




所属成套资源:2026年高考数学一轮复习《一隅三反》系列(新高考新题型)
4.3 三角函数的性质(精练)(试卷版)-2026年高考数学一轮复习《一隅三反》系列(新高考新题型)
展开 这是一份4.3 三角函数的性质(精练)(试卷版)-2026年高考数学一轮复习《一隅三反》系列(新高考新题型),文件包含43三角函数的性质精练试卷版原卷版docx、43三角函数的性质精练试卷版解析版docx等2份试卷配套教学资源,其中试卷共18页, 欢迎下载使用。
1.(2025·陕西榆林·模拟预测)函数的单调增区间是( )
A. B.
C. D.
2.(24-25高三下·上海虹口·期中)下列函数中为奇函数的是( )
A.B.
C.D.
3.(24-25高三上·湖南·阶段练习)将函数的图象向右平移个单位长度后得到函数的图象,若函数在区间上单调递减,则的最大值为( )
A.6B.5C.3D.2
4.(2025·广东·一模)已知函数的周期为,且在上单调递增,则可以是( )
A.B.C.D.
5.(2025·福建南平·三模)已知函数在区间恰有两个极大值点、三个对称中心,则( )
A.B.
C.D.
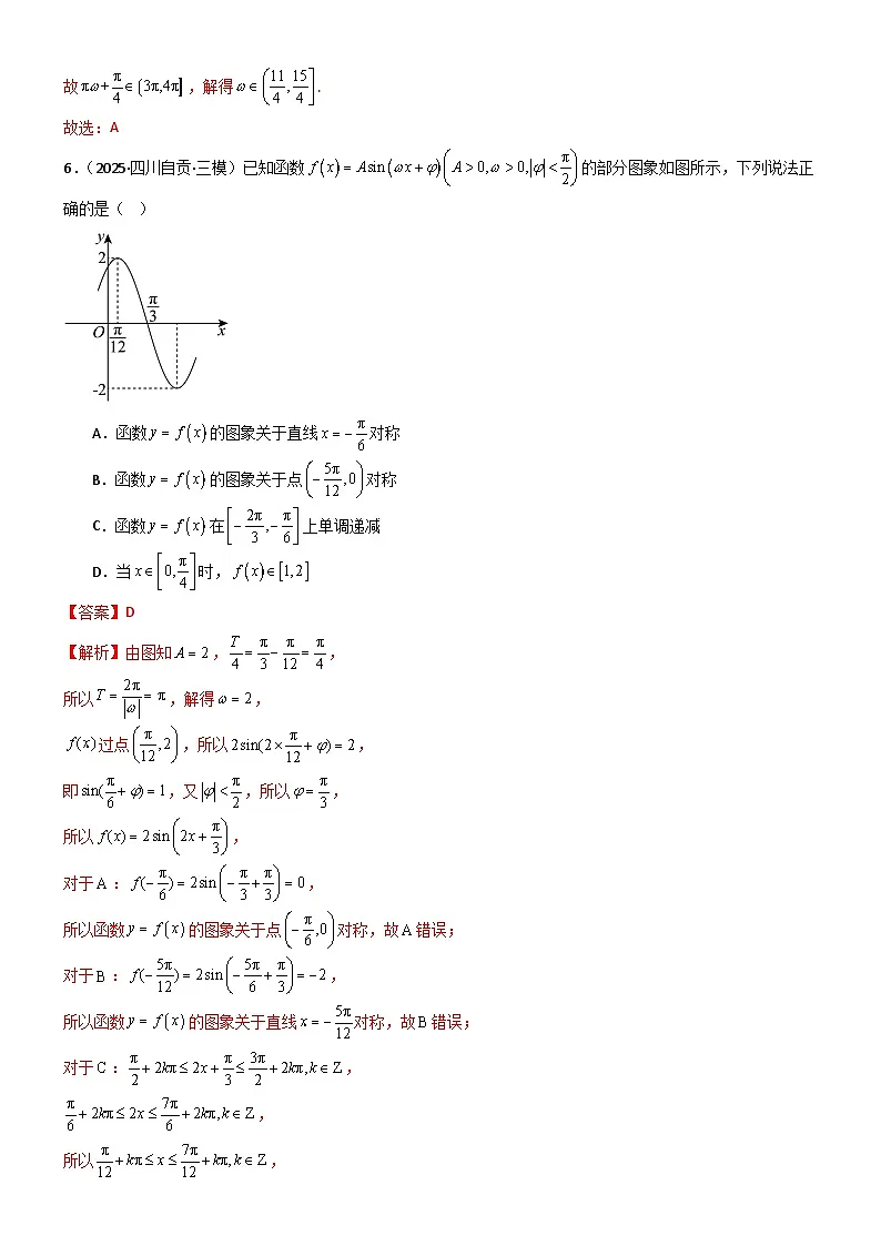
6.(2025·四川自贡·三模)已知函数的部分图象如图所示,下列说法正确的是( )
A.函数的图象关于直线对称
B.函数的图象关于点对称
C.函数在上单调递减
D.当时,
7.(2025·甘肃白银·三模)将函数图象上的每个点的横坐标伸长为原来的倍,纵坐标不变,得到函数的图象,若函数在上单调,则的取值范围是( )
A.B.C.D.
8.(2025·辽宁沈阳·三模)已知函数在区间上有且仅有一个零点,当最大时,的图象的一条对称轴方程为( )
A.B.C.D.
多选题:本题共3小题,每小题6分,共18分。在每个小题给出的选项中,有多项符合题目要求。全部选对得6分,不分选对的得部分分,有选错的得0分。
9.(2025·贵州黔东南·模拟预测)已知函数的部分图象如图所示,则( )
A.函数的最小值是
B.是函数的一个周期
C.在上单调
