搜索
      上传资料 赚现金

      北京市2025届高三数学上学期期中检测试卷含解析

      • 1.45 MB
      • 2025-06-19 08:26:13
      • 33
      • 0
      • 教习网2972821
      加入资料篮
      立即下载
      北京市2025届高三数学上学期期中检测试卷含解析第1页
      高清全屏预览
      1/21
      北京市2025届高三数学上学期期中检测试卷含解析第2页
      高清全屏预览
      2/21
      北京市2025届高三数学上学期期中检测试卷含解析第3页
      高清全屏预览
      3/21
      还剩18页未读, 继续阅读

      北京市2025届高三数学上学期期中检测试卷含解析

      展开

      这是一份北京市2025届高三数学上学期期中检测试卷含解析,共21页。
      A. B.
      C. D.
      【答案】C
      【解析】
      【分析】解不等式化简集合,再利用并集的定义求解即得.
      【详解】解不等式,得,解得,则,
      而,所以.
      故选:C
      2. 命题“,”的否定为( )
      A. ,B. ,
      C. ,D. ,
      【答案】D
      【解析】
      【分析】根据全称命题与存在性命题的关系,准确改写,即可求解.
      【详解】根据全称命题与存在性命题的关系,可得:
      命题“,”的否定为“,”.
      故选:D.
      3. 已知复数满足,则的取值范围是( )
      A. B. C. D.
      【答案】D
      【解析】
      【分析】利用表示以0,1为圆心,为半径的圆,表示圆上的点到原点的距离可得答案.
      【详解】因为在复平面内,
      表示到点0,1距离为1的所有复数对应的点,
      即表示以0,1为圆心,为半径圆,
      表示圆上的点到原点的距离,所以最短距离为,
      最长距离为,
      则的取值范围是0,2.
      故选:D.
      4. 若双曲线的离心率为,则该双曲线的渐近线方程为( )
      A. B.
      C. D.
      【答案】A
      【解析】
      【分析】根据公式,即可求解.
      【详解】由题意可知,,则,
      所以双曲线的渐近线方程为,即.
      故选:A
      5. 直线和直线,则“”是“”的( )
      A. 必要不充分条件B. 充分不必要条件
      C. 充要条件D. 既不充分也不必要条件
      【答案】B
      【解析】
      【分析】由题意先求出的充要条件,然后根据充分不必要条件的定义判断即可.
      【详解】由题设,
      解得或.
      故,.
      所以“”是“”的充分不必要条件.
      故选:B.
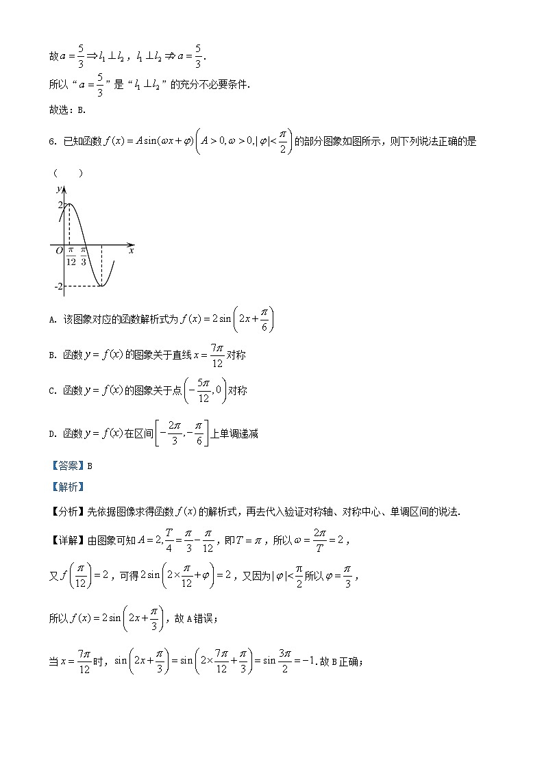
      6. 已知函数的部分图象如图所示,则下列说法正确的是( )
      A. 该图象对应的函数解析式为
      B. 函数图象关于直线对称
      C. 函数的图象关于点对称
      D. 函数在区间上单调递减
      【答案】B
      【解析】
      【分析】先依据图像求得函数的解析式,再去代入验证对称轴、对称中心、单调区间的说法.
      【详解】由图象可知,即,所以,
      又,可得,又因为所以,
      所以,故A错误;
      当时,.故B正确;
      当时,,故C错误;
      当时,则,函数不单调递减.故D错误.
      故选:B
      7. 已知,是椭圆C:的两个焦点,P为C上一点,且,,则C的离心率为( )
      A. B. C. D.
      【答案】A
