搜索
      上传资料 赚现金

      2025《金版新学案》高三数学二轮专题复习含教师版及课件

      • 739.97 MB
      • 2025-04-16 23:45:56
      • 311
      • 0
      • 压轴数学陈老师
      加入资料篮
      立即下载
      查看完整配套(共106份)
      包含资料(106份) 收起列表
      课件
      1 回顾一~回顾五.pptx
      预览
      课件
      2 第二讲  统计与成对数据的统计分析.pptx
      预览
      课件
      1 第一讲 函数的图象与性质.pptx
      预览
      课件
      2 回顾六~回顾八.pptx
      预览
      课件
      1 第一讲 直线与圆.pptx
      预览
      课件
      1 第一讲 空间几何体的表面积与体积.pptx
      预览
      课件
      1 第一讲  概率、随机变量及其分布.pptx
      预览
      课件
      1 第一讲 三角函数的图象与性质.pptx
      预览
      课件
      2 引领二 悟思想 润素养.pptx
      预览
      课件
      2 第二讲  数列求和及其综合应用.pptx
      预览
      课件
      2 第二讲 三角恒等变换与解三角形.pptx
      预览
      课件
      2 第二讲 圆锥曲线的定义、方程与性质.pptx
      预览
      课件
      2 第二讲 基本初等函数、函数与方程.pptx
      预览
      课件
      2 第二讲 空间点、直线、平面之间的位置关系.pptx
      预览
      课件
      3 第三讲 利用导数研究函数的性质.pptx
      预览
      课件
      3 第三讲 圆锥曲线的综合问题.pptx
      预览
      课件
      3 第三讲 空间向量与空间角.pptx
      预览
      课件
      5 培优拓展5 解析几何中优化运算的常见技法.pptx
      预览
      课件
      4 第四讲 函数与导数的综合问题.pptx
      预览
      课件
      4 第四讲 空间向量与距离、探究性问题.pptx
      预览
      课件
      1 第一讲  等差数列、等比数列.pptx
      预览
      课件
      6 重难突破9 球的切、接、截面问题.pptx
      预览
      课件
      1 引领一 新高考 新趋势.pptx
      预览
      课件
      7 重难突破10 立体几何中的动态问题.pptx
      预览
      课件
      2 第二讲 新高考压轴大题——新情境问题.pptx
      预览
      课件
      4 重难突破12 体育比赛与闯关问题.pptx
      预览
      课件
      3 第三讲 新高考压轴大题——学科交汇问题.pptx
      预览
      课件
      4 重难突破1 与平面向量有关的最值、范围问题.pptx
      预览
      课件
      1 第一讲 新高考压轴大题——新定义问题.pptx
      预览
      课件
      6 重难突破3 三角形中的最值、范围问题.pptx
      预览
      课件
      5 培优拓展3 生产生活情境下的预测与决策问题.pptx
      预览
      课件
      6 培优拓展4 概率与数列、函数、导数的综合问题.pptx
      预览
      课件
      4 重难突破5 裂项相消问题新视角.pptx
      预览
      课件
      8 重难突破11 立体几何中的截面、交线问题.pptx
      预览
      课件
      5 重难突破2 三角函数中与ω,φ相关的问题.pptx
      预览
      课件
      5 重难突破6 数列中的奇、偶项问题.pptx
      预览
      课件
      8 重难突破15 极值点偏移问题.pptx
      预览
      课件
      7 重难突破4 三角形中的特殊线段问题.pptx
      预览
      课件
      6 重难突破7 数列的重构问题.pptx
      预览
      课件
      10 培优拓展7 洛必达法则、泰勒展开式.pptx
      预览
      课件
      9 培优拓展2 奔驰定理与三角形的四心.pptx
      预览
      课件
      6 重难突破13 切线与公切线问题.pptx
      预览
      课件
      7 重难突破14 隐零点问题.pptx
      预览
      课件
      9 培优拓展6 导数中的同构问题.pptx
      预览
      课件
      8 培优拓展1 极化恒等式与等和(高)线.pptx
      预览
      课件
      7 重难突破8 数列中的证明及放缩问题.pptx
      预览
      课件
      11 培优拓展8 导数中常见的放缩应用.pptx
      预览
      课件
      3 规范答题(四) 概率与统计(审图表、数据).pptx
      预览
      课件
      3 规范答题(二) 数列(审结论).pptx
      预览
      课件
      5 规范答题(六) 函数与导数(审方法).pptx
      预览
      课件
      5 规范答题(三) 立体几何(审图形).pptx
      预览
      课件
      4 规范答题(五) 解析几何(审范围).pptx
      预览
      课件
      3 规范答题(一) 三角函数与解三角形(审条件).pptx
      预览
      练习
      3 第三讲  圆锥曲线的综合问题.docx
      预览
      练习
      2 引领二 悟思想 润素养.docx
      预览
      练习
      1 第一讲  直线与圆.docx
      预览
      练习
      1 第一讲  三角函数的图象与性质.docx
      预览
      练习
      2 第二讲  三角恒等变换与解三角形.docx
      预览
      练习
      1 第一讲  等差数列、等比数列.docx
      预览
      练习
      2 第二讲  数列求和及其综合应用.docx
      预览
      练习
      5 培优拓展5 解析几何中优化运算的常见技法.docx
      预览
      练习
      2 第二讲  圆锥曲线的定义、方程与性质.docx
      预览
      练习
      1 引领一 新高考 新趋势.docx
      预览
      练习
      6 重难突破3 三角形中的最值、范围问题.docx
      预览
      练习
      7 重难突破4 三角形中的特殊线段问题.docx
      预览
      练习
      4 重难突破1 与平面向量有关的最值、范围问题.docx
      预览
      练习
      5 重难突破6 数列中的奇、偶项问题.docx
      预览
      练习
      4 重难突破5 裂项相消问题新视角.docx
      预览
      练习
      6 重难突破7 数列的重构问题.docx
      预览
      练习
      5 重难突破2 三角函数中与ω,φ相关的问题.docx
      预览
      练习
      9 培优拓展2 奔驰定理与三角形的四心.docx
      预览
      练习
      8 培优拓展1 极化恒等式与等和(高)线.docx
      预览
      练习
      7 重难突破8 数列中的证明及放缩问题.docx
      预览
      练习
      4 规范答题(五) 解析几何(审范围).docx
      预览
      练习
      3 规范答题(二) 数列(审结论).docx
      预览
      练习
      3 规范答题(一) 三角函数与解三角形(审条件).docx
      预览
      4 第四讲 函数与导数的综合问题.DOCX
      预览
      2 第二讲  空间点、直线、平面之间的位置关系.DOCX
      预览
      1 第一讲  概率、随机变量及其分布.DOCX
      预览
      1 回顾一~回顾五.DOCX
      预览
      4 第四讲  空间向量与距离、探究性问题.DOCX
      预览
      1 第一讲 函数的图象与性质.DOCX
      预览
