搜索
      上传资料 赚现金

      浙江省杭州市浙大附中2025-2026学年高一上学期11月期中考试数学试题(Word版附解析)

      • 1.09 MB
      • 2025-12-02 19:12:14
      • 22
      • 0
      • 教习网3275309
      加入资料篮
      立即下载
      查看完整配套(共2份)
      包含资料(2份) 收起列表
      解析
      浙江省杭州市浙大附中2025-2026学年高一上学期11月期中考试数学试题 Word版含解析.docx
      预览
      原卷
      浙江省杭州市浙大附中2025-2026学年高一上学期11月期中考试数学试题 Word版无答案.docx
      预览
      正在预览:浙江省杭州市浙大附中2025-2026学年高一上学期11月期中考试数学试题 Word版含解析.docx
      浙江省杭州市浙大附中2025-2026学年高一上学期11月期中考试数学试题 Word版含解析第1页
      1/15
      浙江省杭州市浙大附中2025-2026学年高一上学期11月期中考试数学试题 Word版含解析第2页
      2/15
      浙江省杭州市浙大附中2025-2026学年高一上学期11月期中考试数学试题 Word版含解析第3页
      3/15
      浙江省杭州市浙大附中2025-2026学年高一上学期11月期中考试数学试题 Word版无答案第1页
      1/4
      浙江省杭州市浙大附中2025-2026学年高一上学期11月期中考试数学试题 Word版无答案第2页
      2/4
      还剩12页未读, 继续阅读

      浙江省杭州市浙大附中2025-2026学年高一上学期11月期中考试数学试题(Word版附解析)

