搜索
      上传资料 赚现金

      江苏省南通海门中学2025-2026学年高一上学期1月月考数学试卷含解析(word版+pdf版)

      • 2.03 MB
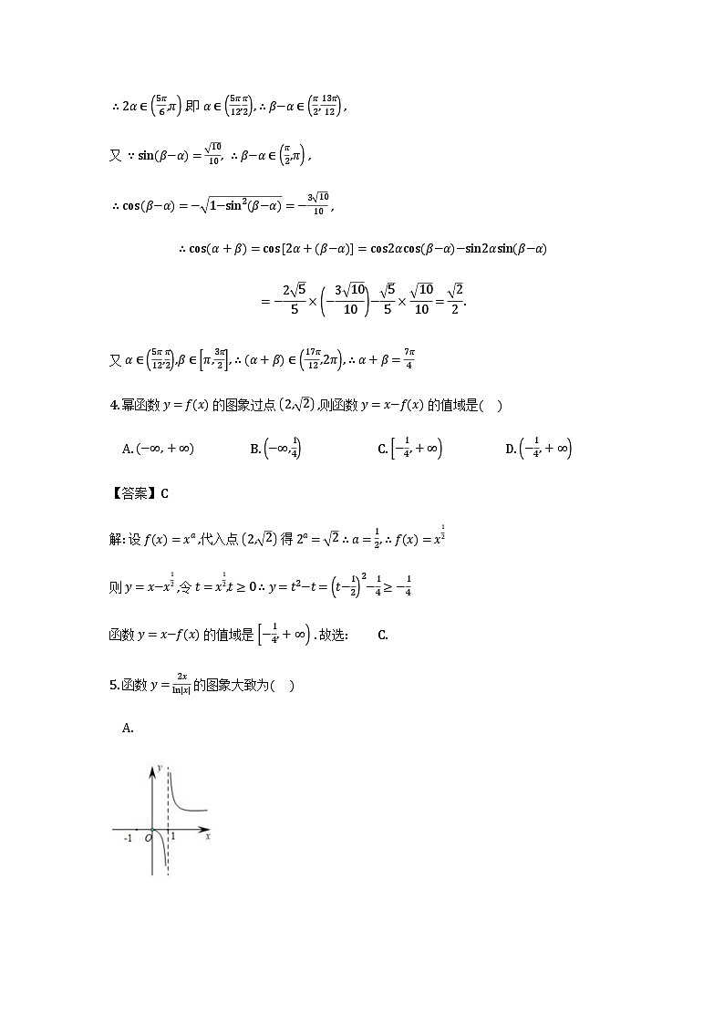
      • 2026-01-15 16:47:40
      • 42
      • 0
      • 溯舟
      加入资料篮
      立即下载
      查看完整配套(共3份)
      包含资料(3份) 收起列表
      解析
      江苏省南通市海门中学2025-2026学年高一上学期1月月考数学试卷解析版.docx
      预览
      原卷
      江苏省南通市海门中学2025-2026学年高一上学期1月月考数学试卷.pdf
      预览
      练习
      江苏省南通市海门中学2025-2026学年高一上学期1月月考数学试卷答案.pdf
      预览
      正在预览:江苏省南通市海门中学2025-2026学年高一上学期1月月考数学试卷解析版.docx
      江苏省南通市海门中学2025-2026学年高一上学期1月月考数学试卷解析版第1页
      高清全屏预览
      1/16
      江苏省南通市海门中学2025-2026学年高一上学期1月月考数学试卷解析版第2页
      高清全屏预览
      2/16
      江苏省南通市海门中学2025-2026学年高一上学期1月月考数学试卷解析版第3页
      高清全屏预览
      3/16
      江苏省南通市海门中学2025-2026学年高一上学期1月月考数学试卷第1页
      高清全屏预览
      1/4
      江苏省南通市海门中学2025-2026学年高一上学期1月月考数学试卷第2页
      高清全屏预览
      2/4
      江苏省南通市海门中学2025-2026学年高一上学期1月月考数学试卷答案第1页
      高清全屏预览
      1/14
      江苏省南通市海门中学2025-2026学年高一上学期1月月考数学试卷答案第2页
      高清全屏预览
      2/14
      江苏省南通市海门中学2025-2026学年高一上学期1月月考数学试卷答案第3页
      高清全屏预览
      3/14
      还剩13页未读, 继续阅读

