所属成套资源:安徽省A10联盟2026届高三上学期9月学情诊断各学科试题(PDF版附解析)
安徽省A10联盟2026届高三上学期9月学情诊断数学试题(PDF版附解析)
展开
这是一份安徽省A10联盟2026届高三上学期9月学情诊断数学试题(PDF版附解析),文件包含数学1号卷·A10联盟2026届高三上学期9月学情诊断数学答案pdf、8开1号卷·A10联盟2026届高三上学期9月学情诊断数学pdf等2份试卷配套教学资源,其中试卷共8页, 欢迎下载使用。
相关试卷
这是一份安徽省A10联盟2025-2026学年高二上学期10月学情诊断数学(北师大版)试题(PDF版附解析),文件包含1号卷·A10联盟2024级高二上学期10月学情诊断+数学北师大版答案pdf、1号卷·A10联盟2024级高二上学期10月学情诊断+数学北师大版pdf等2份试卷配套教学资源,其中试卷共7页, 欢迎下载使用。
这是一份安徽省A10联盟2025-2026学年高二上学期10月学情诊断数学A(人教A版)试题(PDF版附解析),文件包含A卷1号卷·A10联盟2024级高二上学期10月学情诊断+数学人教A版答案Apdf、A卷1号卷·A10联盟2024级高二上学期10月学情诊断+数学人教A版Apdf等2份试卷配套教学资源,其中试卷共8页, 欢迎下载使用。
这是一份安徽省A10联盟2025-2026学年高二上学期10月学情诊断数学B(人教A版)试题(PDF版附解析),文件包含B卷1号卷·A10联盟2024级高二上学期10月学情诊断+数学人教A版答案bpdf、B卷1号卷·A10联盟2024级高二上学期10月学情诊断+数学人教A版bpdf等2份试卷配套教学资源,其中试卷共8页, 欢迎下载使用。
相关试卷 更多
- 1.电子资料成功下载后不支持退换,如发现资料有内容错误问题请联系客服,如若属实,我们会补偿您的损失
- 2.压缩包下载后请先用软件解压,再使用对应软件打开;软件版本较低时请及时更新
- 3.资料下载成功后可在60天以内免费重复下载
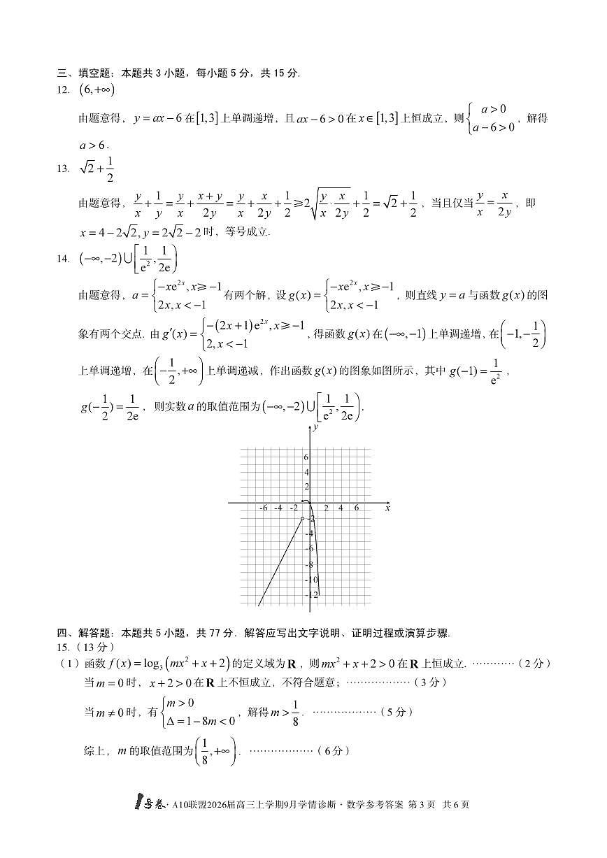
免费领取教师福利

