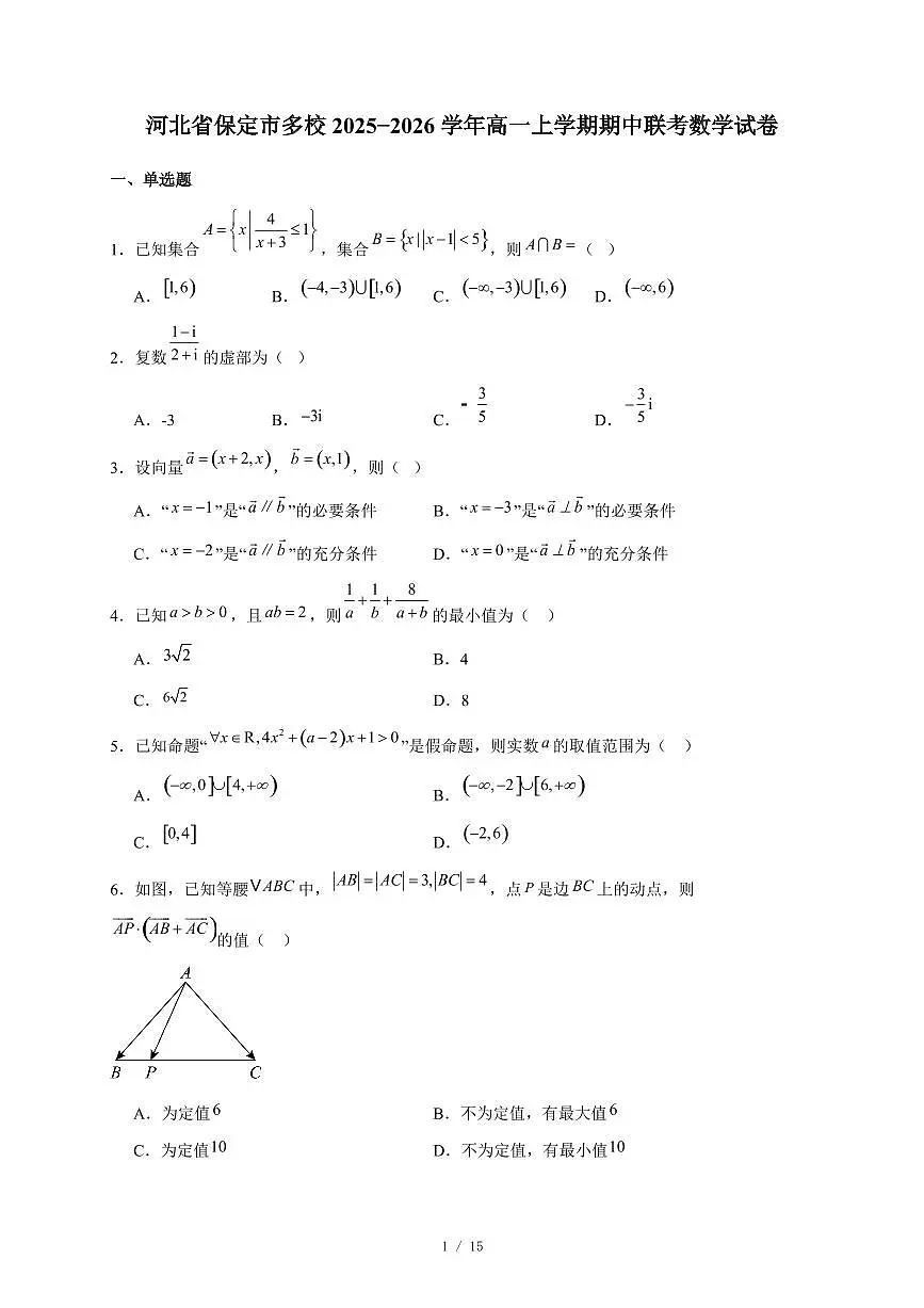
河北省保定市多校2025−2026学年高一上学期期中联考数学试卷(含答案)
展开 这是一份河北省保定市多校2025−2026学年高一上学期期中联考数学试卷(含答案),共15页。
相关试卷
河北省保定市多校2025−2026学年高一上学期期中联考数学试卷(含答案):
这是一份河北省保定市多校2025−2026学年高一上学期期中联考数学试卷(含答案),共15页。
河北省保定市多校2025_2026学年高一上学期期中联考数学试题 [含答案]:
这是一份河北省保定市多校2025_2026学年高一上学期期中联考数学试题 [含答案],共15页。试卷主要包含了单选题,多选题,填空题,解答题等内容,欢迎下载使用。
河北省保定市六校联盟2024-2025学年高一上学期期中考试数学试题(含答案):
这是一份河北省保定市六校联盟2024-2025学年高一上学期期中考试数学试题(含答案),共7页。
相关试卷 更多
资料下载及使用帮助
版权申诉
- 1.电子资料成功下载后不支持退换,如发现资料有内容错误问题请联系客服,如若属实,我们会补偿您的损失
- 2.压缩包下载后请先用软件解压,再使用对应软件打开;软件版本较低时请及时更新
- 3.资料下载成功后可在60天以内免费重复下载
版权申诉
免费领取教师福利 




.png)




