搜索
      上传资料 赚现金

      山东省日照市2024~2025学年高一下册期中考试数学模拟试卷【附解析】

      • 1.09 MB
      • 2025-06-17 22:59:06
      • 74
      • 1
      • 柏宇
      加入资料篮
      立即下载
      查看完整配套(共2份)
      包含资料(2份) 收起列表
      解析
      山东省日照市2024-2025学年高一下学期期中考试数学模拟试卷(解析).docx
      预览
      原卷
      山东省日照市2024-2025学年高一下学期期中考试数学模拟试卷.docx
      预览
      正在预览:山东省日照市2024-2025学年高一下学期期中考试数学模拟试卷(解析).docx
      山东省日照市2024-2025学年高一下学期期中考试数学模拟试卷(解析)第1页
      高清全屏预览
      1/18
      山东省日照市2024-2025学年高一下学期期中考试数学模拟试卷(解析)第2页
      高清全屏预览
      2/18
      山东省日照市2024-2025学年高一下学期期中考试数学模拟试卷(解析)第3页
      高清全屏预览
      3/18
      山东省日照市2024-2025学年高一下学期期中考试数学模拟试卷第1页
      高清全屏预览
      1/5
      山东省日照市2024-2025学年高一下学期期中考试数学模拟试卷第2页
      高清全屏预览
      2/5
      还剩15页未读, 继续阅读

      山东省日照市2024~2025学年高一下册期中考试数学模拟试卷【附解析】

      展开

      这是一份山东省日照市2024~2025学年高一下册期中考试数学模拟试卷【附解析】,文件包含山东省日照市2024-2025学年高一下学期期中考试数学模拟试卷解析docx、山东省日照市2024-2025学年高一下学期期中考试数学模拟试卷docx等2份试卷配套教学资源,其中试卷共23页, 欢迎下载使用。
      1. 已知,那么( )
      A. B. C. D.
      【答案】B
      【解析】
      【分析】由已知条件利用诱导公式即可求解.
      【详解】因为,
      所以
      故选:B.
      2. 已知向量,则与向量方向相反的单位向量是( )
      A. B. C. D.
      【答案】D
      【解析】
      【分析】根据单位向量的定义求与向量方向相反的单位向量.
      【详解】由题设,与向量方向相反的单位向量是.
      故选:D
      3. 已知向量,,则下列结论正确的是( )
      A. B. C. D.
      【答案】C
      【解析】
      【分析】根据向量共线定理、数量积及模长的坐标运算依次判断各项的正误.
      【详解】A:由题设,不存在实数,使,故不共线,错;
      B:由,错;
      C:因为,
      所以,即,对;
      D:,错.
      故选:C
      4. 在梯形中,设,若,则( )
      A. B. C. D.
      【答案】A
      【解析】
      【分析】利用向量的线性运算求解.
      【详解】因,所以,
      .
      故选:A.
      5. 若,且为第三象限角,则( )
      A. 7B. C. D.
      【答案】A
      【解析】
      【分析】逆用和角余弦公式可得,结合已知得,再由和角正切公式求.
      【详解】由,
      所以,又为第三象限角,所以,故,
      所以.
      故选:A
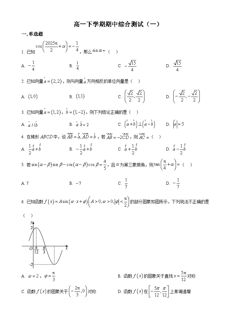
      6. 已知函数的部分图象如图所示,下列说法不正确的是( )
      A. ,B. 函数的图象关于直线对称
      C. 函数的图象关于对称D. 函数在上单调递增
      【答案】B
      【解析】
      【分析】由图象求出的解析式,再利用正弦函数性质逐一分析判断各选项即可得解.
      【详解】对于A,由题意,,则,
      则,
      又在上,则,即,
      所以,则,
      又,所以,所以,即,,故A正确;
      对于B,因为,
      所以不是图象的对称轴,故B错误;
      对于C,因为,
      所以的图象关于点对称,故C正确;
      对于D,当时,,
      所以在上单调递增,故D正确.
      故选:B.
      7. 已知函数的最小正周期为T.若,把的图象向右平移个单位长度,得到偶函数的图象,则( )
      A. B. 2C. D.
      【答案】A
      【解析】
      【分析】根据余弦型函数的图象变换、奇偶性、周期性进行求解.
      【详解】由题知,把函数的图象向右平移个单位长度,
      得到的图象.
      因为偶函数,所以,即.
      又,所以.
      因为的最小正周期为,
      所以,即,解得.
      所以,
      所以.
      故选:A.
      8. 当时,曲线与的交点个数为( )
      A. 3B. 4C. 6D. 8
      【答案】C
      【解析】
      【分析】分别画出与在上的函数图象,根据图象判断即可.
      【详解】因为函数最小正周期为,所以函数在上有1个周期的图象,
      因为函数的最小正周期为,
      所以函数在上有3个周期的图象,
      在平面直角坐标系中,作出两函数在上的图象,如图所示:

