搜索
      上传资料 赚现金

      [精] 第三章 §3.5 指对同构问题-2026年高考数学大一轮复习课件含试题及答案(提高版)

      • 5.32 MB
      • 2025-06-25 13:00:51
      • 99
      • 0
      • 教习网会员03
      加入资料篮
      立即下载
      第三章 §3.5 指对同构问题-2026年高考数学大一轮复习课件含试题及答案(提高版)第1页
      高清全屏预览
      1/60
      第三章 §3.5 指对同构问题-2026年高考数学大一轮复习课件含试题及答案(提高版)第2页
      高清全屏预览
      2/60
      第三章 §3.5 指对同构问题-2026年高考数学大一轮复习课件含试题及答案(提高版)第3页
      高清全屏预览
      3/60
      第三章 §3.5 指对同构问题-2026年高考数学大一轮复习课件含试题及答案(提高版)第4页
      高清全屏预览
      4/60
      第三章 §3.5 指对同构问题-2026年高考数学大一轮复习课件含试题及答案(提高版)第5页
      高清全屏预览
      5/60
      第三章 §3.5 指对同构问题-2026年高考数学大一轮复习课件含试题及答案(提高版)第6页
      高清全屏预览
      6/60
      第三章 §3.5 指对同构问题-2026年高考数学大一轮复习课件含试题及答案(提高版)第7页
      高清全屏预览
      7/60
      第三章 §3.5 指对同构问题-2026年高考数学大一轮复习课件含试题及答案(提高版)第8页
      高清全屏预览
      8/60
      还剩52页未读, 继续阅读

      第三章 §3.5 指对同构问题-2026年高考数学大一轮复习课件含试题及答案(提高版)

      展开

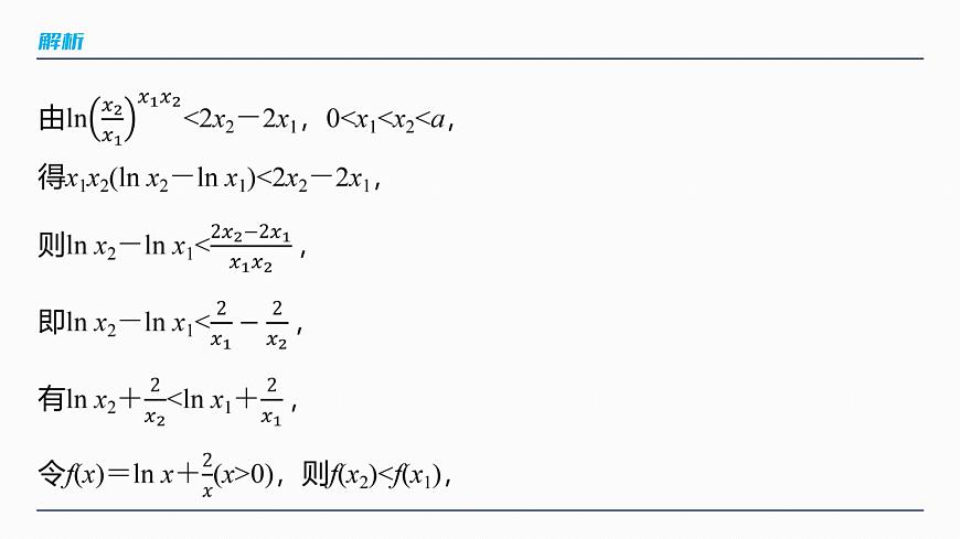
      这是一份第三章 §3.5 指对同构问题-2026年高考数学大一轮复习课件含试题及答案(提高版),共60页。PPT课件主要包含了双变量地位同等同构,题型一,指对同构法的理解,题型二,同构法的应用,题型三,课时精练,-e0等内容,欢迎下载使用。
      把一个等式或不等式通过变形,使左右两边结构、形式完全相同,构造函数,利用函数的单调性进行处理,找到这个函数模型的方法就是同构法.同构法主要解决含有指数、对数混合的等式或不等式问题.
      含有地位同等的两个变量x1,x2或x,y或a,b的等式或不等式,如果进行整理(即同构)后,等式或不等式两边具有结构的一致性,往往暗示应构造函数,应用函数单调性解决.
      跟踪训练1 若0b+ln b(a,b为变量)成立,则下列选项正确的是A.a>ln bB.abD.ea0,b>e2)可化为同构方程,则ab的值为   .
      利用恒等式x=ln ex和x=eln x,通过幂转指或幂转对进行等价变形,构造函数,然后由构造的函数的单调性进行研究.
      例3 (1)设实数k>0,对于任意的x>1,不等式kekx≥ln x恒成立,则k的最小值为   .
      跟踪训练3 (1)(2024·吕梁模拟)若关于x的不等式ea+x·ln x

      相关课件 更多

      资料下载及使用帮助
      版权申诉
      • 1.电子资料成功下载后不支持退换,如发现资料有内容错误问题请联系客服,如若属实,我们会补偿您的损失
      • 2.压缩包下载后请先用软件解压,再使用对应软件打开;软件版本较低时请及时更新
      • 3.资料下载成功后可在60天以内免费重复下载
      版权申诉
      若您为此资料的原创作者,认为该资料内容侵犯了您的知识产权,请扫码添加我们的相关工作人员,我们尽可能的保护您的合法权益。
      入驻教习网,可获得资源免费推广曝光,还可获得多重现金奖励,申请 精品资源制作, 工作室入驻。
      版权申诉二维码
      欢迎来到教习网
      • 900万优选资源,让备课更轻松
      • 600万优选试题,支持自由组卷
      • 高质量可编辑,日均更新2000+
      • 百万教师选择,专业更值得信赖
      微信扫码注册
      手机号注册
      手机号码

      手机号格式错误

      手机验证码 获取验证码 获取验证码

      手机验证码已经成功发送,5分钟内有效

      设置密码

      6-20个字符,数字、字母或符号

      注册即视为同意教习网「注册协议」「隐私条款」
      QQ注册
      手机号注册
      微信注册

      注册成功

      返回
      顶部
      学业水平 高考一轮 高考二轮 高考真题 精选专题 初中月考 教师福利
      添加客服微信 获取1对1服务
      微信扫描添加客服
      Baidu
      map