若您为此资料的原创作者,认为该资料内容侵犯了您的知识产权,请扫码添加我们的相关工作人员,我们尽可能的保护您的合法权益。
还剩2页未读,
继续阅读
所属成套资源:河南省实验中学2025-2026学年高一上学期第一次月考各学科试卷及答案
成套系列资料,整套一键下载
河南省实验中学2025-2026学年高一上学期第一次月考数学试卷(PDF版附答案)
展开
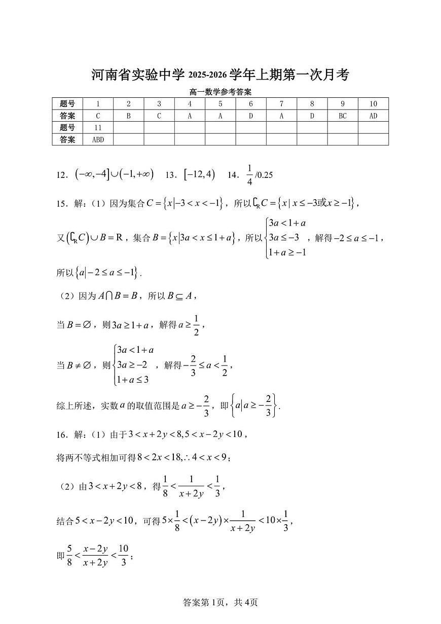
这是一份河南省实验中学2025-2026学年高一上学期第一次月考数学试卷(PDF版附答案),文件包含河南省实验中学2025-2026学年高一上学期第一次月考+数学pdf、河南省实验中学2025-2026学年高一上学期第一次月考+数学答案pdf等2份试卷配套教学资源,其中试卷共8页, 欢迎下载使用。
相关试卷
数学-河南省实验中学2025-2026学年高一上学期第一次月考试题及答案:
这是一份数学-河南省实验中学2025-2026学年高一上学期第一次月考试题及答案,共8页。
河南省实验中学2025-2026学年高一上学期10月月考数学试卷:
这是一份河南省实验中学2025-2026学年高一上学期10月月考数学试卷,共8页。
山东省实验中学2025-2026学年高三上学期10月第一次诊断考试数学试卷(PDF版附答案):
这是一份山东省实验中学2025-2026学年高三上学期10月第一次诊断考试数学试卷(PDF版附答案),文件包含数学试题pdf、数学答案pdf等2份试卷配套教学资源,其中试卷共16页, 欢迎下载使用。
相关试卷 更多
资料下载及使用帮助
版权申诉
- 1.电子资料成功下载后不支持退换,如发现资料有内容错误问题请联系客服,如若属实,我们会补偿您的损失
- 2.压缩包下载后请先用软件解压,再使用对应软件打开;软件版本较低时请及时更新
- 3.资料下载成功后可在60天以内免费重复下载
版权申诉
免费领取教师福利