      3 第三讲  空间向量与空间角.DOCX
      预览
      2 第二讲 基本初等函数、函数与方程.DOCX
      预览
      2 第二讲  统计与成对数据的统计分析.DOCX
      预览
      1 第一讲  空间几何体的表面积与体积.DOCX
      预览
      3 第三讲 利用导数研究函数的性质.DOCX
      预览
      6 重难突破9 球的切、接、截面问题.DOCX
      预览
      2 第二讲 新高考压轴大题——新情境问题.DOCX
      预览
      4 重难突破12 体育比赛与闯关问题.DOCX
      预览
      3 第三讲 新高考压轴大题——学科交汇问题.DOCX
      预览
      1 第一讲 新高考压轴大题——新定义问题.DOCX
      预览
      7 重难突破10 立体几何中的动态问题.DOCX
      预览
      5 培优拓展3 生产生活情境下的预测与决策问题.DOCX
      预览
      8 重难突破15 极值点偏移问题.DOCX
      预览
      8 重难突破11 立体几何中的截面、交线问题.DOCX
      预览
      10 培优拓展7 洛必达法则、泰勒展开式.DOCX
      预览
      6 重难突破13 切线与公切线问题.DOCX
      预览
      7 重难突破14 隐零点问题.DOCX
      预览
      6 培优拓展4 概率与数列、函数、导数的综合问题.DOCX
      预览
      9 培优拓展6 导数中的同构问题.DOCX
      预览
      11 培优拓展8 导数中常见的放缩应用.DOCX
      预览
      2 回顾六~回顾八.DOCX
      预览
      5 规范答题(六) 函数与导数(审方法).DOCX
      预览
      3 规范答题(四) 概率与统计(审图表、数据).DOCX
      预览
      5 规范答题(三) 立体几何(审图形).DOCX
      预览
      正在预览:1 回顾一~回顾五.pptx
      1 回顾一~回顾五第1页
      高清全屏预览
      1/60
      1 回顾一~回顾五第2页
      高清全屏预览
      2/60
      1 回顾一~回顾五第3页
      高清全屏预览
      3/60
      1 回顾一~回顾五第4页
      高清全屏预览
      4/60
      1 回顾一~回顾五第5页
      高清全屏预览
      5/60
      1 回顾一~回顾五第6页
      高清全屏预览
      6/60
      1 回顾一~回顾五第7页
      高清全屏预览
      7/60
      1 回顾一~回顾五第8页
      高清全屏预览
      8/60
      2 第二讲  统计与成对数据的统计分析第1页
      高清全屏预览
      1/60
      2 第二讲  统计与成对数据的统计分析第2页
      高清全屏预览
      2/60
      2 第二讲  统计与成对数据的统计分析第3页
      高清全屏预览
      3/60
      2 第二讲  统计与成对数据的统计分析第4页
      高清全屏预览
      4/60
      2 第二讲  统计与成对数据的统计分析第5页
      高清全屏预览
      5/60
      2 第二讲  统计与成对数据的统计分析第6页
      高清全屏预览
      6/60
      2 第二讲  统计与成对数据的统计分析第7页
      高清全屏预览
      7/60
      2 第二讲  统计与成对数据的统计分析第8页
      高清全屏预览
      8/60
      1 第一讲 函数的图象与性质第1页
      高清全屏预览
      1/60
      1 第一讲 函数的图象与性质第2页
      高清全屏预览
      2/60
      1 第一讲 函数的图象与性质第3页
      高清全屏预览
      3/60
      1 第一讲 函数的图象与性质第4页
      高清全屏预览
      4/60
      1 第一讲 函数的图象与性质第5页
      高清全屏预览
      5/60
      1 第一讲 函数的图象与性质第6页
      高清全屏预览
      6/60
      1 第一讲 函数的图象与性质第7页
      高清全屏预览
      7/60
      1 第一讲 函数的图象与性质第8页
      高清全屏预览
      8/60
      2 回顾六~回顾八第1页
      高清全屏预览
      1/60
      2 回顾六~回顾八第2页
      高清全屏预览
      2/60
      2 回顾六~回顾八第3页
      高清全屏预览
      3/60
      2 回顾六~回顾八第4页
      高清全屏预览
      4/60
      2 回顾六~回顾八第5页
      高清全屏预览
      5/60
      2 回顾六~回顾八第6页
      高清全屏预览
      6/60
      2 回顾六~回顾八第7页
      高清全屏预览
      7/60
      2 回顾六~回顾八第8页
      高清全屏预览
      8/60
      1 第一讲 直线与圆第1页
      高清全屏预览
      1/60
      1 第一讲 直线与圆第2页
      高清全屏预览
      2/60
      1 第一讲 直线与圆第3页
      高清全屏预览
      3/60
      1 第一讲 直线与圆第4页
      高清全屏预览
      4/60
      1 第一讲 直线与圆第5页
      高清全屏预览
      5/60
      1 第一讲 直线与圆第6页
      高清全屏预览
      6/60
      1 第一讲 直线与圆第7页
      高清全屏预览
      7/60
      1 第一讲 直线与圆第8页
      高清全屏预览
      8/60
      1 第一讲 空间几何体的表面积与体积第1页
      高清全屏预览
      1/60
      1 第一讲 空间几何体的表面积与体积第2页
      高清全屏预览
      2/60
      1 第一讲 空间几何体的表面积与体积第3页
      高清全屏预览
      3/60
      1 第一讲 空间几何体的表面积与体积第4页
      高清全屏预览
      4/60
      1 第一讲 空间几何体的表面积与体积第5页
      高清全屏预览
      5/60
      1 第一讲 空间几何体的表面积与体积第6页
      高清全屏预览
      6/60
      1 第一讲 空间几何体的表面积与体积第7页
      高清全屏预览
      7/60
      1 第一讲 空间几何体的表面积与体积第8页
      高清全屏预览
      8/60
      1 第一讲  概率、随机变量及其分布第1页
      高清全屏预览
      1/60
      1 第一讲  概率、随机变量及其分布第2页
      高清全屏预览
      2/60
      1 第一讲  概率、随机变量及其分布第3页
      高清全屏预览
      3/60
      1 第一讲  概率、随机变量及其分布第4页
      高清全屏预览
      4/60
      1 第一讲  概率、随机变量及其分布第5页
      高清全屏预览
      5/60
      1 第一讲  概率、随机变量及其分布第6页
      高清全屏预览
      6/60
      1 第一讲  概率、随机变量及其分布第7页
      高清全屏预览
      7/60
      1 第一讲  概率、随机变量及其分布第8页
      高清全屏预览
      8/60
      1 第一讲 三角函数的图象与性质第1页
      高清全屏预览
      1/60
      1 第一讲 三角函数的图象与性质第2页
      高清全屏预览
      2/60
      1 第一讲 三角函数的图象与性质第3页
      高清全屏预览
      3/60
      1 第一讲 三角函数的图象与性质第4页
      高清全屏预览
      4/60
      1 第一讲 三角函数的图象与性质第5页
      高清全屏预览
      5/60
      1 第一讲 三角函数的图象与性质第6页
      高清全屏预览
      6/60
      1 第一讲 三角函数的图象与性质第7页
      高清全屏预览
      7/60
      1 第一讲 三角函数的图象与性质第8页
      高清全屏预览
      8/60
      2 引领二 悟思想 润素养第1页
      高清全屏预览
      1/60