      由图可知,曲线与有6个交点.
      故选:C.
      二、多选题
      9. 下列命题正确的有( )
      A. 函数的对称中心是,
      B. 在中,
      C. ,,则在上的投影向量等于
      D. 两个非零向量,的夹角是锐角
      【答案】BC
      【解析】
      【分析】根据正切函数的对称中心判断A;根据三角形的特点及正弦定理判断B;根据平面向量的数量积的坐标表示及投影向量的定义求解判断C;举特例判断D.
      【详解】对于A,函数的对称中心是,,故A错误;
      对于B,在中,,
      故B正确;
      对于C,由,,得,,
      所以在上的投影向量为,故C正确;
      对于D,当,同向时,满足,此时,的夹角为,故D错误.
      故选:BC.
      10. 计算下列各式的值,结果为2的有( )
      A. B.
      C. D.
      【答案】AC
      【解析】
      【分析】利用和角的正切公式计算求值判断A;利用二倍角的正弦公式计算可判断B;运用两角和的正切公式计算判断C;利用辅助角公式二倍角的正弦公式和诱导公式计算可判断D.
      【详解】对于A,
      ,故A正确;
      对于B,,故B错误;
      对于
      ,故C正确;
      对于D,
      ,故D错误.
      故选:AD.
      11. 如图所示,已知角,()的始边为轴的非负半轴,终边与单位圆的交点分别为,,为线段的中点,点坐标为,记,则( )
      A.
      B. 若,则
      C. 点M的坐标为
      D. 若,则
      【答案】BC
      【解析】
      【分析】根据三角函数定义可求的坐标,再求,根据向量坐标运算公式结合两角和差公式可得,判断A,由两边平方,结合数量积的性质及定义可求,判断B,根据中点坐标公式求点M的坐标,判断C,求,代入并化简可得,设,证明,
      解方程求,推出矛盾,判断D.
      【详解】因为角,终边与单位圆的交点分别为,,
      所以点的坐标为,点的坐标为,又点的坐标为,
      所以,,
      因为点坐标为,所以,
      所以,
      因为


      所以,
      因为,所以,
      故,,
      所以,,
      所以,
      所以与不相等,A错误,
      因为,
      所以,
      又,,,
      所以,故,
      所以,又,
      所以,所以,B正确;
      因为,,
      所以,,
      因为点的坐标为,点的坐标为,点为线段的中点,
      所以点的坐标为,
      所以点的坐标为,C正确;
      因为,
      又,所以,
      因为,
      所以,又,
      所以,
      若,又,
      所以,所以,
      所以,故,
      则,
      则,
      所以或(舍去),
      又,所以,
      所以,与矛盾,D错误,
      故选:BC.
      三、填空题
      12. 已知扇形的周长为9cm,圆心角为,则该扇形的面积为___________.
      【答案】
      【解析】
      【分析】由扇形的弧长及面积公式求解可得答案.
      【详解】设扇形的半径为,圆心角为,弧长为,
      则由题意可得,解得,
      所以扇形的面积,
      故答案为:.
      13. 在中,,点为边的中点,点在边上,则的最小值为________.
      【答案】##
      【解析】
      【分析】根据已知条件建立平面直角坐标系,写出相关点的坐标,利用向量的坐标表示及向量的数量积的坐标表示,结合二次函数的性质即可求解.
      【详解】以为坐标原点,建立如图所示平面直角坐标系,如图所示
      由题意可知,设,
      所以,
      所以,,
      由二次函数的性质知,当时,取最小值为.
      故答案为:.
      14. 把函数的图象向左平移个单位长度,得到的函数是奇函数,则的值为______________,若函数在区间上存在最大值2,则实数的取值范围为_______________.
      【答案】 ① 5 ②.
      【解析】
      【分析】应用辅助角公式得,结合图象平移及正弦型函数的奇偶性有,即可求参数,再由正弦型函数的区间最值有,即可得范围.
      【详解】由题设,
      所以为奇函数,则,
      所以,又,故,
      所以,若,则,
      又函数在区间上存在最大值2,则.
      故答案为:5,
      四、解答题
      15. 已知向量,满足:,,.
      (1)求与的夹角的余弦值;
      (2)若,求实数的值.
      【答案】(1)
      (2)或
      【解析】
      【分析】(1)对展开可得,再由向量夹角的余弦值公式即可求解;
      (2)由向量垂直性质可得,化简后解方程即可求解实数的值.
      【小问1详解】
      由题可得,
      因为,,代入可得,
      ,所以与的夹角的余弦值.
      【小问2详解】
      因为,所以,
      化简可得,
      将,,代入可得,解得或.
      16. 已知,且.
      (1)求的值;
      (2)求的值.
      【答案】(1);
      (2)
      【解析】
      【分析】(1)由两边同时平方,结合平方关系可求,再结合范围确定的符号,再根据求结论,
      (2)由(1)可求,再求,代入可得结论.
      【小问1详解】
      因为,
      等式两边同时平方可得,,
      所以,又,
      所以,又,
      所以,,
      所以,
      即;
      【小问2详解】
      由(1),,
      所以,,
      所以,,,
      所以,
      即.
      17. 如图,在中,M是边BC的中点,N是线段BM的中点.

