若您为此资料的原创作者,认为该资料内容侵犯了您的知识产权,请扫码添加我们的相关工作人员,我们尽可能的保护您的合法权益。

1/30

2/30

3/30

4/30

5/30

6/30

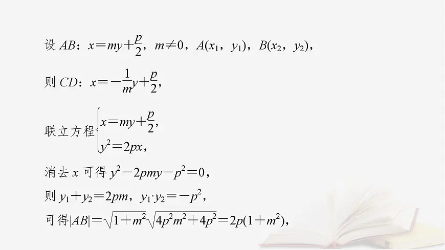
7/30

8/30
还剩22页未读, 继续阅读
所属成套资源:2026届高考数学一轮总复习
成套系列资料,整套一键下载
2026届高考数学一轮总复习第8章平面解析几何第8讲圆锥曲线__求值证明问题课件
展开 这是一份2026届高考数学一轮总复习第8章平面解析几何第8讲圆锥曲线__求值证明问题课件,共30页。PPT课件主要包含了求值问题,证明问题等内容,欢迎下载使用。
第八讲 圆锥曲线——求值、证明问题
2.(2025·安徽部分学校联考)已知抛物线E:y2=2px(p>0)的焦点为F,过点F且互相垂直的两条动直线分别与E交于点A,B和点C,D,当|AB|=|CD|时,|AB|=8.(1)求E的方程;
名师点拨:解析几何中,离不开求“角度、距离、面积、比值”等量,最直接的办法就是把这些量表示出来,这就常常需要将直线的方程与圆锥曲线的方程联立,用韦达定理将所求问题或题中的关系转化为x1+x2,x1x2(或y1+y2,y1y2)的形式求解.
名师点拨:证明问题的解题策略1.圆锥曲线中的证明问题,主要有两类:一是证明点、直线、曲线等几何元素中的位置关系,如:某点在某直线上、某直线经过某个点、某两条直线平行或垂直等;二是证明直线与圆锥曲线中的一些数量关系(相等或不等).2.解决证明问题时,主要根据直线、圆锥曲线的性质、直线与圆锥曲线的位置关系等,通过相关的性质应用、代数式的恒等变形以及必要的数值计算等进行证明.
解决证明问题的答题模板
相关课件 更多
资料下载及使用帮助
版权申诉
- 1.电子资料成功下载后不支持退换,如发现资料有内容错误问题请联系客服,如若属实,我们会补偿您的损失
- 2.压缩包下载后请先用软件解压,再使用对应软件打开;软件版本较低时请及时更新
- 3.资料下载成功后可在60天以内免费重复下载
版权申诉
免费领取教师福利 

.png)