      2 引领二 悟思想 润素养第2页
      高清全屏预览
      2/60
      2 引领二 悟思想 润素养第3页
      高清全屏预览
      3/60
      2 引领二 悟思想 润素养第4页
      高清全屏预览
      4/60
      2 引领二 悟思想 润素养第5页
      高清全屏预览
      5/60
      2 引领二 悟思想 润素养第6页
      高清全屏预览
      6/60
      2 引领二 悟思想 润素养第7页
      高清全屏预览
      7/60
      2 引领二 悟思想 润素养第8页
      高清全屏预览
      8/60
      2 第二讲  数列求和及其综合应用第1页
      高清全屏预览
      1/60
      2 第二讲  数列求和及其综合应用第2页
      高清全屏预览
      2/60
      2 第二讲  数列求和及其综合应用第3页
      高清全屏预览
      3/60
      2 第二讲  数列求和及其综合应用第4页
      高清全屏预览
      4/60
      2 第二讲  数列求和及其综合应用第5页
      高清全屏预览
      5/60
      2 第二讲  数列求和及其综合应用第6页
      高清全屏预览
      6/60
      2 第二讲  数列求和及其综合应用第7页
      高清全屏预览
      7/60
      2 第二讲  数列求和及其综合应用第8页
      高清全屏预览
      8/60
      2 第二讲 三角恒等变换与解三角形第1页
      高清全屏预览
      1/60
      2 第二讲 三角恒等变换与解三角形第2页
      高清全屏预览
      2/60
      2 第二讲 三角恒等变换与解三角形第3页
      高清全屏预览
      3/60
      2 第二讲 三角恒等变换与解三角形第4页
      高清全屏预览
      4/60
      2 第二讲 三角恒等变换与解三角形第5页
      高清全屏预览
      5/60
      2 第二讲 三角恒等变换与解三角形第6页
      高清全屏预览
      6/60
      2 第二讲 三角恒等变换与解三角形第7页
      高清全屏预览
      7/60
      2 第二讲 三角恒等变换与解三角形第8页
      高清全屏预览
      8/60
      2 第二讲 圆锥曲线的定义、方程与性质第1页
      高清全屏预览
      1/60
      2 第二讲 圆锥曲线的定义、方程与性质第2页
      高清全屏预览
      2/60
      2 第二讲 圆锥曲线的定义、方程与性质第3页
      高清全屏预览
      3/60
      2 第二讲 圆锥曲线的定义、方程与性质第4页
      高清全屏预览
      4/60
      2 第二讲 圆锥曲线的定义、方程与性质第5页
      高清全屏预览
      5/60
      2 第二讲 圆锥曲线的定义、方程与性质第6页
      高清全屏预览
      6/60
      2 第二讲 圆锥曲线的定义、方程与性质第7页
      高清全屏预览
      7/60
      2 第二讲 圆锥曲线的定义、方程与性质第8页
      高清全屏预览
      8/60
      2 第二讲 基本初等函数、函数与方程第1页
      高清全屏预览
      1/60
      2 第二讲 基本初等函数、函数与方程第2页
      高清全屏预览
      2/60
      2 第二讲 基本初等函数、函数与方程第3页
      高清全屏预览
      3/60
      2 第二讲 基本初等函数、函数与方程第4页
      高清全屏预览
      4/60
      2 第二讲 基本初等函数、函数与方程第5页
      高清全屏预览
      5/60
      2 第二讲 基本初等函数、函数与方程第6页
      高清全屏预览
      6/60
      2 第二讲 基本初等函数、函数与方程第7页
      高清全屏预览
      7/60
      2 第二讲 基本初等函数、函数与方程第8页
      高清全屏预览
      8/60
      2 第二讲 空间点、直线、平面之间的位置关系第1页
      高清全屏预览
      1/60
      2 第二讲 空间点、直线、平面之间的位置关系第2页
      高清全屏预览
      2/60
      2 第二讲 空间点、直线、平面之间的位置关系第3页
      高清全屏预览
      3/60
      2 第二讲 空间点、直线、平面之间的位置关系第4页
      高清全屏预览
      4/60
      2 第二讲 空间点、直线、平面之间的位置关系第5页
      高清全屏预览
      5/60
      2 第二讲 空间点、直线、平面之间的位置关系第6页
      高清全屏预览
      6/60
      2 第二讲 空间点、直线、平面之间的位置关系第7页
      高清全屏预览
      7/60
      2 第二讲 空间点、直线、平面之间的位置关系第8页
      高清全屏预览
      8/60
      3 第三讲 利用导数研究函数的性质第1页
      高清全屏预览
      1/60
      3 第三讲 利用导数研究函数的性质第2页
      高清全屏预览
      2/60
      3 第三讲 利用导数研究函数的性质第3页
      高清全屏预览
      3/60
      3 第三讲 利用导数研究函数的性质第4页
      高清全屏预览
      4/60
      3 第三讲 利用导数研究函数的性质第5页
      高清全屏预览
      5/60
      3 第三讲 利用导数研究函数的性质第6页
      高清全屏预览
      6/60
      3 第三讲 利用导数研究函数的性质第7页
      高清全屏预览
      7/60
      3 第三讲 利用导数研究函数的性质第8页
      高清全屏预览
      8/60
      3 第三讲 圆锥曲线的综合问题第1页
      高清全屏预览
      1/60
      3 第三讲 圆锥曲线的综合问题第2页
      高清全屏预览
      2/60
      3 第三讲 圆锥曲线的综合问题第3页
      高清全屏预览
      3/60
      3 第三讲 圆锥曲线的综合问题第4页
      高清全屏预览
      4/60
      3 第三讲 圆锥曲线的综合问题第5页
      高清全屏预览
      5/60
      3 第三讲 圆锥曲线的综合问题第6页
      高清全屏预览
      6/60
      3 第三讲 圆锥曲线的综合问题第7页
      高清全屏预览
      7/60
      3 第三讲 圆锥曲线的综合问题第8页
      高清全屏预览
      8/60
      3 第三讲 空间向量与空间角第1页
      高清全屏预览
      1/60
      3 第三讲 空间向量与空间角第2页
      高清全屏预览
      2/60
      3 第三讲 空间向量与空间角第3页
      高清全屏预览
      3/60
      3 第三讲 空间向量与空间角第4页
      高清全屏预览
      4/60
      3 第三讲 空间向量与空间角第5页
      高清全屏预览
      5/60
      3 第三讲 空间向量与空间角第6页
      高清全屏预览
      6/60
      3 第三讲 空间向量与空间角第7页
      高清全屏预览
      7/60
      3 第三讲 空间向量与空间角第8页
      高清全屏预览
      8/60
      5 培优拓展5 解析几何中优化运算的常见技法第1页
      高清全屏预览
      1/60
      5 培优拓展5 解析几何中优化运算的常见技法第2页
      高清全屏预览
      2/60
      5 培优拓展5 解析几何中优化运算的常见技法第3页
      高清全屏预览
      3/60
      5 培优拓展5 解析几何中优化运算的常见技法第4页
      高清全屏预览
      4/60
      5 培优拓展5 解析几何中优化运算的常见技法第5页
      高清全屏预览
      5/60
      5 培优拓展5 解析几何中优化运算的常见技法第6页
      高清全屏预览
      6/60
      5 培优拓展5 解析几何中优化运算的常见技法第7页
      高清全屏预览
      7/60
      5 培优拓展5 解析几何中优化运算的常见技法第8页
      高清全屏预览
      8/60
      4 第四讲 函数与导数的综合问题第1页