      (1)用和分别表示和;
      (2)若直线交于点,交于点,交于点,,求最小值.
      【答案】(1),
      (2)
      【解析】
      【分析】(1)根据平面向量的线性运算计算即可;
      (2)先将用表示,再根据三点共线,可得的关系,再根据基本不等式即可得解.
      【小问1详解】
      由题意,


      【小问2详解】
      由,
      得,

      因为三点共线,所以,
      则,
      当且仅当,即时取等号,
      所以最小值为.
      18. 中国数学家华罗庚倡导的“0.618优选法”在各个领域应用广泛,0.618就是黄金分割比的近似值,这一数值也可以表示为.三倍角公式是把形如,等三角函数用单倍角三角函数表示的恒等式,广泛应用于数学、物理、天文等学科.
      (1)已知试证明此三倍角公式;
      (2)若角满足,求的值(已知);
      (3)试用三倍角公式并结合三角函数相关知识,求出黄金分割值.
      【答案】(1)证明见解析;
      (2);
      (3).
      【解析】
      【分析】(1)根据两角和余弦公式展开,再利用二倍角公式及平方关系化简可得结论;
      (2)由(1)得,再通过三角恒等变换化简,并结合同角关系求结论;
      (3)根据,结合(1)及二倍角正弦公式和同角关系化简等式,解方程求得,由此可得结论.
      【小问1详解】

      ,得证;
      【小问2详解】
      由(1)知,可得,
      而.
      【小问3详解】
      由,则,
      所以,则,
      所以,可得(负值舍),
      所以.
      19. 已知函数.
      (1)若为偶函数,设.
      ①求解析式;
      ②若存在,使不等式成立,求实数的取值范围;
      (2)若函数的图象过点,设,若对任意的,总存在,使成立,求实数的取值范围.
      【答案】(1)①②
      (2)
      【解析】
      【分析】(1)由函数为偶函数得,结合已知即可得,从而可以得到函数.再应用三角恒等变换化简并确定区间值域,由不等式能成立有,即可求范围;
      (2)根据已知得,将问题化为,结合三角函数、二次函数的性质求最值,进而列不等式求参数范围.
      【小问1详解】
      ①由为偶函数,则,,
      又,则,
      所以,

      .
      ②存在,使不等式成立,则,
      所以在上能成立,而,
      所以;
      【小问2详解】
      由题设,且,则,
      所以,
      而,则,所以,
      对任意的,总存在,使成立,
      所以,即,
      令,则,故,
      当,则在上单调递增,此时,可得;
      当,则在上单调递减,此时,可得;
      当,则在上单调递增,在上单调递减,
      此时,可得;
      综上,.

      相关试卷

      山东省日照市2024~2025学年高一下册期中考试数学模拟试卷【附解析】:

      这是一份山东省日照市2024~2025学年高一下册期中考试数学模拟试卷【附解析】,文件包含山东省日照市2024-2025学年高一下学期期中考试数学模拟试卷解析docx、山东省日照市2024-2025学年高一下学期期中考试数学模拟试卷docx等2份试卷配套教学资源,其中试卷共23页, 欢迎下载使用。

      2024~2025学年山东省日照市高一上学期期末考试数学试卷【有解析】:

      这是一份2024~2025学年山东省日照市高一上学期期末考试数学试卷【有解析】,共16页。

      山东省日照市2024-2025高一上学期期中数学试卷及答案:

      这是一份山东省日照市2024-2025高一上学期期中数学试卷及答案,共9页。

      资料下载及使用帮助
      版权申诉
      • 1.电子资料成功下载后不支持退换,如发现资料有内容错误问题请联系客服,如若属实,我们会补偿您的损失
      • 2.压缩包下载后请先用软件解压,再使用对应软件打开;软件版本较低时请及时更新
      • 3.资料下载成功后可在60天以内免费重复下载
      版权申诉
      若您为此资料的原创作者,认为该资料内容侵犯了您的知识产权,请扫码添加我们的相关工作人员,我们尽可能的保护您的合法权益。
      入驻教习网,可获得资源免费推广曝光,还可获得多重现金奖励,申请 精品资源制作, 工作室入驻。
      版权申诉二维码
      欢迎来到教习网
      • 900万优选资源,让备课更轻松
      • 600万优选试题,支持自由组卷
      • 高质量可编辑,日均更新2000+
      • 百万教师选择,专业更值得信赖
      微信扫码注册
      手机号注册
      手机号码

      手机号格式错误

      手机验证码 获取验证码 获取验证码

      手机验证码已经成功发送,5分钟内有效

      设置密码

      6-20个字符,数字、字母或符号

      注册即视为同意教习网「注册协议」「隐私条款」
      QQ注册
      手机号注册
      微信注册

      注册成功

      返回
      顶部
      学业水平 高考一轮 高考二轮 高考真题 精选专题 初中月考 教师福利
      添加客服微信 获取1对1服务
      微信扫描添加客服
      Baidu
      map