江西省多校联考2024-2025学年高一下学期第一次学情联合检测数学试卷(解析版)
展开
这是一份江西省多校联考2024-2025学年高一下学期第一次学情联合检测数学试卷(解析版),共13页。试卷主要包含了单项选择题,多选题,填空题,解答题等内容,欢迎下载使用。
一、单项选择题:本题共8小题,每小题5分,共40分.在每小题给出的四个选项中,只有一项是符合题目要求的.
1. 与终边相同的角是( )
A. B. C. D.
【答案】A
【解析】由.
故选:A.
2. 命题“”的否定是( )
A. B.
C. D.
【答案】B
【解析】因为命题“”为存在量词命题,
所以其否定为“”.
故选:B.
3. 把化成度的结果为( )
A. B. C. D.
【答案】C
【解析】.
故选:C.
4. 若一个扇形的弧长为4,面积为16,则这个扇形圆心角的弧度数是( )
A. 4B. 3C. 2D.
【答案】D
【解析】令该扇形圆心角弧度为,半径为,则,解得.
故选:D.
5. 已知函数的最小正周期为,则不等式的解集为( )
A. B.
C. D.
【答案】A
【解析】因为函数的最小正周期为,所以,得.
所以,
由得,得,
解得.
故选:A.
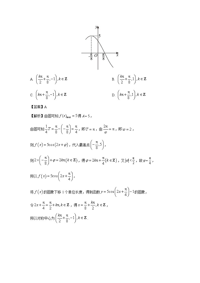
6. 已知函数的部分图象如图所示,将的图象下移1个单位长度,所得函数图象的对称中心为( )
A. B.
C. D.
【答案】A
【解析】由图可知得,
由图可知,即,由,即,
则,代入最高点,
则,得,又,故,
所以,
将的图象下移1个单位长度,得到函数的图象,
令,得,
所以对称中心为.
故选:A.
7. 已知,若函数在区间上单调,则的取值范围为( )
A. B. C. D.
【答案】C
【解析】当时,,若在上单调,
则在上单调递减,故,得;
若函数在上单调递减,则,且,
得.
故选:C.
8. 已知定义在上的函数满足:①;②.若,则实数的取值范围为( )
A. B. C. D.
【答案】B
【解析】,
令,则在区间上单调递减.
,
则,
等价于,
即,
又,
由在上单调递减得,解得或,
即a的取值范围为.
故选:B.
二、多选题:本题共3小题,每小题6分,共18分.在每小题给出的选项中,有多项符合题目要求.全部选对的得6分,部分选对的得部分分,有选错的得0分.
9. 某新能源汽车4S店2024年3月到12月连续10个月的销量依次为(单位:辆):,,则关于这组数据的结论正确的是( )
A. 极差为24B. 平均数为28
C. 众数为25D. 中位数为25
【答案】ABC
【解析】此4S店连续10个月的销量(单位:辆)从小到大排列为,
则极差为,众数为25,
平均数为,
由题意,所以这组数据的中位数为,故ABC正确,D错误.
故选:ABC.
10. 已知,则( )
A. B.
C. D.
【答案】BD
【解析】因为,为第二象限角,故,
得.
故选:BD.
11. 已知函数,则( )
A. 是函数的周期
B. 的图象关于直线对称
C. 的最大值与最小值之积为
D. 在区间上单调递减
【答案】ACD
【解析】令,则,
即
,
所以,
,故A正确;
,得,
所以的图象不关于直线对称,故B错误;
当时,取最大值3;
当时,取最小值,故的最大值与最小值之积为,故C正确;
因为是函数的周期,所以只需考虑在区间上是否单调递减,
当时,单调递减;
当时,单调递减,又图象不间断,
故在区间上单调递减,故D正确.
故选:ACD.
三、填空题:本题共3小题,每小题5分,共15分.
12. 已知函数,则__________.
【答案】8
【解析】由题意得.
13. 2025年,从春晚扭秋歌的机器人,到广场舞狮的机器狗,中国人把高科技玩出了新花样儿.为紧跟社会热点,某商场推出了机器人服务,其从甲公司购买了3台不同的机器人,从乙公司购买了2台不同的机器人,现计划从这5台机器人中随机挑选2台在商场一楼服务,则这2台机器人来自于不同公司的概率为__________.
【答案】
【解析】设从甲公司购买的3台记为,从乙公司购买的2台记为,
从中任取2台的情况为,共10种,
其中这2台来自于不同公司的情况分别为,共6种,
故概率.