      江苏省南通海门中学2025-2026学年高一上学期1月月考数学试卷含解析(word版+pdf版)

      展开

      这是一份江苏省南通海门中学2025-2026学年高一上学期1月月考数学试卷含解析(word版+pdf版),文件包含江苏省南通市海门中学2025-2026学年高一上学期1月月考数学试卷解析版docx、江苏省南通市海门中学2025-2026学年高一上学期1月月考数学试卷pdf、江苏省南通市海门中学2025-2026学年高一上学期1月月考数学试卷答案pdf等3份试卷配套教学资源,其中试卷共34页, 欢迎下载使用。
      1. 设全集为 U={1,2,3,4,5,6},A={1,4,6},CUB={1,3,4} ,则 B∩CUA= ( )
      A. {1,4} B. {2,5} C. {6} D. {1,3,4,6}
      【答案】B
      解: 因为全集 U={1,2,3,4,5,6},A={1,4,6},∁UB={1,3,4} ,
      所以 B={2,5,6},∁UA={2,3,5} ,所以 B∩∁UA={2,5} . 故选: B.
      2. 已知 tanπ−x=13 ,则 cs2x= ()
      A. 35 B. −35 C. 45 D. −45
      【答案】C
      解: 由 tanπ−x=−tanx=13 ,得 tanx=−13 ,
      cs2x=1−tan2x1+tan2x=45 ,解得 csx=−31010 . 故选: C
      3. 若 sin2α=55,sinβ−α=1010 ,且 α∈π4,π,β∈π,3π2 ,则 α+β 的值是( )
      A. 7π4 B. 9π4 C. 5π4 或 7π4 D. 5π4 或 9π4
      【答案】 A
      解: ∵α∈π4,π,β∈π,3π2,sin2α=55 ,
      ∴2α∈π2,π,cs2α=−255 ,又 0a>0 的定义域为 a,b ,值域为 2a−52,2b−52 ,则 a+b 等于( )
      A. 54 B. 52 C. 5 D. 6
      【答案】A
      解: ∵b>a>0,∴ab>0,∴ 则函数 fx=−abxa,b 为常数,且 b>a>0) 在 0,+∞ 单调递增, 又 ∵ 函数的定义域为 a,b,∴ 函数的值域为 fa,fb ,
      ∴fa=−ab−1=2a−52fb=−abb=2b−52⇒−ab=2a2−52a−ab=2b2−52b⇒b2−54b=a2−54a,
      ∴a+b=54 . 故选: A.
      7. 某学校生物兴趣小组同学自制生态瓶,根据水中的生物种类数 S 与生物个体总数 N 研究生态瓶水质,设立生物丰富度指数 d=S−1lnN 作为生态瓶水质评价指标. 生物丰富度指数 d 越大,水质越好. 若经过老师指导调整以后生态瓶生物种类数 S 没有变化,生物个体总数由 N1 变为 N2 ,生物丰富度指数由 3.1 提高到 4.65, 则( )
      A. 3N2=2N1 B. 2N2=3N1
      C. N22=N13 D. N23=N12
      【答案】D
      解: 由题意得 S−1lnN1=3.1 ①, S−1lnN2=4.65 ②,则 3.1lnN1=4.65lnN2 ,
      即 2lnN1=3lnN2 ,即 lnN12=lnN23 ,所以 N23=N12 ,故选: D
      8. 已知函数 fx=mx−12−sinx−m 在 0,π2 上只有一个零点,则正实数 m 的取值范围为 ( ).
      A. (0,1] B. (0,1]∪2π+2π2,+∞
      C. (0,1]∪4π+2π2,+∞ D. (0,1]∪4π+1π2,+∞
      【答案】D
      解: 分别作出函数 gx=mx−12=m2x−1m2 与函数 hx=sinx+m 的大致图象.
      分两种情形: 当 01 时, 1mβ ” 是 “ sinα>sinβ ” 的充要条件
      D. △ABC 三个内角 A,B,C 满足 csA+B2=sinC2
      【答案】AD
      解: 对于 A ,由函数的定义可知,当两个函数的定义域相同,对应关系相同,
      则值域一定相同,故 A 正确;
      对于 B ,命题” ∃x∈0,+∞,lnx=x−1 ”的否定是 “ ∀x∈0,+∞,lnx≠x−1 ”,故 B 错误; 对于 C ,若取 α=13π6,β=π3 ,满足 α,β 是第一象限角,且 α>β ,但 sinα0 ,下列正确的有( )
      A. 若 ω=2 ,则 fx 关于直线 l:x=512π 对称
      B. 若 ω=2 ,则 fx 关于点 Pπ6,0 中心对称
      C. 若 fx=1 在 0,π3 上有且仅有 4 个根,则 ω∈[10,13)
      D . 若 fx 在 0,π3 上单调,则 ω∈0,52
      【答案】ACD
      解: 对于 AB ,若 ω=2 ,则 fx=2sin2x−π3+1 ,
      令 2x−π3=π2+kπ,k∈Z 得 x=5π12+k2π,k∈Z ,所以 fx 关于直线 l:x=512π 对称,故 A 正确;
      令 2x−π3=kπ,k∈Z 得 x=π6+k2π,k∈Z ,所以 fx 关于 π6+k2π,1,k∈Z 中心对称,故 B 错误;
      对于 CD ,当 x∈0,π3 时, −π3≤ωx−π3≤π3ω−π3 ,
      若 fx=1 在 0,π3 上有且仅有 4 个根,所以 3π≤π3ω−π30} ,集合 B=x 3−2x2x+1>0 .
      (1)求 B ;
      (2)若 A=B ,求 p,q 的值;
      (3)若 f1=0 ,求 A .
      解: (1) 由 3−2x2x+1>0 得, 3−2x2x+1>0 ,
      解得 −12