      【解析】
      【分析】根据椭圆的定义分别求出,在中,利用余弦定理求得的关系,从而可得出答案.
      【详解】解:在椭圆C:中,
      由椭圆的定义可得,
      因为,
      所以,
      在中,,
      由余弦定理得,
      即,
      所以,
      所以C的离心率.
      故选:A.
      8. 函数的大致图象为( )
      A. B.
      C. D.
      【答案】A
      【解析】
      【分析】根据函数的奇偶性、特殊点的函数值来确定正确选项.
      【详解】的定义域为,
      ,为奇函数,图象关于原点对称,排除C选项.
      ,,排除BD选项.
      所以A选项符合.
      故选:A
      9. “打水漂”是一种游戏:按一定方式投掷石片,使石片在水面上实现多次弹跳,弹跳次数越多越好.小乐同学在玩“打水漂”游戏时,将一石片按一定方式投掷出去,石片第一次接触水面时的速度为,然后石片在水面上继续进行多次弹跳.不考虑其他因素,假设石片每一次接触水面时的速度均为上一次的,若石片接触水面时的速度低于,石片就不再弹跳,沉入水底,则小乐同学这次“打水漂”石片的弹跳次数为( )(参考数据:)
      A. 5B. 6C. 7D. 8
      【答案】B
      【解析】
      【分析】设这次“打水漂”石片的弹跳次数为,根据题意得,即,根据指数函数的单调性和对数换底公式求解即可.
      【详解】设这次“打水漂”石片的弹跳次数为,
      由题意得,即,得.
      因为,
      所以,即.
      故选:B.
      10. 已知函数,,若有4个零点,则的取值范围为( )
      A. B. C. D.
      【答案】B
      【解析】
      【分析】由题意可得x=0为1个零点,只需要x0时,,即y=a与y有3个交点且交点的横坐标不为0,作出y的图象,即可得出结论.
      【详解】当x=0时,g(0)=f(0)-0=0,当时,由题意可得,即y=a与y有3个交点且交点的横坐标不为0,
      令h(x)=,令h′(x)=,则x=,
      所以h(x)在(0,)单调递增,在()上单调递减,
      ∴y的大致图像如图:
      又h()=
      若y=a与y有3个交点且交点的横坐标不为0,则,
      故选B.
      【点睛】本题考查分段函数的零点,考查了利用导数解决函数零点的问题,考查了分析转化问题的能力,属于中档题.
      二、填空题共5小题,每小题5分,共25分.
      11. 已知向量,若向量在上的投影向量为,且与不共线,请写出一个符合条件的向量的坐标________.
      【答案】(答案不唯一)
      【解析】
      【分析】根据题意,得到,求得,进而可写出一个向量,得到答案.
      【详解】由向量,可得向量,
      因为向量在上的投影向量为,可得,可得,
      设,可得,取,
      此时向量与向量不共线,故.
      故答案为:(答案不唯一).
      12. 已知展开式中各项系数和为243,则展开式中的第3项为___________.
      【答案】##
      【解析】
      【分析】令,即可求出展开式系数和,从而求出,再写出展开式的通项,即可得解.
      【详解】解:令,得,解得,
      所以的展开式的通项,
      则展开式的第项为.
      故答案为:
      13. 已知抛物线上的点P到抛物线的焦点F的距离为6,则以线段PF的中点为圆心,为直径的圆被x轴截得的弦长为________.
      【答案】4
      【解析】
      【分析】首先利用抛物线定义确定P点坐标,进而可得以的中点为圆心,PF长度为直径的圆的方程,再代入计算可得弦长.
      【详解】抛物线的焦点,准线为,
      由题意得,结合抛物线定义知P点到准线的距离为6,

