搜索
      上传资料 赚现金

      江苏省南通市海门中学2025-2026学年高一上学期12月月考数学试卷含参考答案(word版+pdf版)

      • 1.25 MB
      • 2026-01-19 18:07:30
      • 11
      • 0
      • 溯舟
      加入资料篮
      立即下载
      查看完整配套(共4份)
      包含资料(4份) 收起列表
      答案
      江苏省南通市海门中学2025-2026学年高一上学期12月月考数学试卷(参考答案).docx
      预览
      答案
      江苏省南通市海门中学2025-2026学年高一上学期12月月考数学试卷(参考答案).pdf
      预览
      试卷
      江苏省南通市海门中学2025-2026学年高一上学期12月月考数学试卷.docx
      预览
      试卷
      江苏省南通市海门中学2025-2026学年高一上学期12月月考数学试卷.pdf
      预览
      正在预览:江苏省南通市海门中学2025-2026学年高一上学期12月月考数学试卷(参考答案).docx
      江苏省南通市海门中学2025-2026学年高一上学期12月月考数学试卷(参考答案)第1页
      高清全屏预览
      1/8
      江苏省南通市海门中学2025-2026学年高一上学期12月月考数学试卷(参考答案)第2页
      高清全屏预览
      2/8
      江苏省南通市海门中学2025-2026学年高一上学期12月月考数学试卷(参考答案)第3页
      高清全屏预览
      3/8
      江苏省南通市海门中学2025-2026学年高一上学期12月月考数学试卷(参考答案)第1页
      高清全屏预览
      1/8
      江苏省南通市海门中学2025-2026学年高一上学期12月月考数学试卷(参考答案)第2页
      高清全屏预览
      2/8
      江苏省南通市海门中学2025-2026学年高一上学期12月月考数学试卷(参考答案)第3页
      高清全屏预览
      3/8
      江苏省南通市海门中学2025-2026学年高一上学期12月月考数学试卷第1页
      高清全屏预览
      1/4
      江苏省南通市海门中学2025-2026学年高一上学期12月月考数学试卷第2页
      高清全屏预览
      2/4
      江苏省南通市海门中学2025-2026学年高一上学期12月月考数学试卷第1页
      高清全屏预览
      1/4
      江苏省南通市海门中学2025-2026学年高一上学期12月月考数学试卷第2页
      高清全屏预览
      2/4
      还剩5页未读, 继续阅读

      江苏省南通市海门中学2025-2026学年高一上学期12月月考数学试卷含参考答案(word版)