      展开

      这是一份浙江省杭州市浙大附中2025-2026学年高一上学期11月期中考试数学试题(Word版附解析),文件包含浙江省杭州市浙大附中2025-2026学年高一上学期11月期中考试数学试题Word版含解析docx、浙江省杭州市浙大附中2025-2026学年高一上学期11月期中考试数学试题Word版无答案docx等2份试卷配套教学资源,其中试卷共19页, 欢迎下载使用。
      一、单选题:本大题共 8 小题,共 40 分.
      1. 已知全集 ,集合 ,则 ( )
      A B. C. D.
      【答案】B
      【解析】
      【分析】根据补集和交集的概念求解.
      【详解】因为 ,所以 ,
      所以 ,
      故选:B.
      2. 已知 ,则“ ”是“ ”的
      A. 充分不必要条件 B. 必要不充分条件
      C. 充要条件 D. 既不充分也不必要条件
      【答案】A
      【解析】
      【详解】由 ,
      而 推不出 ,
      “ ”是“ 充分不必要条件
      3. 下列各组函数表示相同函数的是( )
      A. B.
      C. D.
      【答案】D
      【解析】
      【分析】根据相同函数的定义一一判定即可.
      第 1页/共 15页
      【详解】对于 A 项,两函数的对应关系不同,故 A 错误;
      对于 B 项, ,两函数定义域不一样,故 B 错误;
      对于 C 项, 的定义域为 , 的定义域为 ,
      两函数定义域不一样,故 C 错误;
      对于 D 项, ,与 ,
      两函数定义域一样,对应关系一样,故 D 正确.
      故选:D.
      4. 若角 的始边与 轴的非负半轴重合,终边经过点 ,则 ( )
      A. B. C. D.
      【答案】C
      【解析】
      【分析】由条件利用任意角的三角函数的定义,求出 的值,可得 的值.
      【详解】因为角 的终边经过点 , , , ,
      所以 ,
      则 .
      故选:C.
      5. 若函数 在 上单调递减,则实数 的取值范围是( )
      A. B. C. D.
      【答案】C
      【解析】
      【分析】根据一次函数以及二次函数的性质,结合端点处的函数值,由已知列出不等式组,求解即可得出
      答案.
      第 2页/共 15页
      【详解】因为 在 上单调递减,
      根据一次函数以及二次函数的性质,结合端点处的函数值,
      可得 ,
      解得 .
      故选:C.
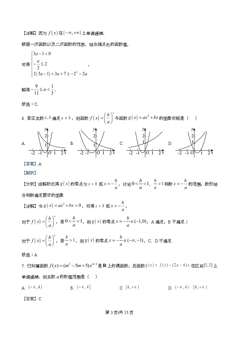
      6. 若正实数 满足 ,则函数 与函数 的图象可能是( )
      A. B. C. D.
      【答案】A
      【解析】
      【分析】由解析式得 的零点为 或 ,讨论 、 判断 的范围,数形结
      合判断满足要求的图象.
      【详解】令 ,可得 或 ,
      对于 ,若 ,则 的零点 ,A 满足,B 不满足;
      对于 ,若 ,则 的零点 ,C、D 不满足.
      故选:A
      7. 已知幂函数 是 上的偶函数,且函数 在区间 上
      单调递减,则实数 a 的取值范围是( )
      A. B. C. D.
      【答案】C
      第 3页/共 15页
      【解析】
      【分析】由幂函数的定义和奇偶性确定 的值,求得 ,利用二次函数的单调性即可确
      定参数 a 的取值范围.
      【详解】因幂函数 是 上的偶函数,
      则 ,解得 或 ,
      当 时, ,该函数是定义域为 的奇函数,不合题意;
      当 时, ,该函数是定义域为 的偶函数,符合题意.
      故 ,则 ,其对称轴方程为 ,
      因为 在区间 上单调递减,则 ,解得 .
      故选:C.
      8. 若函数 在定义域 上的值域为 ,则称 为“ 函数”.已知函数
      是“ 函数”,则实数 的取值范围是( )
      A B.
      C. D.
      【答案】C
      【解析】
      【详解】根据“ 函数”的定义确定 的值域为 ,结合每段上的函数的取值范围列出相应不等式,
      即可求得答案.
      【分析】由题意可知 的定义域为 ,又因为函数 是“ 函数”,
      故其值域为 ,而 ,则值域为 ;
      当 时, ,
      当 时, ,对称轴 且开口向上,
      则 在 上单调递增,则 ,
      第 4页/共 15页
      故由函数 是“ 函数”可得 ,
      解得 ,即实数 的取值范围是 ,
      故选:C.
      二、多选题:本大题共 3 小题,共 18 分.
      9. 下列函数在区间 上单调递增的是( )
      A. B. C. D.
      【答案】AB
      【解析】
      【分析】求函数的单调区间,首先要确定函数的定义域,若存在定义域之外的元素,则不符合条件;对其
      他选项可根据特殊函数的单调性得出.
      【详解】由“对勾”函数的单调性可知,函数 在 单调递增,A 正确;
      由 在 单调递增, 在 单调递减,知 在 单调递增,B 正确;
      函数 在 处无定义,因此不可能在 单调递增,C 错误;
      函数 的定义域为 ,因此在 上没有定义,故不可能在 单调递
      增,D 错误.
      故选:AB.
      10. 下列说法正确的有( )
      A. 若 ,则 的最大值是
      B. 若 , , 都是正数,且 ,则 的最小值是 3
      C. 若 , , ,则 的最小值是 2
      D. 若实数 , 满足 ,则 的最大值是
      【答案】ABD
      【解析】
      【分析】对于 A,凑分母,结合基本不等式,可得答案;对于 B,根据基本不等式,结合“1”的妙用,可
      第 5页/共 15页
      得答案;对于 C,根据基本不等式的变式,整理出关于所求整式的二次不等式,可得答案;对于 D,采用换
      元法,设 , ,可将原式化简为 ,结合基本不等式,可得答案.
      【详解】对于 A,因为 ,所以 ,所以 ,
      所以 ,
      当且仅当 ,即 时等号成立,所以 的最大值为 ,故 A 正确;
      对于 B,因为 x,y,z 都是正数,且 ,所以 , , ,
      所以

      当且仅当 ,即 ,即 时等号成立,所以 的最小值为
      3,故 B 正确;
      对于 C,因为 , ,所 ,即 (当且仅当 时等号成立),
      因为 ,所以 ,所以 ,
      所以 ,解得 (舍去)或 ,当且仅当 时等
      号成立,
      所以 的最小值为 4,故 C 错误;
      对于 D, ,设 , ,
      第 6页/共 15页
      ∵ ,当且仅当 ,即 时,取等号

      则 的最大值为 ,故 D 正确.
      故选:ABD.
      11. 定义区间 的长度为 ,记函数 (其中 )的定义域 的长
      度为 ,则下列说法正确的有( )
      A.
      B. 的最大值为
      C. 在 上单调递增
      D. 给定常数 ,当 时, 的最小值为
      【答案】ABD
      【解析】
      【分析】求函数 的定义域,得 判断选项 A;利用单调性定义证明单调性判断选项 C,由单调性
      求判断函数的最值判断 BD 选项.
      【详解】由 ,得 , , ,A 选项正确;
      设 ,则 ,
      , , , , 在 上是增函数,
      同理可证, 在 上 减函数,
      所以 在 上是增函数,在 上是减函数,C 选项错误;
      为最大值,B 选项正确;
      , , , 在 上是增函数,在 上是减函数,
      第 7页/共 15页
      的最小值为 和 中较小者,