      高清全屏预览
      1/60
      4 第四讲 函数与导数的综合问题第2页
      高清全屏预览
      2/60
      4 第四讲 函数与导数的综合问题第3页
      高清全屏预览
      3/60
      4 第四讲 函数与导数的综合问题第4页
      高清全屏预览
      4/60
      4 第四讲 函数与导数的综合问题第5页
      高清全屏预览
      5/60
      4 第四讲 函数与导数的综合问题第6页
      高清全屏预览
      6/60
      4 第四讲 函数与导数的综合问题第7页
      高清全屏预览
      7/60
      4 第四讲 函数与导数的综合问题第8页
      高清全屏预览
      8/60
      4 第四讲 空间向量与距离、探究性问题第1页
      高清全屏预览
      1/60
      4 第四讲 空间向量与距离、探究性问题第2页
      高清全屏预览
      2/60
      4 第四讲 空间向量与距离、探究性问题第3页
      高清全屏预览
      3/60
      4 第四讲 空间向量与距离、探究性问题第4页
      高清全屏预览
      4/60
      4 第四讲 空间向量与距离、探究性问题第5页
      高清全屏预览
      5/60
      4 第四讲 空间向量与距离、探究性问题第6页
      高清全屏预览
      6/60
      4 第四讲 空间向量与距离、探究性问题第7页
      高清全屏预览
      7/60
      4 第四讲 空间向量与距离、探究性问题第8页
      高清全屏预览
      8/60
      1 第一讲  等差数列、等比数列第1页
      高清全屏预览
      1/59
      1 第一讲  等差数列、等比数列第2页
      高清全屏预览
      2/59
      1 第一讲  等差数列、等比数列第3页
      高清全屏预览
      3/59
      1 第一讲  等差数列、等比数列第4页
      高清全屏预览
      4/59
      1 第一讲  等差数列、等比数列第5页
      高清全屏预览
      5/59
      1 第一讲  等差数列、等比数列第6页
      高清全屏预览
      6/59
      1 第一讲  等差数列、等比数列第7页
      高清全屏预览
      7/59
      1 第一讲  等差数列、等比数列第8页
      高清全屏预览
      8/59
      6 重难突破9 球的切、接、截面问题第1页
      高清全屏预览
      1/56
      6 重难突破9 球的切、接、截面问题第2页
      高清全屏预览
      2/56
      6 重难突破9 球的切、接、截面问题第3页
      高清全屏预览
      3/56
      6 重难突破9 球的切、接、截面问题第4页
      高清全屏预览
      4/56
      6 重难突破9 球的切、接、截面问题第5页
      高清全屏预览
      5/56
      6 重难突破9 球的切、接、截面问题第6页
      高清全屏预览
      6/56
      6 重难突破9 球的切、接、截面问题第7页
      高清全屏预览
      7/56
      6 重难突破9 球的切、接、截面问题第8页
      高清全屏预览
      8/56
      1 引领一 新高考 新趋势第1页
      高清全屏预览
      1/55
      1 引领一 新高考 新趋势第2页
      高清全屏预览
      2/55
      1 引领一 新高考 新趋势第3页
      高清全屏预览
      3/55
      1 引领一 新高考 新趋势第4页
      高清全屏预览
      4/55
      1 引领一 新高考 新趋势第5页
      高清全屏预览
      5/55
      1 引领一 新高考 新趋势第6页
      高清全屏预览
      6/55
      1 引领一 新高考 新趋势第7页
      高清全屏预览
      7/55
      1 引领一 新高考 新趋势第8页
      高清全屏预览
      8/55
      7 重难突破10 立体几何中的动态问题第1页
      高清全屏预览
      1/48
      7 重难突破10 立体几何中的动态问题第2页
      高清全屏预览
      2/48
      7 重难突破10 立体几何中的动态问题第3页
      高清全屏预览
      3/48
      7 重难突破10 立体几何中的动态问题第4页
      高清全屏预览
      4/48
      7 重难突破10 立体几何中的动态问题第5页
      高清全屏预览
      5/48
      7 重难突破10 立体几何中的动态问题第6页
      高清全屏预览
      6/48
      7 重难突破10 立体几何中的动态问题第7页
      高清全屏预览
      7/48
      7 重难突破10 立体几何中的动态问题第8页
      高清全屏预览
      8/48
      2 第二讲 新高考压轴大题——新情境问题第1页
      高清全屏预览
      1/48
      2 第二讲 新高考压轴大题——新情境问题第2页
      高清全屏预览
      2/48
      2 第二讲 新高考压轴大题——新情境问题第3页
      高清全屏预览
      3/48
      2 第二讲 新高考压轴大题——新情境问题第4页
      高清全屏预览
      4/48
      2 第二讲 新高考压轴大题——新情境问题第5页
      高清全屏预览
      5/48
      2 第二讲 新高考压轴大题——新情境问题第6页
      高清全屏预览
      6/48
      2 第二讲 新高考压轴大题——新情境问题第7页
      高清全屏预览
      7/48
      2 第二讲 新高考压轴大题——新情境问题第8页
      高清全屏预览
      8/48
      4 重难突破12 体育比赛与闯关问题第1页
      高清全屏预览
      1/46
      4 重难突破12 体育比赛与闯关问题第2页
      高清全屏预览
      2/46
      4 重难突破12 体育比赛与闯关问题第3页
      高清全屏预览
      3/46
      4 重难突破12 体育比赛与闯关问题第4页
      高清全屏预览
      4/46
      4 重难突破12 体育比赛与闯关问题第5页
      高清全屏预览
      5/46
      4 重难突破12 体育比赛与闯关问题第6页
      高清全屏预览
      6/46
      4 重难突破12 体育比赛与闯关问题第7页
      高清全屏预览
      7/46
      4 重难突破12 体育比赛与闯关问题第8页
      高清全屏预览
      8/46
      3 第三讲 新高考压轴大题——学科交汇问题第1页
      高清全屏预览
      1/46
      3 第三讲 新高考压轴大题——学科交汇问题第2页
      高清全屏预览
      2/46
      3 第三讲 新高考压轴大题——学科交汇问题第3页
      高清全屏预览
      3/46
      3 第三讲 新高考压轴大题——学科交汇问题第4页
      高清全屏预览
      4/46
      3 第三讲 新高考压轴大题——学科交汇问题第5页
      高清全屏预览
      5/46
      3 第三讲 新高考压轴大题——学科交汇问题第6页
      高清全屏预览
      6/46
      3 第三讲 新高考压轴大题——学科交汇问题第7页
      高清全屏预览
      7/46
      3 第三讲 新高考压轴大题——学科交汇问题第8页
      高清全屏预览
      8/46
      4 重难突破1 与平面向量有关的最值、范围问题第1页
      高清全屏预览
      1/44
      4 重难突破1 与平面向量有关的最值、范围问题第2页
      高清全屏预览
      2/44
      4 重难突破1 与平面向量有关的最值、范围问题第3页
      高清全屏预览
      3/44
      4 重难突破1 与平面向量有关的最值、范围问题第4页
      高清全屏预览
      4/44
      4 重难突破1 与平面向量有关的最值、范围问题第5页
      高清全屏预览
      5/44
      4 重难突破1 与平面向量有关的最值、范围问题第6页
      高清全屏预览
      6/44
      4 重难突破1 与平面向量有关的最值、范围问题第7页
      高清全屏预览