      则,
      代入横坐标可得,即,
      所以的中点坐标为或,

      所以以的中点为圆心,PF长度为直径的圆的方程为或,
      圆心到轴距离为,所以与截得的弦长为,
      故答案为:4.
      14. 印章是我国传统文化之一,根据遗物和历史记载,至少在春秋战国时期就已出现,其形状多为长方体、圆柱体等,陕西历史博物馆收藏的“独孤信多面体煤精组印”是一枚形状奇特的印章(如图1),该形状称为“半正多面体”(由两种或两种以上的正多边形所围成的多面体),每个正方形面上均刻有不同的印章(图中为多面体的面上的部分印章).图2是一个由18个正方形和8个正三角形围成的“半正多面体”(其各顶点均在一个正方体的面上),若该多面体的棱长均为1,且各个顶点均在同一球面上,则该球的表面积为__________.
      【答案】
      【解析】
      【分析】根据几何体的结构特征确定其外接球球心位置,根据已知求球体半径,进而求球体表面积.
      【详解】由对称性知:该多面体的各顶点在棱长为的正方体的表面上,
      如图,设其外接球的球心为,正方形的中心为,
      则点到平面的距离,又,
      所以该多面体外接球半径,
      故该球的表面积为.
      故答案为:
      15. 已知数列an中各项均为正数,且,给出下列四个结论:
      ①对任意的,都有;
      ②数列an可能为常数列;
      ③若,则当时,;
      ④若,则数列an为递减数列,
      其中正确结论是______.
      【答案】②③④
      【解析】
      【分析】对于①,根据一元二次方程有解得情况,利用判别式可得首项的取值范围,可得答案;
      对于②,将数列每一项设成未知量,根据等式建立方程,可得答案;
      对于③④,由题意作函数与函数的图象,利用数形结合的思想,对应数列中项在图象上的位置,可得答案.
      【详解】对于①,将等式看作关于的一元二次方程,即,
      该方程有解,则,所以当时,方程有解,
      即当时,一定存在数列an满足,故①错误;
      对于②,令,由题意可得,解得(舍去)或,
      常数列满足,故②正确;
      由题意作函数与函数的图象如下:
      由,则点在函数的图象上,
      易知在函数的图象上,
      对于③,当时,由在函数的图象上,则,
      由在函数的图象上,则,
      当时,,由在函数的图象上,则,
      由在函数的图象上,则,
      综上所述,若,当时,,故③正确;
      对于④,当时,由在函数的图象上,
      且在函数的图象上,则,
      当时,由在函数的图象上,
      且在函数的图象上,则,故④正确.
      故答案为:②③④.
      三、解答题共6小题,共85分.解答应写出文字说明,演算步摖或证明过程.
      16. 在中,.
      (1)求;
      (2)再从条件①、条件②、条件③这三个条件中选择两个作为已知,使存在且唯一确定,求的面积.
      条件①:;
      条件②:;
      条件③:.
      注:如果选择的条件不符合要求,第(2)问得0分;如果选择多组符合要求的条件分别解答,按第一组解答计分.
      【答案】(1)
      (2)答案见解析
      【解析】
      【分析】(1)根据题意,利用余弦定理求得,即可求解;
      (2)根据题意,若选择①②,求得,由正弦定理求得,再由余弦定理求得,结合面积公式,即可求解;
      若①③:先求得,由,利用正弦定理求得,结合面积公式,即可求解;
      若选择②③,利用余弦定理,列出方程求得,不符合题意.
      【小问1详解】
      解:因为,由余弦定理得,
      又因为,所以.
      【小问2详解】
      解:由(1)知,