      的最小值为 ,D 选项正确.
      故选: .
      三、填空题:本大题共 3 小题,共 15 分.
      12. 与角 终边相同的最小正角是________.(用弧度表示)
      【答案】
      【解析】
      【分析】根据终边相同的角的概念计算即可.
      【详解】与角 终边相同的最小正角是 ,即 ,
      故答案为:
      13. 已知 ,则 ______.
      【答案】
      【解析】
      【分析】先应用对数运算律对 化简,再求解.
      【详解】依题意, ,
      ,所以 .
      故答案为: .
      14. 设 为两两不同的实数,若 ,则 ___________.
      【答案】
      【解析】
      【分析】本题考查了分式方程的求解以及对等式性质的运用,解题的关键思路是通过对已知等式进行变形,
      第 8页/共 15页
      构造出关于 k 的方程,进而求解 k 的值.
      【详解】因为 ,所以 ①
      同理可得 ②, ③;
      由①得到 ④
      由②得到 ⑤
      由④、⑤得到 ,即 ;同理得
      所以 ,化简得到
      因为 为两两不同的实数,所以 ,所以 ,得到 ;
      故答案为:
      四、解答题:本大题共 5 小题,共 77 分.
      15. 设集合 ,集合 .
      (1)若 ,求实数 的取值范围;
      (2)若 且“ ”是“ ”的必要不充分条件,求实数 的取值范围.
      【答案】(1)
      (2)
      【解析】
      【分析】(1)根据空集的定义求解;
      (2)根据 、 求解.
      【小问 1 详解】
      因 ,则 ,即 ,
      故实数 的取值范围为 ;
      【小问 2 详解】
      第 9页/共 15页
      由题意得, 且 ,则 ,得 ,
      故实数 的取值范围 .
      16. 杭州塘栖,位于京杭大运河畔,是闻名遐迩的“枇杷之乡”.这里出产的白沙枇杷,具有“塘栖枇杷甲
      天下”的美脊.白沙枇杷树单株的产量 (单位:千克)与施用肥料 (单位:千克)满足如下关系:
      ,白沙枇杷树单株肥料成本投入为 20x 元及其它成本投入(如培育管理、施
      肥等人工费) 元.已知白沙枇杷的市场售价大约为 30 元/千克,且销路畅通供不应求.记白沙枇杷树单株
      利润为 (单位:元).
      (1)求 的函数关系式;
      (2)当施用肥料为多少千克时,该水果树的单株利润最大?最大利润是多少?
      【答案】(1)
      (2)当施用肥料为 4 千克时,种植该水果单株利润最大,最大利润为 960 元.
      【解析】
      【分析】(1)利用销售额减去成本投入可得出利润解析式;
      (2)利用分段函数的单调性及基本不等式计算最值即可.
      【小问 1 详解】
      当 时, ,所以 ,
      当 时, ,所以 ,
      所以 .
      【小问 2 详解】
      由(1),当 时, ,对称轴为 ,在 单调递增,

      第 10页/共 15页
      当 时,

      当且仅当 ,即 时,等号成立,又
      所以当施用肥料为 4 千克时,种植该水果树获得单株利润最大,最大利润是 960 元.
      17. 已知函数 是奇函数.
      (1)求 的值;
      (2)设 ,若 对任意 恒成立,求实数 的取值范围.
      【答案】(1) ;(2) .
      【解析】
      【分析】
      (1)由 求出 ,再检验函数为奇函数即可得;
      (2)求出 时 的最小值,然后解不等式 ,同时使得对数有意义.
      【详解】(1)由于 为奇函数,且定义域为 ,∴ ,即 , .
      检验:当 时, ,
      ,∴ 为奇函数.
      (2)∵ ,∴ ,
      又∵ 在区间 上是增函数,
      ∴当 时, ,
      由题意得 ,∴ .
      第 11页/共 15页
      【点睛】方法点睛:本题考查由奇偶性求参数,考查不等式恒成立.由奇函数求参数的方法:
      (1)若 时有意义,则由 求得参数,然后代入进行检验函数确实是奇函数,检验的原因是
      是 为奇函数的既不充分也不必要的条件.
      (2)根据奇函数的定义求解.
      18. 已知定义在 上的函数 在区间 上单调递减,且 ,
      .
      (1)证明: ;
      (2)判断函数 的奇偶性,并给予证明;
      (3)当 时,求不等式 .
      【答案】(1)证明见解析;
      (2)函数 为偶函数,证明见解析;
      (3)
      【解析】
      【分析】(1)令 , 得 ,结合已知得 ,即可证;
      (2)取 ,观察等式 与奇偶性 自变量互为相反数,即可证;
      (3)用赋值法,将 转化为 ,从而把不等式转化为关于 的一元二次不等式,利用
      的单调性和奇偶性可可解不等式.
      【小问 1 详解】
      令 , ,则 ,即 ,
      因为 ,所以 ;
      【小问 2 详解】
      函数 为偶函数,证明如下:
      由(1)知, ,令 ,则 ,
      第 12页/共 15页
      所以 ,所以 ,
      所以函数 为偶函数;
      【小问 3 详解】
      令 ,则 ,
      所以 ,所以 .
      因为 ,所以 ,
      所以 ,即 ,即 ,
      又 , ,所以 .
      当 时, 在区间 上单调递减,
      由(2)知函数 为偶函数,所以 在 上单调递增,
      所以 ,所以 ,解得 .
      所以当 时,不等式 的解集为 .
      19. 已知函数 定义域为 ,若存在 , ,实数 大于 0,对 ,有
      成立,则称 为定义在 上的 函数.
      (1)已知 为定义在 上的 函数,求最大的区间 ;
      (2)已知 为定义在 上的 函数,求实数 的取值范围;
      (3)已知 为定义在 上的 函数,求 的最小值及此时 , 的值.
      【答案】(1)
      (2)
      (3)
      【解析】
      【分析】(1)结合题意,令 求解 的范围即可.
      (2)结合题意令 转化成二次函数在定区间上的恒成立问题求解.
      第 13页/共 15页
      (3)结合题意,将题目转化成恒成立的问题求解即可.
      【小问 1 详解】
      即 解得:
      故最大的区间 为:
      【小问 2 详解】
      恒成立,即 且
      即 且 令 则 且
      则 且