      7/44
      4 重难突破1 与平面向量有关的最值、范围问题第8页
      高清全屏预览
      8/44
      1 第一讲 新高考压轴大题——新定义问题第1页
      高清全屏预览
      1/42
      1 第一讲 新高考压轴大题——新定义问题第2页
      高清全屏预览
      2/42
      1 第一讲 新高考压轴大题——新定义问题第3页
      高清全屏预览
      3/42
      1 第一讲 新高考压轴大题——新定义问题第4页
      高清全屏预览
      4/42
      1 第一讲 新高考压轴大题——新定义问题第5页
      高清全屏预览
      5/42
      1 第一讲 新高考压轴大题——新定义问题第6页
      高清全屏预览
      6/42
      1 第一讲 新高考压轴大题——新定义问题第7页
      高清全屏预览
      7/42
      1 第一讲 新高考压轴大题——新定义问题第8页
      高清全屏预览
      8/42
      6 重难突破3 三角形中的最值、范围问题第1页
      高清全屏预览
      1/40
      6 重难突破3 三角形中的最值、范围问题第2页
      高清全屏预览
      2/40
      6 重难突破3 三角形中的最值、范围问题第3页
      高清全屏预览
      3/40
      6 重难突破3 三角形中的最值、范围问题第4页
      高清全屏预览
      4/40
      6 重难突破3 三角形中的最值、范围问题第5页
      高清全屏预览
      5/40
      6 重难突破3 三角形中的最值、范围问题第6页
      高清全屏预览
      6/40
      6 重难突破3 三角形中的最值、范围问题第7页
      高清全屏预览
      7/40
      6 重难突破3 三角形中的最值、范围问题第8页
      高清全屏预览
      8/40
      5 培优拓展3 生产生活情境下的预测与决策问题第1页
      高清全屏预览
      1/40
      5 培优拓展3 生产生活情境下的预测与决策问题第2页
      高清全屏预览
      2/40
      5 培优拓展3 生产生活情境下的预测与决策问题第3页
      高清全屏预览
      3/40
      5 培优拓展3 生产生活情境下的预测与决策问题第4页
      高清全屏预览
      4/40
      5 培优拓展3 生产生活情境下的预测与决策问题第5页
      高清全屏预览
      5/40
      5 培优拓展3 生产生活情境下的预测与决策问题第6页
      高清全屏预览
      6/40
      5 培优拓展3 生产生活情境下的预测与决策问题第7页
      高清全屏预览
      7/40
      5 培优拓展3 生产生活情境下的预测与决策问题第8页
      高清全屏预览
      8/40
      6 培优拓展4 概率与数列、函数、导数的综合问题第1页
      高清全屏预览
      1/40
      6 培优拓展4 概率与数列、函数、导数的综合问题第2页
      高清全屏预览
      2/40
      6 培优拓展4 概率与数列、函数、导数的综合问题第3页
      高清全屏预览
      3/40
      6 培优拓展4 概率与数列、函数、导数的综合问题第4页
      高清全屏预览
      4/40
      6 培优拓展4 概率与数列、函数、导数的综合问题第5页
      高清全屏预览
      5/40
      6 培优拓展4 概率与数列、函数、导数的综合问题第6页
      高清全屏预览
      6/40
      6 培优拓展4 概率与数列、函数、导数的综合问题第7页
      高清全屏预览
      7/40
      6 培优拓展4 概率与数列、函数、导数的综合问题第8页
      高清全屏预览
      8/40
      4 重难突破5 裂项相消问题新视角第1页
      高清全屏预览
      1/40
      4 重难突破5 裂项相消问题新视角第2页
      高清全屏预览
      2/40
      4 重难突破5 裂项相消问题新视角第3页
      高清全屏预览
      3/40
      4 重难突破5 裂项相消问题新视角第4页
      高清全屏预览
      4/40
      4 重难突破5 裂项相消问题新视角第5页
      高清全屏预览
      5/40
      4 重难突破5 裂项相消问题新视角第6页
      高清全屏预览
      6/40
      4 重难突破5 裂项相消问题新视角第7页
      高清全屏预览
      7/40
      4 重难突破5 裂项相消问题新视角第8页
      高清全屏预览
      8/40
      8 重难突破11 立体几何中的截面、交线问题第1页
      高清全屏预览
      1/38
      8 重难突破11 立体几何中的截面、交线问题第2页
      高清全屏预览
      2/38
      8 重难突破11 立体几何中的截面、交线问题第3页
      高清全屏预览
      3/38
      8 重难突破11 立体几何中的截面、交线问题第4页
      高清全屏预览
      4/38
      8 重难突破11 立体几何中的截面、交线问题第5页
      高清全屏预览
      5/38
      8 重难突破11 立体几何中的截面、交线问题第6页
      高清全屏预览
      6/38
      8 重难突破11 立体几何中的截面、交线问题第7页
      高清全屏预览
      7/38
      8 重难突破11 立体几何中的截面、交线问题第8页
      高清全屏预览
      8/38
      5 重难突破2 三角函数中与ω,φ相关的问题第1页
      高清全屏预览
      1/37
      5 重难突破2 三角函数中与ω,φ相关的问题第2页
      高清全屏预览
      2/37
      5 重难突破2 三角函数中与ω,φ相关的问题第3页
      高清全屏预览
      3/37
      5 重难突破2 三角函数中与ω,φ相关的问题第4页
      高清全屏预览
      4/37
      5 重难突破2 三角函数中与ω,φ相关的问题第5页
      高清全屏预览
      5/37
      5 重难突破2 三角函数中与ω,φ相关的问题第6页
      高清全屏预览
      6/37
      5 重难突破2 三角函数中与ω,φ相关的问题第7页
      高清全屏预览
      7/37
      5 重难突破2 三角函数中与ω,φ相关的问题第8页
      高清全屏预览
      8/37
      5 重难突破6 数列中的奇、偶项问题第1页
      高清全屏预览
      1/37
      5 重难突破6 数列中的奇、偶项问题第2页
      高清全屏预览
      2/37
      5 重难突破6 数列中的奇、偶项问题第3页
      高清全屏预览
      3/37
      5 重难突破6 数列中的奇、偶项问题第4页
      高清全屏预览
      4/37
      5 重难突破6 数列中的奇、偶项问题第5页
      高清全屏预览
      5/37
      5 重难突破6 数列中的奇、偶项问题第6页
      高清全屏预览
      6/37
      5 重难突破6 数列中的奇、偶项问题第7页
      高清全屏预览
      7/37
      5 重难突破6 数列中的奇、偶项问题第8页
      高清全屏预览
      8/37
      8 重难突破15 极值点偏移问题第1页
      高清全屏预览
      1/37
      8 重难突破15 极值点偏移问题第2页
      高清全屏预览
      2/37
      8 重难突破15 极值点偏移问题第3页
      高清全屏预览
      3/37
      8 重难突破15 极值点偏移问题第4页
      高清全屏预览
      4/37
      8 重难突破15 极值点偏移问题第5页
      高清全屏预览
      5/37
      8 重难突破15 极值点偏移问题第6页
      高清全屏预览
      6/37
      8 重难突破15 极值点偏移问题第7页
      高清全屏预览
      7/37
      8 重难突破15 极值点偏移问题第8页
      高清全屏预览
      8/37
      7 重难突破4 三角形中的特殊线段问题第1页
      高清全屏预览
      1/36
      7 重难突破4 三角形中的特殊线段问题第2页
      高清全屏预览
      2/36