      若选①②:,,
      由,可得,
      由正弦定理,可得,解得,则,
      又由余弦定理,可得,
      即,解得或(舍去),
      所以的面积为.
      若选①③:且,
      由,可得,
      因为,可得,
      由正弦定理,可得,解得,
      所以的面积为.
      若选:②③:且,
      因为,可得,整理得,
      解得,不符合题意,(舍去).
      17. 已知三棱柱中,,是的中点,,.
      (1)证明:;
      (2)若侧面是正方形,求平面与平面夹角的余弦值.
      【答案】(1)证明见解析;(2).
      【解析】
      【分析】(1)取的中点,连接、、,证明出平面,,由此可证得;
      (2)以点为坐标原点,、、所在直线分别为、、轴建立空间直角坐标系,利用空间向量法可求得平面与平面夹角的余弦值.
      【详解】(1)取的中点,连接、、,
      因为,,故为等边三角形,
      因为为的中点,则,
      因为,,故平面,
      平面,所以,,
      、分别为、的中点,则,因此,;
      (2),则四边形是边长为的正方形,
      、分别为、的中点,则,
      由(1)可得,
      ,,故与所成角,即,
      又因为,,平面,
      平面,则,所以,、、两两垂直,
      以点为坐标原点,、、所在直线分别为、、轴建立空间直角坐标系,
      则、、、、,
      ,,,,
      设平面的法向量为,则,
      取,则,
      易知平面的一个法向量为,.
      因此,平面与平面夹角的余弦值为.
      18. 《中华人民共和国体育法》规定,国家实行运动员技术等级制度,下表是我国现行《田径运动员技术等级标准》(单位:m)(部分摘抄):
      在某市组织考级比赛中,甲、乙、丙三名同学参加了跳远考级比赛,其中甲、乙为男生,丙为女生,为预测考级能达到国家二级及二级以上运动员的人数,收集了甲、乙、丙以往的比赛成绩,并整理得到如下数据(单位:):
      甲:6.60,6.67,6.55,6.44,6.48,6.42,6.40,6.35,6.75,6.25;
      乙:6.38,6.56,6.45,6.36,6.82,7.38;
      丙:5.16,5.65,5.18,5.86.
      假设用频率估计概率,且甲、乙、丙的比赛成绩相互独立,
      (1)估计甲在此次跳远考级比赛中成绩达到二级及二级以上运动员的概率;
      (2)设X是甲、乙、丙在此次跳远考级比赛中成绩达到二级及二级以上运动员的总人数,估计X的数学期望;
      (3)在跳远考级比赛中,每位参加者按规则试跳6次,取6次试跳中的最好成绩作为其最终成绩本次考级比赛中,甲已完成6次试跳,丙已完成5次试跳,成绩(单位:m)如下表:
      若丙第6次试跳的成绩为a,用分别表示甲、丙试跳6次成绩的方差,当时,写出a的值.(结论不要求证明)
      【答案】(1)
      (2)
      (3)或.
      【解析】
      【分析】(1)由已知数据计算频率,用频率估计概率;
      (2)由X的取值,计算相应的概率,由公式计算数学期望;
      (3)当两人成绩满足的模型,方差相等.
      【小问1详解】
      甲以往的10次比赛成绩中,有4次达到国家二级及二级以上运动员标准,
      用频率估计概率,估计甲在此次跳远考级比赛中成绩达到二级及二级以上运动员的概率为;
      【小问2详解】
      设甲、乙、丙在此次跳远考级比赛中成绩达到二级及二级以上运动员分别为事件,
      以往的比赛成绩中,用频率估计概率,有,,,
      X是甲、乙、丙在此次跳远考级比赛中成绩达到二级及二级以上运动员的总人数,
      则X可能的取值为0,1,2,3,




