若您为此资料的原创作者,认为该资料内容侵犯了您的知识产权,请扫码添加我们的相关工作人员,我们尽可能的保护您的合法权益。

1/6

2/6

3/6

1/4

2/4
还剩3页未读, 继续阅读
所属成套资源:成都市第七中学2025-2026学年高三上学期高考一诊模拟考试试题
成套系列资料,整套一键下载
成都市第七中学2025-2026学年高三上学期高考一诊模拟考试数学试题(含答案)
展开 这是一份成都市第七中学2025-2026学年高三上学期高考一诊模拟考试数学试题(含答案),文件包含2026届成都七中一诊模拟考试数学答案pdf、2026届成都七中一诊模拟考试数学试题pdf等2份试卷配套教学资源,其中试卷共10页, 欢迎下载使用。
相关试卷
成都市第七中学2025-2026学年高三上学期高考一诊模拟考试数学试题(含答案):
这是一份成都市第七中学2025-2026学年高三上学期高考一诊模拟考试数学试题(含答案),文件包含2026届成都七中一诊模拟考试数学答案pdf、2026届成都七中一诊模拟考试数学试题pdf等2份试卷配套教学资源,其中试卷共10页, 欢迎下载使用。
2024届四川省成都市第七中学高三上学期一诊模拟考试数学(文)试题(含答案):
这是一份2024届四川省成都市第七中学高三上学期一诊模拟考试数学(文)试题(含答案),文件包含精品解析四川省成都市第七中学2024届高三一模数学文试题原卷版docx、精品解析四川省成都市第七中学2024届高三一模数学文试题解析版docx等2份试卷配套教学资源,其中试卷共27页, 欢迎下载使用。
四川省成都市第七中学2023-2024学年高三上学期一诊模拟理科数学试卷(含答案):
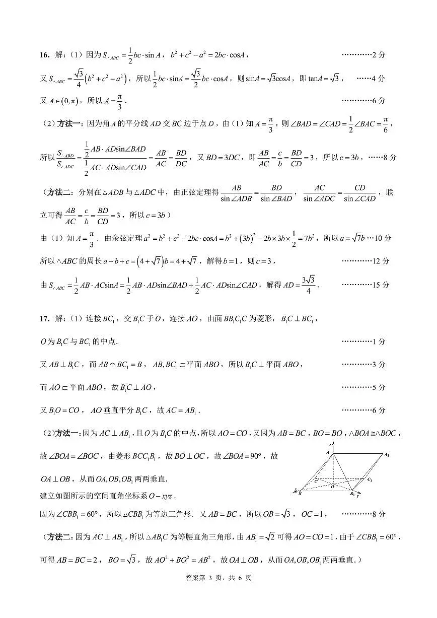
这是一份四川省成都市第七中学2023-2024学年高三上学期一诊模拟理科数学试卷(含答案),共17页。试卷主要包含了填空题,解答题等内容,欢迎下载使用。
相关试卷 更多
资料下载及使用帮助
版权申诉
- 1.电子资料成功下载后不支持退换,如发现资料有内容错误问题请联系客服,如若属实,我们会补偿您的损失
- 2.压缩包下载后请先用软件解压,再使用对应软件打开;软件版本较低时请及时更新
- 3.资料下载成功后可在60天以内免费重复下载
版权申诉
免费领取教师福利 





.png)