      7 重难突破4 三角形中的特殊线段问题第3页
      高清全屏预览
      3/36
      7 重难突破4 三角形中的特殊线段问题第4页
      高清全屏预览
      4/36
      7 重难突破4 三角形中的特殊线段问题第5页
      高清全屏预览
      5/36
      7 重难突破4 三角形中的特殊线段问题第6页
      高清全屏预览
      6/36
      7 重难突破4 三角形中的特殊线段问题第7页
      高清全屏预览
      7/36
      7 重难突破4 三角形中的特殊线段问题第8页
      高清全屏预览
      8/36
      6 重难突破7 数列的重构问题第1页
      高清全屏预览
      1/36
      6 重难突破7 数列的重构问题第2页
      高清全屏预览
      2/36
      6 重难突破7 数列的重构问题第3页
      高清全屏预览
      3/36
      6 重难突破7 数列的重构问题第4页
      高清全屏预览
      4/36
      6 重难突破7 数列的重构问题第5页
      高清全屏预览
      5/36
      6 重难突破7 数列的重构问题第6页
      高清全屏预览
      6/36
      6 重难突破7 数列的重构问题第7页
      高清全屏预览
      7/36
      6 重难突破7 数列的重构问题第8页
      高清全屏预览
      8/36
      10 培优拓展7 洛必达法则、泰勒展开式第1页
      高清全屏预览
      1/35
      10 培优拓展7 洛必达法则、泰勒展开式第2页
      高清全屏预览
      2/35
      10 培优拓展7 洛必达法则、泰勒展开式第3页
      高清全屏预览
      3/35
      10 培优拓展7 洛必达法则、泰勒展开式第4页
      高清全屏预览
      4/35
      10 培优拓展7 洛必达法则、泰勒展开式第5页
      高清全屏预览
      5/35
      10 培优拓展7 洛必达法则、泰勒展开式第6页
      高清全屏预览
      6/35
      10 培优拓展7 洛必达法则、泰勒展开式第7页
      高清全屏预览
      7/35
      10 培优拓展7 洛必达法则、泰勒展开式第8页
      高清全屏预览
      8/35
      9 培优拓展2 奔驰定理与三角形的四心第1页
      高清全屏预览
      1/34
      9 培优拓展2 奔驰定理与三角形的四心第2页
      高清全屏预览
      2/34
      9 培优拓展2 奔驰定理与三角形的四心第3页
      高清全屏预览
      3/34
      9 培优拓展2 奔驰定理与三角形的四心第4页
      高清全屏预览
      4/34
      9 培优拓展2 奔驰定理与三角形的四心第5页
      高清全屏预览
      5/34
      9 培优拓展2 奔驰定理与三角形的四心第6页
      高清全屏预览
      6/34
      9 培优拓展2 奔驰定理与三角形的四心第7页
      高清全屏预览
      7/34
      9 培优拓展2 奔驰定理与三角形的四心第8页
      高清全屏预览
      8/34
      6 重难突破13 切线与公切线问题第1页
      高清全屏预览
      1/34
      6 重难突破13 切线与公切线问题第2页
      高清全屏预览
      2/34
      6 重难突破13 切线与公切线问题第3页
      高清全屏预览
      3/34
      6 重难突破13 切线与公切线问题第4页
      高清全屏预览
      4/34
      6 重难突破13 切线与公切线问题第5页
      高清全屏预览
      5/34
      6 重难突破13 切线与公切线问题第6页
      高清全屏预览
      6/34
      6 重难突破13 切线与公切线问题第7页
      高清全屏预览
      7/34
      6 重难突破13 切线与公切线问题第8页
      高清全屏预览
      8/34
      7 重难突破14 隐零点问题第1页
      高清全屏预览
      1/32
      7 重难突破14 隐零点问题第2页
      高清全屏预览
      2/32
      7 重难突破14 隐零点问题第3页
      高清全屏预览
      3/32
      7 重难突破14 隐零点问题第4页
      高清全屏预览
      4/32
      7 重难突破14 隐零点问题第5页
      高清全屏预览
      5/32
      7 重难突破14 隐零点问题第6页
      高清全屏预览
      6/32
      7 重难突破14 隐零点问题第7页
      高清全屏预览
      7/32
      7 重难突破14 隐零点问题第8页
      高清全屏预览
      8/32
      9 培优拓展6 导数中的同构问题第1页
      高清全屏预览
      1/31
      9 培优拓展6 导数中的同构问题第2页
      高清全屏预览
      2/31
      9 培优拓展6 导数中的同构问题第3页
      高清全屏预览
      3/31
      9 培优拓展6 导数中的同构问题第4页
      高清全屏预览
      4/31
      9 培优拓展6 导数中的同构问题第5页
      高清全屏预览
      5/31
      9 培优拓展6 导数中的同构问题第6页
      高清全屏预览
      6/31
      9 培优拓展6 导数中的同构问题第7页
      高清全屏预览
      7/31
      9 培优拓展6 导数中的同构问题第8页
      高清全屏预览
      8/31
      8 培优拓展1 极化恒等式与等和(高)线第1页
      高清全屏预览
      1/31
      8 培优拓展1 极化恒等式与等和(高)线第2页
      高清全屏预览
      2/31
      8 培优拓展1 极化恒等式与等和(高)线第3页
      高清全屏预览
      3/31
      8 培优拓展1 极化恒等式与等和(高)线第4页
      高清全屏预览
      4/31
      8 培优拓展1 极化恒等式与等和(高)线第5页
      高清全屏预览
      5/31
      8 培优拓展1 极化恒等式与等和(高)线第6页
      高清全屏预览
      6/31
      8 培优拓展1 极化恒等式与等和(高)线第7页
      高清全屏预览
      7/31
      8 培优拓展1 极化恒等式与等和(高)线第8页
      高清全屏预览
      8/31
      7 重难突破8 数列中的证明及放缩问题第1页
      高清全屏预览
      1/28
      7 重难突破8 数列中的证明及放缩问题第2页
      高清全屏预览
      2/28
      7 重难突破8 数列中的证明及放缩问题第3页
      高清全屏预览
      3/28
      7 重难突破8 数列中的证明及放缩问题第4页
      高清全屏预览
      4/28
      7 重难突破8 数列中的证明及放缩问题第5页
      高清全屏预览
      5/28
      7 重难突破8 数列中的证明及放缩问题第6页
      高清全屏预览
      6/28
      7 重难突破8 数列中的证明及放缩问题第7页
      高清全屏预览
      7/28
      7 重难突破8 数列中的证明及放缩问题第8页
      高清全屏预览
      8/28
      11 培优拓展8 导数中常见的放缩应用第1页
      高清全屏预览
      1/25
      11 培优拓展8 导数中常见的放缩应用第2页
      高清全屏预览
      2/25
      11 培优拓展8 导数中常见的放缩应用第3页
      高清全屏预览
      3/25
      11 培优拓展8 导数中常见的放缩应用第4页
      高清全屏预览
      4/25
      11 培优拓展8 导数中常见的放缩应用第5页
      高清全屏预览
      5/25
      11 培优拓展8 导数中常见的放缩应用第6页
      高清全屏预览
      6/25
      11 培优拓展8 导数中常见的放缩应用第7页
      高清全屏预览
      7/25
      11 培优拓展8 导数中常见的放缩应用第8页
      高清全屏预览
      8/25
      3 规范答题(四) 概率与统计(审图表、数据)第1页
      高清全屏预览
      1/9