      【小问 3 详解】
      因为 为定义在 上的 函数,
      所以对 恒成立,
      分别取 ,

      则 .
      所以 .
      , ,
      当 时, ,
      第 14页/共 15页
      解得: .
      故答案为: .
      【点睛】新结构题目读懂题目的含义结合所学知识求解是关键.
      第 15页/共 15页

      相关试卷

      浙江省杭州市浙大附中2025-2026学年高一上学期11月期中考试数学试题(Word版附解析):

      这是一份浙江省杭州市浙大附中2025-2026学年高一上学期11月期中考试数学试题(Word版附解析),文件包含浙江省杭州市浙大附中2025-2026学年高一上学期11月期中考试数学试题Word版含解析docx、浙江省杭州市浙大附中2025-2026学年高一上学期11月期中考试数学试题Word版无答案docx等2份试卷配套教学资源,其中试卷共19页, 欢迎下载使用。

      浙江省杭州市浙江大学附属中学2025-2026学年高一上学期11月期中考试数学试题:

      这是一份浙江省杭州市浙江大学附属中学2025-2026学年高一上学期11月期中考试数学试题,共4页。

      浙江省杭州地区(含周边)重点中学2024-2025学年高一上学期11月期中考试数学试题(Word版附解析):

      这是一份浙江省杭州地区(含周边)重点中学2024-2025学年高一上学期11月期中考试数学试题(Word版附解析),文件包含浙江省杭州地区含周边重点中学2024-2025学年高一上学期11月期中考试数学试题Word版含解析docx、浙江省杭州地区含周边重点中学2024-2025学年高一上学期11月期中考试数学试题Word版无答案docx等2份试卷配套教学资源,其中试卷共20页, 欢迎下载使用。

      资料下载及使用帮助
      版权申诉
      • 1.电子资料成功下载后不支持退换,如发现资料有内容错误问题请联系客服,如若属实,我们会补偿您的损失
      • 2.压缩包下载后请先用软件解压,再使用对应软件打开;软件版本较低时请及时更新
      • 3.资料下载成功后可在60天以内免费重复下载
      版权申诉
      若您为此资料的原创作者,认为该资料内容侵犯了您的知识产权,请扫码添加我们的相关工作人员,我们尽可能的保护您的合法权益。
      入驻教习网,可获得资源免费推广曝光,还可获得多重现金奖励,申请 精品资源制作, 工作室入驻。
      版权申诉二维码
      欢迎来到教习网
      • 900万优选资源,让备课更轻松
      • 600万优选试题,支持自由组卷
      • 高质量可编辑,日均更新2000+
      • 百万教师选择,专业更值得信赖
      微信扫码注册
      手机号注册
      手机号码

      手机号格式错误

      手机验证码 获取验证码 获取验证码

      手机验证码已经成功发送,5分钟内有效

      设置密码

      6-20个字符,数字、字母或符号

      注册即视为同意教习网「注册协议」「隐私条款」
      QQ注册
      手机号注册
      微信注册

      注册成功

      返回
      顶部
      学业水平 高考一轮 高考二轮 高考真题 精选专题 初中月考 教师福利
      添加客服微信 获取1对1服务
      微信扫描添加客服
      Baidu
      map