      估计X的数学期望;
      【小问3详解】
      甲的6次试跳成绩从小到大排列为:,
      设这6次试跳成绩依次从小到大为,
      丙的5次试跳成绩从小到大排列为:,
      设丙的6次试跳成绩从小到大排列依次为,
      当时,满足,成立;
      当时,满足,成立.
      所以或.
      19. 已知椭圆的离心率是,点在上.
      (1)求的方程;
      (2)过点的直线交于两点,直线与轴的交点分别为,证明:线段的中点为定点.
      【答案】(1)
      (2)证明见详解
      【解析】
      【分析】(1)根据题意列式求解,进而可得结果;
      (2)设直线的方程,进而可求点的坐标,结合韦达定理验证为定值即可.
      【小问1详解】
      由题意可得,解得,
      所以椭圆方程为.
      【小问2详解】
      由题意可知:直线的斜率存在,设,
      联立方程,消去y得:,
      则,解得,
      可得,
      因为,则直线,
      令,解得,即,
      同理可得,


      所以线段的中点是定点.
      【点睛】方法点睛:求解定值问题的三个步骤
      (1)由特例得出一个值,此值一般就是定值;
      (2)证明定值,有时可直接证明定值,有时将问题转化为代数式,可证明该代数式与参数(某些变量)无关;也可令系数等于零,得出定值;
      (3)得出结论.
      20. 已知函数.
      (1)若,求曲线在点处的切线方程.
      (2)若在处取得极值,求的极值.
      (3)若在上的最小值为,求的取值范围.
      【答案】(1)
      (2)极大值,极小值;
      (3)
      【解析】
      【分析】(1)根据导数的几何意义,即可求得答案;
      (2)根据在处取得极值,求出a的值,从而判断函数的单调性,求得极值;
      (3)分类讨论,讨论a与区间的位置关系,确定函数单调性,结合函数的最值,即可确定a的取值范围.
      【小问1详解】
      若,则,则,
      故,
      故曲线在点处的切线方程为,即;
      【小问2详解】
      定义域为,
      则,
      由于在处取得极值,故,
      则,
      令,则或,函数在上均单调递增,
      令,则,函数在上单调递减,
      故当时,取到极大值,
      当时,取到极小值;
      【小问3详解】
      由于,
      当时,,仅在时等号取得,在上单调递增,
      则,符合题意;
      当时,则时,,在上单调递减,
      时,,在上单调递增,
      故,不符合题意;
      当时,,在上单调递减,
      故,不符合题意;
      综上,可知的取值范围为.
      【点睛】方法点睛:第三问根据函数的最小值求解参数范围,求出导数后,要分类讨论,讨论a与区间的位置关系,从而确定最值,求得参数范围.
      21. 已知有限数列为单调递增数列.若存在等差数列,对于A中任意一项,都有,则称数列A是长为m的数列.
      (1)判断下列数列是否为数列(直接写出结果):
      ①数列1,4,5,8;②数列2,4,8,16.
      (2)若,证明:数列a,b,c为数列;
      (3)设M是集合的子集,且至少有28个元素,证明:M中的元素可以构成一个长为4的数列.
      【答案】(1)①数列,,,是数列;②数列,,,是数列;(2)证明见解析;(3)证明见解析.
      【解析】
      【分析】(1)由数列的新定义,可直接判定,得到答案;
      (2)分当,和三种情况讨论,结合数列的新定义,即可求解;
      (3)假设中没有长为的数列,先考虑集合,得到存在一个,使得中没有一个元素属于,再考虑集合,得到存在一个,使得中没有一个元素属于,进而证得集合中至多有个元素,即可得到结论.
      【详解】(1)由数列的新定义,可得数列,,,是数列;数列,,,是数列.
      (2)①当时,令,,,,
      所以数列,,,为等差数列,且,
      所以数列,,为数列.
      ②当时,令,,,,
      所以数列,,,为等差数列,且.
      所以数列,,为数列.
      ③当时,令,,,,
      所以数列,,,为等差数列,且.
      所以数列,,为数列.
      综上,若,数列,,为数列.
      (3)假设中没有长为的数列,
      考虑集合,,,,.
      因为数列,,,,是一个共有5项的等差数列,
      所以存在一个,使得中没有一个元素属于.
      对于其余的,
      再考虑集合,,,,.
      因为,,,,是一个共有5项的等差数列,
      所以存在一个,使得中没有一个元素属于.
      因为中个数成等差数列,所以每个中至少有一个元素不属于.
      所以集合中至少有个元素不属于集合.
      所以集合中至多有个元素,这与中至少有个元素矛盾.
      所以假设不成立.
      所以中的元素必能构成长为4的数列.
      【点睛】1、数列新定义问题的特点:通过给出一个新的数列概念,或约定一种新运算,或给出几个新模型来创设全新的问题情境,要求考生再阅读理解的基础上,以及题目提供的信息,联系所学知识和方法,实现信息的迁移,达到灵活解题的目的;
      2、遇到数列的心定义问题,应耐心读题,分析新定义的特点,弄清新定义的性质,按新定义的要求,“照章办事”,逐条分析、运算、验证,使问题得以解决.项目
      国际级运动健将
      运动健将
      一级运动员
      二级运动员
      三级运动员
      男子跳远
      8.00
      7.80
      7.30
      6.50
      5.60
      女子跳远
      6.65
      6.35
      5.85
      5.20
      4.50
      第1跳
      第2跳
      第3跳
      第4跳
      第5跳
      第6跳