      展开

      这是一份江苏省南通市海门中学2025-2026学年高一上学期12月月考数学试卷含参考答案(word版),共23页。试卷主要包含了选择题,填空题,解答题等内容,欢迎下载使用。
      二、选择题:本题共 3 小题,每小题 6 分,共 18 分. 在每小题给出的选项中,有多项符合题目要求. 全部选对的得 6 分, 部分选对的得部分分, 有选错的得 0 分.
      三、填空题:本题共 3 小题,每小题 5 分,共 15 分。
      12. 3a+b 13. −25 14. -1
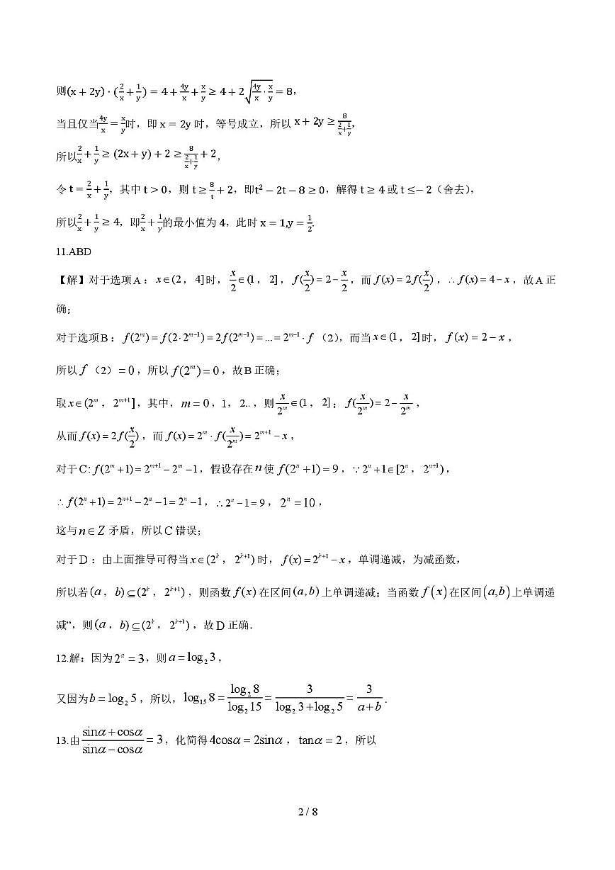
      6.【解】由题意可得 m2−2m0 ,可得 x+2y>0 ,所以 2x+1y>0 ,
      则 x+2y⋅2x+1y=4+4yx+xy≥4+24yx⋅xy=8 ,
      当且仅当 4yx=xy 时,即 x=2y 时,等号成立,所以 x+2y≥8x+y ,
      所以 2x+1y≥2x+y+2≥82x+1y+2 ,
      令 t=2x+1y ,其中 t>0 ,则 t≥8t+2 ,即 t2−2t−8≥0 ,解得 t≥4 或 t≤−2 (舍去),
      所以 2x+1y≥4 ,即 2x+1y 的最小值为 4,此时 x=1,y=12 .
      11.ABD
      【解】对于选项 A:x∈(2,4] 时, x2∈(1,2],fx2=2−x2 ,而 fx=2fx2,∴fx=4−x ,故 A 正确;
      对于选项 B:f2m=f2⋅2m−1=2f2m−1=…=2m−1⋅f2 ,而当 x∈(1,2] 时, fx=2−x ,
      所以 f2=0 ,所以 f2m=0 ,故 B 正确;
      取 x∈2m,2m+1 ,其中, m=0,1,2… ,则 x2m∈(1,2];fx2m=2−x2m ,
      从而 fx=2fx2 ,而 fx=2m⋅fx2m=2m+1−x ,
      对于 C:f2m+1=2m+1−2m−1 ,假设存在 n 使 f2n+1=9,∵2n+1∈2n,2n+1 ,
      ∴f2n+1=2n+1−2n−1=2n−1,∴2n−1=9,2n=10 ,
      这与 n∈Z 矛盾,所以 C 错误;
      对于 D : 由上面推导可得当 x∈2k,2k+1 时, fx=2k+1−x ,单调递减,为减函数,
      所以若 a,b⊆2k,2k+1 ,则函数 fx 在区间 a,b 上单调递减; 当函数 fx 在区间 a,b 上单调递减”,则 a,b⊆2k,2k+1 ,故 D 正确.
      12. 解: 因为 2a=3 ,则 a=lg23 ,
      又因为 b=lg25 ,所以, lg158=lg28lg215=3lg23+lg25=3a+b .
      13. 由 sinα+csαsinα−csα=3 ,化简得 4csα=2sinα,tanα=2 ,所以 sin2α−3sinαcsα=sin2α−3sinαcsαsin2α+cs2α=tan2α−3tanαtan2α+1=22−3×222+1=−25 .
      14. 当 x≥0,−10−32+154=2m−32×154=4−n ,
      解得 m=98,n=778 ,满足 4m2−16≤0 ,即 t2−2mt+4≥0 恒成立,
      所以当 m=98,n=778 时,不等式 0≤hx≤n 的解集为 −1,2 . -15 分
      18.(17分)
      (1) sinα=35,α∈0,π2 ,则 csα=1−sin2α=45 , -2 分
      由三角函数的定义可得 Pcsα,sinα=45,35 ,
      又 S△OQM=2S△OPM ,即 12OMQM=2×12OMPM ,得 QM=2PM ,
      所以 Q45,65 ,即 QM=65 , -4 分
      所以 OQ=OM2+QM2=925+3625=355 ,
      所以 sinβ=65355=255,csβ=45355=4515 , -6 分
      sin−β+csπ−βcsπ2−β+sin3π2+β=−sinβ−csβsinβ−csβ=−255−4515255−4515=−5 -8 分
      fα=1−2m−2msinα−2cs2α=1−2m−2msinα−21−sin2α ,
      设 t=sinα,α∈π6,π3 ,则 t∈12,32 ,
      所以原函数化为 y=2t2−2mt−2m−1 ,对称轴为 t=m2 ,
      当 m2≤12⇒m≤1 时, gm=2×122−m−2m−1=−3m−12 ;
      当 12

      相关试卷 更多

      资料下载及使用帮助
      版权申诉
      • 1.电子资料成功下载后不支持退换,如发现资料有内容错误问题请联系客服,如若属实,我们会补偿您的损失
      • 2.压缩包下载后请先用软件解压,再使用对应软件打开;软件版本较低时请及时更新
      • 3.资料下载成功后可在60天以内免费重复下载
      版权申诉
      若您为此资料的原创作者,认为该资料内容侵犯了您的知识产权,请扫码添加我们的相关工作人员,我们尽可能的保护您的合法权益。
      入驻教习网,可获得资源免费推广曝光,还可获得多重现金奖励,申请 精品资源制作, 工作室入驻。
      版权申诉二维码
      欢迎来到教习网
      • 900万优选资源,让备课更轻松
      • 600万优选试题,支持自由组卷
      • 高质量可编辑,日均更新2000+
      • 百万教师选择,专业更值得信赖
      微信扫码注册
      手机号注册
      手机号码

      手机号格式错误

      手机验证码 获取验证码 获取验证码

      手机验证码已经成功发送,5分钟内有效

      设置密码

      6-20个字符,数字、字母或符号

      注册即视为同意教习网「注册协议」「隐私条款」
      QQ注册
      手机号注册
      微信注册

      注册成功

      返回
      顶部
      学业水平 高考一轮 高考二轮 高考真题 精选专题 初中月考 教师福利
      添加客服微信 获取1对1服务
      微信扫描添加客服
      Baidu
      map