初中华东师大版(2024)2. 幂的乘方背景图课件ppt
展开
这是一份初中华东师大版(2024)2. 幂的乘方背景图课件ppt,共15页。
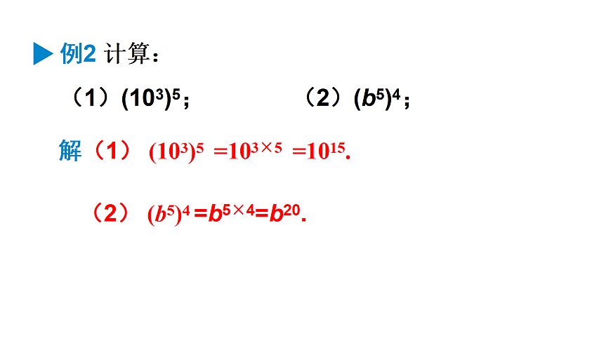
华东师大版 八年级数学上册11.1 幂的运算11.1.2 幂的乘方同底数幂乘法法则:文字描述:同底数幂相乘,底数不变,指数相加. 大家知道太阳、木星和月亮的体积的大致比例吗?我可以告诉你,木星的半径是地球半径的10倍,太阳的半径是地球半径的102倍,假如地球的半径为r,那么,请同学们计算一下太阳和木星的体积是多少?(球的体积公式为V= πr3)解:设地球的半径为r,则木星的半径就是10r.试一试:根据乘方的意义及同底数幂的乘法法则填空:(1)(23)2=23×23=2( );(2)(52)3=52×52×52=5( );(3)(a3)4=a3·a3·a3·a3=a( ).6612观察计算结果,你能发现什么规律?你能直接写出(am)n的计算结果吗?你能将上面发现的问题规律推导出来吗?(am)n= amn可得即:幂的乘方,底数不变,指数相乘.例2 计算:(1)(103)5;(2)(b5)4;解(1) (103)5(2) (b5)4 =b5×4=b20.=103×5=1015.拓展延伸思考:[(am)n]p(m、n、p都是正整数)如何运算?[(am)n]p=amnp(m、n、p都是正整数)幂的乘方法则可以逆用,即amn=(am)n (m、n都为正整数).1.判断下列计算是否正确,并说明理由:(1)(a3)5=a8(2)a3·a5=a15(3)(a2)3 ·a4=a9×(a3)5=a3×5=a15×a3·a5=a3+5=a8×(a2)3 ·a4=a2×3·a4=a6·a4=a6+4=a102.计算:(1)(22)2(2)(y2)5(3)(x4)3(4)(y3)2·(y2)3=(22)2= 22×2=24=(y2)5=y2×5=y10=(x4)3=x4×3=x12=y3×2·y2×3=y6·y6=y6+6=y12思考:同底数幂相乘与幂的乘方有什么区别?跟踪训练1.判断(正确的打“√”,错误的打“×”)(1) a5+a5=2a10 (2) (x2)3=x5 (3) (-3)2×(-3)4=(-3)6=-36 (4) a6·a4=a24 (5) [(m-n)3]4-[(m-n)2]6=0(6) (y3)3=y9××××√√2.计算:(1)−(a4)2⋅(a2)3;(2)−2(a3)4+a4⋅(a4)2;(3)(−a2)3⋅a3+(−a)2⋅a7−5(a3)3.解:原式=−a8⋅a6=−a8+6=−a14.解:原式=−2a12+a4⋅a8=−2a12+a12=−a12.解:原式=(−a6)⋅a3+a2⋅a7−5a9=−a9+a9−5a9=−5a9 .(4)2(a2)4−a(a2)2⋅a3−(−a)3⋅(−a2)2⋅(−a) .解:原式=2a8−a⋅a4⋅a3−(−a3)⋅a4⋅(−a)=2a8−a8−a8=0 .3.已知xa=2,xb=3.求:(1)xa+b;(2)x2a+3b.解:(1)xa+b=xa·xb=2×3=6.(2)x2a+3b=(xa)2·(xb)3=22×33=4×27=108.幂的乘方法则注意(am)n=amn(m、n为正整数)[(am)n]p=amnp(m、n、p为正整数)幂的乘方,底数不变,指数相乘幂的乘方与同底数幂的乘法的区别:(am)n=amn;am·an=am+n幂的乘方法则的逆用:amn=(am)n=(an)m
相关课件
这是一份初中数学华东师大版(2024)八年级上册(2024)2. 幂的乘方完美版课件ppt,共24页。PPT课件主要包含了同底数幂的乘法,amn,下列算式等内容,欢迎下载使用。
这是一份初中数学华东师大版(2024)八年级上册(2024)2. 幂的乘方获奖教学课件ppt,共25页。PPT课件主要包含了amn等内容,欢迎下载使用。
这是一份数学八年级上册(2024)2. 幂的乘方教学演示ppt课件,共23页。
相关课件 更多
- 1.电子资料成功下载后不支持退换,如发现资料有内容错误问题请联系客服,如若属实,我们会补偿您的损失
- 2.压缩包下载后请先用软件解压,再使用对应软件打开;软件版本较低时请及时更新
- 3.资料下载成功后可在60天以内免费重复下载
免费领取教师福利