      3 规范答题(四) 概率与统计(审图表、数据)第2页
      高清全屏预览
      2/9
      3 规范答题(四) 概率与统计(审图表、数据)第3页
      高清全屏预览
      3/9
      3 规范答题(四) 概率与统计(审图表、数据)第4页
      高清全屏预览
      4/9
      3 规范答题(二) 数列(审结论)第1页
      高清全屏预览
      1/8
      3 规范答题(二) 数列(审结论)第2页
      高清全屏预览
      2/8
      3 规范答题(二) 数列(审结论)第3页
      高清全屏预览
      3/8
      3 规范答题(二) 数列(审结论)第4页
      高清全屏预览
      4/8
      5 规范答题(六) 函数与导数(审方法)第1页
      高清全屏预览
      1/8
      5 规范答题(六) 函数与导数(审方法)第2页
      高清全屏预览
      2/8
      5 规范答题(六) 函数与导数(审方法)第3页
      高清全屏预览
      3/8
      5 规范答题(六) 函数与导数(审方法)第4页
      高清全屏预览
      4/8
      5 规范答题(三) 立体几何(审图形)第1页
      高清全屏预览
      1/8
      5 规范答题(三) 立体几何(审图形)第2页
      高清全屏预览
      2/8
      5 规范答题(三) 立体几何(审图形)第3页
      高清全屏预览
      3/8
      5 规范答题(三) 立体几何(审图形)第4页
      高清全屏预览
      4/8
      4 规范答题(五) 解析几何(审范围)第1页
      高清全屏预览
      1/8
      4 规范答题(五) 解析几何(审范围)第2页
      高清全屏预览
      2/8
      4 规范答题(五) 解析几何(审范围)第3页
      高清全屏预览
      3/8
      4 规范答题(五) 解析几何(审范围)第4页
      高清全屏预览
      4/8
      3 规范答题(一) 三角函数与解三角形(审条件)第1页
      高清全屏预览
      1/7
      3 规范答题(一) 三角函数与解三角形(审条件)第2页
      高清全屏预览
      2/7
      3 规范答题(一) 三角函数与解三角形(审条件)第3页
      高清全屏预览
      3/7
      3 第三讲  圆锥曲线的综合问题第1页
      高清全屏预览
      1/41
      3 第三讲  圆锥曲线的综合问题第2页
      高清全屏预览
      2/41
      3 第三讲  圆锥曲线的综合问题第3页
      高清全屏预览
      3/41
      2 引领二 悟思想 润素养第1页
      高清全屏预览
      1/25
      2 引领二 悟思想 润素养第2页
      高清全屏预览
      2/25
      2 引领二 悟思想 润素养第3页
      高清全屏预览
      3/25
      1 第一讲  直线与圆第1页
      高清全屏预览
      1/21
      1 第一讲  直线与圆第2页
      高清全屏预览
      2/21
      1 第一讲  直线与圆第3页
      高清全屏预览
      3/21
      1 第一讲  三角函数的图象与性质第1页
      高清全屏预览
      1/21
      1 第一讲  三角函数的图象与性质第2页
      高清全屏预览
      2/21
      1 第一讲  三角函数的图象与性质第3页
      高清全屏预览
      3/21
      2 第二讲  三角恒等变换与解三角形第1页
      高清全屏预览
      1/20
      2 第二讲  三角恒等变换与解三角形第2页
      高清全屏预览
      2/20
      2 第二讲  三角恒等变换与解三角形第3页
      高清全屏预览
      3/20
      1 第一讲  等差数列、等比数列第1页
      高清全屏预览
      1/18
      1 第一讲  等差数列、等比数列第2页
      高清全屏预览
      2/18
      1 第一讲  等差数列、等比数列第3页
      高清全屏预览
      3/18
      2 第二讲  数列求和及其综合应用第1页
      高清全屏预览
      1/17
      2 第二讲  数列求和及其综合应用第2页
      高清全屏预览
      2/17
      2 第二讲  数列求和及其综合应用第3页
      高清全屏预览
      3/17
      5 培优拓展5 解析几何中优化运算的常见技法第1页
      高清全屏预览
      1/17
      5 培优拓展5 解析几何中优化运算的常见技法第2页
      高清全屏预览
      2/17
      5 培优拓展5 解析几何中优化运算的常见技法第3页
      高清全屏预览
      3/17
      2 第二讲  圆锥曲线的定义、方程与性质第1页
      高清全屏预览
      1/17
      2 第二讲  圆锥曲线的定义、方程与性质第2页
      高清全屏预览
      2/17
      2 第二讲  圆锥曲线的定义、方程与性质第3页
      高清全屏预览
      3/17
      1 引领一 新高考 新趋势第1页
      高清全屏预览
      1/15
      1 引领一 新高考 新趋势第2页
      高清全屏预览
      2/15
      1 引领一 新高考 新趋势第3页
      高清全屏预览
      3/15
      6 重难突破3 三角形中的最值、范围问题第1页
      高清全屏预览
      1/11
      6 重难突破3 三角形中的最值、范围问题第2页
      高清全屏预览
      2/11
      6 重难突破3 三角形中的最值、范围问题第3页
      高清全屏预览
      3/11
      7 重难突破4 三角形中的特殊线段问题第1页
      高清全屏预览
      1/11
      7 重难突破4 三角形中的特殊线段问题第2页
      高清全屏预览
      2/11
      7 重难突破4 三角形中的特殊线段问题第3页
      高清全屏预览
      3/11
      4 重难突破1 与平面向量有关的最值、范围问题第1页
      高清全屏预览
      1/11
      4 重难突破1 与平面向量有关的最值、范围问题第2页
      高清全屏预览
      2/11
      4 重难突破1 与平面向量有关的最值、范围问题第3页
      高清全屏预览
      3/11
      5 重难突破6 数列中的奇、偶项问题第1页
      高清全屏预览
      1/10
      5 重难突破6 数列中的奇、偶项问题第2页
      高清全屏预览
      2/10
      5 重难突破6 数列中的奇、偶项问题第3页
      高清全屏预览
      3/10
      4 重难突破5 裂项相消问题新视角第1页
      高清全屏预览
      1/10
      4 重难突破5 裂项相消问题新视角第2页
      高清全屏预览
      2/10
      4 重难突破5 裂项相消问题新视角第3页
      高清全屏预览
      3/10
      6 重难突破7 数列的重构问题第1页
      高清全屏预览
      1/10
      6 重难突破7 数列的重构问题第2页
      高清全屏预览
      2/10
      6 重难突破7 数列的重构问题第3页
      高清全屏预览
      3/10
      5 重难突破2 三角函数中与ω,φ相关的问题第1页
      高清全屏预览
      1/9
      5 重难突破2 三角函数中与ω,φ相关的问题第2页
      高清全屏预览
      2/9
      5 重难突破2 三角函数中与ω,φ相关的问题第3页
      高清全屏预览
      3/9
      9 培优拓展2 奔驰定理与三角形的四心第1页
      高清全屏预览
      1/8
      9 培优拓展2 奔驰定理与三角形的四心第2页
      高清全屏预览
      2/8
      9 培优拓展2 奔驰定理与三角形的四心第3页
      高清全屏预览
      3/8
      8 培优拓展1 极化恒等式与等和(高)线第1页
      高清全屏预览
      1/8
      8 培优拓展1 极化恒等式与等和(高)线第2页
      高清全屏预览
      2/8
      8 培优拓展1 极化恒等式与等和(高)线第3页
      高清全屏预览