D.将函数的图象向右平移个单位得到的函数是奇函数
10.(2025·新疆乌鲁木齐·一模)关于的函数,下列结论正确的有( )
A.函数的最小正周期
B.若,则是奇函数
C.若,则是图象的一条对称轴
D.若,,则
11.(2025·江西南昌·模拟预测)已知函数,则下列说法中正确的是( )
A.为周期函数B.在单调递减
C.最大值为2D.,
填空题:本题共3小题,每小题5分,共15分。
12.(2025·宁夏中卫·二模)函数在上的值域为 .
13.(2025·山西晋中·三模)已知函数满足,且在上有且仅有一个极值点,则 .
14.(2025·江西·三模)已知函数在上的最大值为,最小值为,则的取值范围为 .
解答题:本题共5小题,共77分。解答应写出文字说明、证明过程或演算步骤。
15.(2025·江苏·一模)已知函数.
(1)求函数的单调递增区间;
(2)若,,求的值.
16.(2024·四川泸州·一模)已知函数,
(1)求不等式的解集;
(2)将图象上所有点的横坐标伸长为原来的两倍,纵坐标不变,得到的图象,求曲线在点处的切线与坐标轴围成的三角形面积.
17.(2025·上海长宁·二模)已知向量.
(1)求函数的单调递减区间;
(2)若函数在区间上恰有2个零点,求实数a的取值范围.
18.(2025·北京海淀·二模)已知函数.
(1)若,求及的单调递增区间;
(2)已知在区间上单调递增,再从条件①,条件②,条件③这三个条件中选择一个作为已知,使函数存在且唯一确定,求的最小正周期.
条件①:;
条件②:是的一个极值点;
条件③:是的一个零点.
19(2025·新疆·模拟预测)已知函数.
(1)若函数在上的零点从小到大依次为,设数列的前项和为,求的值;
(2)在锐角中,角A,B,C的对边分别为,,,若,,边上的中线,求的值.
相关试卷 更多
- 1.电子资料成功下载后不支持退换,如发现资料有内容错误问题请联系客服,如若属实,我们会补偿您的损失
- 2.压缩包下载后请先用软件解压,再使用对应软件打开;软件版本较低时请及时更新
- 3.资料下载成功后可在60天以内免费重复下载
免费领取教师福利 

.png)