14. 若函数满足存在实数,使得的所有零点构成的非空集合与的所有零点构成的非空集合相等,则称与为similar函数.若函数,与为similar函数,则__________.
【答案】
【解析】因为,
且单调递减,可知单调递减且值域为,
所以集合中元素的个数为1,
因为与为similar函数,故集合中元素的个数也为1,
即有1个零点,
由,得,由的性质可知,
只有当时,即时只有1个零点,此时,
将,得.
四、解答题:本题共5小题,共77分.解答应写出文字说明,证明过程或演算步骤.
15. 已知是角的终边上一点,且.
(1)求和的值;
(2)求当为奇数时,的值.
解:(1)因为,所以,
所以,
解得.
(2)当时,
.
16. 已知函数的振幅为5,最小正周期为,初相为,将函数的图像向左平移个单位长度,再将每个点的横坐标缩短为原来的(纵坐标不变),得到函数的图像.
(1)求的表达式;
(2)求的对称轴方程与单调递增区间.
解:(1)由题意得,解得,又,所以,
将函数的图像向左平移个单位长度,
得到的图像,
再将每个点的横坐标缩短为原来的(纵坐标不变),得到的图像,
故.
(2)令,得,
即的对称轴方程为.
令,得,
即函数的单调递增区间为.
17. 已知幂函数在区间上单调递增,定义域为的函数满足,且当时,函数.
(1)求的解析式;
(2)求在区间上的解析式及零点.
解:(1)由,得或,
因为幂函数在区间上单调递增,
所以,故,所以.
(2)当时,函数.
由得函数的周期,
由,则,故,
又,所以.
令,得或,故零点为15,17.
18. 蚊子是多种疾病的传播媒介,对人畜都有较大的危害.某热带养殖场为检测蚊虫密度,在养殖区悬挂多盏诱蚊灯,去年每月收集28天,连续检测了12个月,其中5月份蚊虫最多,11月份最少,由于工作人员不小心,某些月份数据丢失,保留的月份及每月对应的蚁虫密度值的数据如下表:
(1)从,且,且中选择一个合适的函数模型,并给出理由;
(2)在(1)的基础上,求出蚊虫密度关于月份的拟合模型的解析式;
(3)今年养殖场新引进的某种动物容易感染疟疾,养殖场计划当蚊虫密度不低于62时,将采取灭蚊措施.若此养殖场今年的蚊虫密度符合(2)中的函数模型,估计养殖场应准备在哪几个月采取灭蚊措施?
解:(1)适合.
当与时,,而,且与,且均为单调函数,
所以适合.
(2)由5月份蚊虫最多,11月份最少,得,所以,得,
由,得,
所以,
将代入得,
即,又,所以,
故.
(3)令,得,
即,得,
又,故,
即养殖场应准备在月采取灭蚊措施.
19. 已知函数.
(1)当时,求的最小值及相应的的值;
(2)已知函数
(i)若,求的取值范围;
(ii)若,使,求的取值范围.
解:(1),
若,当时,取最小值,最小值为3,
由,得,解得,
故时,取最小值3.
(2)(i),令,当时,,
令,对称轴为,
因为,则,故,由及,
得.
(ii)设的值域为的值域为,
若,使,则,
由(i)得,,
①当,即时,
,
若,则,
得,又,故;
②当,即时,
,
若,则,
得,又,得.
综上,的取值范围为.2
5
8
11
42
82
42
2
相关试卷
这是一份2024-2025学年江西省多校联考高一(下)期末数学试卷(含解析),共16页。
这是一份2024-2025学年江西省多校联考高一(下)期末数学试卷(含解析),共17页。试卷主要包含了单选题,多选题,填空题,解答题等内容,欢迎下载使用。
这是一份(全卷解析)江西省多校联考2024-2025学年高一下学期第一次学情联合检测月考数学试题,文件包含江西省多校联考2024-2025学年高一下学期第一次学情联合检测数学试题pdf、江西省多校联考2024-2025学年高一下学期第一次学情联合检测数学试题答案pdf等2份试卷配套教学资源,其中试卷共8页, 欢迎下载使用。
相关试卷 更多
- 1.电子资料成功下载后不支持退换,如发现资料有内容错误问题请联系客服,如若属实,我们会补偿您的损失
- 2.压缩包下载后请先用软件解压,再使用对应软件打开;软件版本较低时请及时更新
- 3.资料下载成功后可在60天以内免费重复下载
免费领取教师福利

