







七年级上册(2024)有理数的乘除运算教学演示ppt课件
展开 这是一份七年级上册(2024)有理数的乘除运算教学演示ppt课件,共25页。PPT课件主要包含了导入新知,素养目标,-18÷6,÷-2,探究新知,异号得负,同号得正,有理数的除法法则一,不能作除数,确定符号等内容,欢迎下载使用。
(-3)×( )= -12
计算: -12 ÷(-3)=?
因为 一个因数=积÷另一个因数
所以 -12 ÷(-3)=
除法是乘法的 逆运算
1.理解有理数除法的意义,掌握有理数的除法法则.
4.通过学习有理数的除法运算,体会类比、转化的数学思想.
3.会求有理数的倒数.
2.能熟练进行有理数的除法运算.
(-27)÷(-9)=
计算下面的算式,你发现了什么?
0除以任何一个非0的数都得0
两数相除,同号得 ,异号得 ,并把绝对值 ; 0除以任何一个非0的数都得 .
(1)(-15)÷(-3)
(3)(- 0.75)÷0.25
解:(1)(-15)÷(-3)
= +(15÷3)
(3)(-0.75)÷0.25
方法点拨:进行有理数的除法运算时:(1)先确定商的符号,再计算商的绝对值;(2)如果是一个数除以多个数,按照两数相除的法则依次计算.
= -(0.75÷0.25)
=144÷(-100)
= -(144÷100)
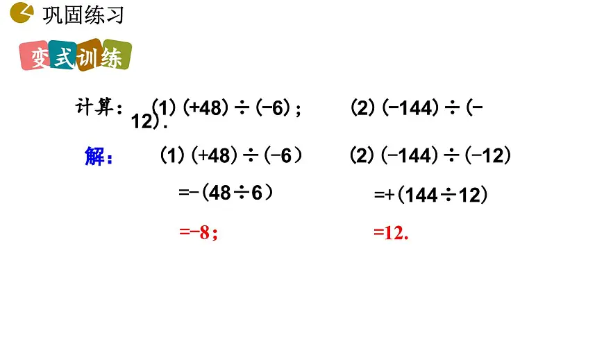
(1)(+48)÷(-6); (2)(-144)÷(-12).
(1)(+48)÷(-6)
(2)(-144)÷(-12)
比较下列各组数的计算结果:
2.有理数的除法法则二:除以一个数(0除外)等于乘这个数的_____.
结论:1.有理数的除法运算可以转化成_____计算.
用字母表示:a÷b=a×___.
方法点拨:如果被除数和除数中有小数或分数,一般选择法则(二)进行计算,即:除以一个数(不等于0)等于乘这个数的倒数.
1.选择原则: 能整除时直接相除,不能整除时应用除以一个数等于乘以 该数的倒数.
有理数除法法则的选择和注意事项:
2.注意事项: (1)应用直接相除时,要先确定符号,再确定绝对值. (2)应用除以一个数等于乘以该数的倒数时,如果有小数或 带分数,要化小数为分数,化带分数为假分数.
计算 的结果是( ) A.-18 B.2 C.18 D.-2
2.下列把除法转换为乘法的过程中,正确的是( )
3.下列运算中,错误的是( )
C. 8÷(-4)= -2
D. 0÷(-3)= 0
解:方方的计算过程不正确.
=6×(-6)
所以a,b,c中有两个负数、一个正数.
两数相除,同号得正,异号得负,并把绝对值相除.0除以任何一个不等于0的数,都得0.注意:0不能作除数.
除以一个数等于乘这个数的倒数.
相关课件 更多
- 1.电子资料成功下载后不支持退换,如发现资料有内容错误问题请联系客服,如若属实,我们会补偿您的损失
- 2.压缩包下载后请先用软件解压,再使用对应软件打开;软件版本较低时请及时更新
- 3.资料下载成功后可在60天以内免费重复下载
免费领取教师福利 

.png)