      6.50
      6.48
      6.47
      6.51
      6.46
      6.49

      5.84
      5.82
      5.85
      5.83
      5.86
      a

      相关试卷

      北京市2025届高三数学上学期期中检测试卷含解析:

      这是一份北京市2025届高三数学上学期期中检测试卷含解析,共21页。

      北京市2024_2025学年高三数学上学期期中检测试题含解析:

      这是一份北京市2024_2025学年高三数学上学期期中检测试题含解析,共22页。

      北京市2024_2025学年高三数学上学期期中测试试卷含解析:

      这是一份北京市2024_2025学年高三数学上学期期中测试试卷含解析,共19页。试卷主要包含了解答题共6小题,共85分.等内容,欢迎下载使用。

      资料下载及使用帮助
      版权申诉
      • 1.电子资料成功下载后不支持退换,如发现资料有内容错误问题请联系客服,如若属实,我们会补偿您的损失
      • 2.压缩包下载后请先用软件解压,再使用对应软件打开;软件版本较低时请及时更新
      • 3.资料下载成功后可在60天以内免费重复下载
      版权申诉
      若您为此资料的原创作者,认为该资料内容侵犯了您的知识产权,请扫码添加我们的相关工作人员,我们尽可能的保护您的合法权益。
      入驻教习网,可获得资源免费推广曝光,还可获得多重现金奖励,申请 精品资源制作, 工作室入驻。
      版权申诉二维码
      欢迎来到教习网
      • 900万优选资源,让备课更轻松
      • 600万优选试题,支持自由组卷
      • 高质量可编辑,日均更新2000+
      • 百万教师选择,专业更值得信赖
      微信扫码注册
      手机号注册
      手机号码

      手机号格式错误

      手机验证码 获取验证码 获取验证码

      手机验证码已经成功发送,5分钟内有效

      设置密码

      6-20个字符,数字、字母或符号

      注册即视为同意教习网「注册协议」「隐私条款」
      QQ注册
      手机号注册
      微信注册

      注册成功

      返回
      顶部
      学业水平 高考一轮 高考二轮 高考真题 精选专题 初中月考 教师福利
      添加客服微信 获取1对1服务
      微信扫描添加客服
      Baidu
      map