      相关试卷

      江苏省南通海门中学2025-2026学年高一上学期1月月考数学试卷含解析(word版+pdf版):

      这是一份江苏省南通海门中学2025-2026学年高一上学期1月月考数学试卷含解析(word版+pdf版),文件包含江苏省南通市海门中学2025-2026学年高一上学期1月月考数学试卷解析版docx、江苏省南通市海门中学2025-2026学年高一上学期1月月考数学试卷pdf、江苏省南通市海门中学2025-2026学年高一上学期1月月考数学试卷答案pdf等3份试卷配套教学资源,其中试卷共34页, 欢迎下载使用。

      江苏省南通市海门中学2025-2026学年高一上学期1月月考数学试卷(含答案):

      这是一份江苏省南通市海门中学2025-2026学年高一上学期1月月考数学试卷(含答案),共18页。

      江苏省南通市海门中学2025-2026学年高一上学期1月月考数学试卷:

      这是一份江苏省南通市海门中学2025-2026学年高一上学期1月月考数学试卷,共4页。

      资料下载及使用帮助
      版权申诉
      • 1.电子资料成功下载后不支持退换,如发现资料有内容错误问题请联系客服,如若属实,我们会补偿您的损失
      • 2.压缩包下载后请先用软件解压,再使用对应软件打开;软件版本较低时请及时更新
      • 3.资料下载成功后可在60天以内免费重复下载
      版权申诉
      若您为此资料的原创作者,认为该资料内容侵犯了您的知识产权,请扫码添加我们的相关工作人员,我们尽可能的保护您的合法权益。
      入驻教习网,可获得资源免费推广曝光,还可获得多重现金奖励,申请 精品资源制作, 工作室入驻。
      版权申诉二维码
      欢迎来到教习网
      • 900万优选资源,让备课更轻松
      • 600万优选试题,支持自由组卷
      • 高质量可编辑,日均更新2000+
      • 百万教师选择,专业更值得信赖
      微信扫码注册
      手机号注册
      手机号码

      手机号格式错误

      手机验证码 获取验证码 获取验证码

      手机验证码已经成功发送,5分钟内有效

      设置密码

      6-20个字符,数字、字母或符号

      注册即视为同意教习网「注册协议」「隐私条款」
      QQ注册
      手机号注册
      微信注册

      注册成功

      返回
      顶部
      学业水平 高考一轮 高考二轮 高考真题 精选专题 初中月考 教师福利
      添加客服微信 获取1对1服务
      微信扫描添加客服
      Baidu
      map