      3/8
      7 重难突破8 数列中的证明及放缩问题第1页
      高清全屏预览
      1/7
      7 重难突破8 数列中的证明及放缩问题第2页
      高清全屏预览
      2/7
      7 重难突破8 数列中的证明及放缩问题第3页
      高清全屏预览
      3/7
      4 规范答题(五) 解析几何(审范围)第1页
      高清全屏预览
      1/4
      4 规范答题(五) 解析几何(审范围)第2页
      高清全屏预览
      2/4
      3 规范答题(二) 数列(审结论)第1页
      高清全屏预览
      1/3
      3 规范答题(一) 三角函数与解三角形(审条件)第1页
      高清全屏预览
      1/2
      4 第四讲 函数与导数的综合问题第1页
      高清全屏预览
      1/37
      4 第四讲 函数与导数的综合问题第2页
      高清全屏预览
      2/37
      4 第四讲 函数与导数的综合问题第3页
      高清全屏预览
      3/37
      2 第二讲  空间点、直线、平面之间的位置关系第1页
      高清全屏预览
      1/22
      2 第二讲  空间点、直线、平面之间的位置关系第2页
      高清全屏预览
      2/22
      2 第二讲  空间点、直线、平面之间的位置关系第3页
      高清全屏预览
      3/22
      1 第一讲  概率、随机变量及其分布第1页
      高清全屏预览
      1/22
      1 第一讲  概率、随机变量及其分布第2页
      高清全屏预览
      2/22
      1 第一讲  概率、随机变量及其分布第3页
      高清全屏预览
      3/22
      1 回顾一~回顾五第1页
      高清全屏预览
      1/21
      1 回顾一~回顾五第2页
      高清全屏预览
      2/21
      1 回顾一~回顾五第3页
      高清全屏预览
      3/21
      4 第四讲  空间向量与距离、探究性问题第1页
      高清全屏预览
      1/20
      4 第四讲  空间向量与距离、探究性问题第2页
      高清全屏预览
      2/20
      4 第四讲  空间向量与距离、探究性问题第3页
      高清全屏预览
      3/20
      1 第一讲 函数的图象与性质第1页
      高清全屏预览
      1/20
      1 第一讲 函数的图象与性质第2页
      高清全屏预览
      2/20
      1 第一讲 函数的图象与性质第3页
      高清全屏预览
      3/20
      3 第三讲  空间向量与空间角第1页
      高清全屏预览
      1/19
      3 第三讲  空间向量与空间角第2页
      高清全屏预览
      2/19
      3 第三讲  空间向量与空间角第3页
      高清全屏预览
      3/19
      2 第二讲 基本初等函数、函数与方程第1页
      高清全屏预览
      1/18
      2 第二讲 基本初等函数、函数与方程第2页
      高清全屏预览
      2/18
      2 第二讲 基本初等函数、函数与方程第3页
      高清全屏预览
      3/18
      2 第二讲  统计与成对数据的统计分析第1页
      高清全屏预览
      1/17
      2 第二讲  统计与成对数据的统计分析第2页
      高清全屏预览
      2/17
      2 第二讲  统计与成对数据的统计分析第3页
      高清全屏预览
      3/17
      1 第一讲  空间几何体的表面积与体积第1页
      高清全屏预览
      1/17
      1 第一讲  空间几何体的表面积与体积第2页
      高清全屏预览
      2/17
      1 第一讲  空间几何体的表面积与体积第3页
      高清全屏预览
      3/17
      3 第三讲 利用导数研究函数的性质第1页
      高清全屏预览
      1/17
      3 第三讲 利用导数研究函数的性质第2页
      高清全屏预览
      2/17
      3 第三讲 利用导数研究函数的性质第3页
      高清全屏预览
      3/17
      6 重难突破9 球的切、接、截面问题第1页
      高清全屏预览
      1/14
      6 重难突破9 球的切、接、截面问题第2页
      高清全屏预览
      2/14
      6 重难突破9 球的切、接、截面问题第3页
      高清全屏预览
      3/14
      2 第二讲 新高考压轴大题——新情境问题第1页
      高清全屏预览
      1/12
      2 第二讲 新高考压轴大题——新情境问题第2页
      高清全屏预览
      2/12
      2 第二讲 新高考压轴大题——新情境问题第3页
      高清全屏预览
      3/12
      4 重难突破12 体育比赛与闯关问题第1页
      高清全屏预览
      1/12
      4 重难突破12 体育比赛与闯关问题第2页
      高清全屏预览
      2/12
      4 重难突破12 体育比赛与闯关问题第3页
      高清全屏预览
      3/12
      3 第三讲 新高考压轴大题——学科交汇问题第1页
      高清全屏预览
      1/12
      3 第三讲 新高考压轴大题——学科交汇问题第2页
      高清全屏预览
      2/12
      3 第三讲 新高考压轴大题——学科交汇问题第3页
      高清全屏预览
      3/12
      1 第一讲 新高考压轴大题——新定义问题第1页
      高清全屏预览
      1/12
      1 第一讲 新高考压轴大题——新定义问题第2页
      高清全屏预览
      2/12
      1 第一讲 新高考压轴大题——新定义问题第3页
      高清全屏预览
      3/12
      7 重难突破10 立体几何中的动态问题第1页
      高清全屏预览
      1/11
      7 重难突破10 立体几何中的动态问题第2页
      高清全屏预览
      2/11
      7 重难突破10 立体几何中的动态问题第3页
      高清全屏预览
      3/11
      5 培优拓展3 生产生活情境下的预测与决策问题第1页
      高清全屏预览
      1/11
      5 培优拓展3 生产生活情境下的预测与决策问题第2页
      高清全屏预览
      2/11
      5 培优拓展3 生产生活情境下的预测与决策问题第3页
      高清全屏预览
      3/11
      8 重难突破15 极值点偏移问题第1页
      高清全屏预览
      1/10
      8 重难突破15 极值点偏移问题第2页
      高清全屏预览
      2/10
      8 重难突破15 极值点偏移问题第3页
      高清全屏预览
      3/10
      8 重难突破11 立体几何中的截面、交线问题第1页
      高清全屏预览
      1/10
      8 重难突破11 立体几何中的截面、交线问题第2页
      高清全屏预览
      2/10
      8 重难突破11 立体几何中的截面、交线问题第3页
      高清全屏预览
      3/10
      10 培优拓展7 洛必达法则、泰勒展开式第1页
      高清全屏预览
      1/10
      10 培优拓展7 洛必达法则、泰勒展开式第2页
      高清全屏预览
      2/10
      10 培优拓展7 洛必达法则、泰勒展开式第3页
      高清全屏预览
      3/10
      6 重难突破13 切线与公切线问题第1页
      高清全屏预览
      1/10
      6 重难突破13 切线与公切线问题第2页
      高清全屏预览
      2/10
      6 重难突破13 切线与公切线问题第3页
      高清全屏预览
      3/10
      7 重难突破14 隐零点问题第1页
      高清全屏预览
      1/10
      7 重难突破14 隐零点问题第2页
      高清全屏预览
      2/10
      7 重难突破14 隐零点问题第3页
      高清全屏预览
      3/10
      6 培优拓展4 概率与数列、函数、导数的综合问题第1页
      高清全屏预览
      1/10
      6 培优拓展4 概率与数列、函数、导数的综合问题第2页
      高清全屏预览
      2/10
      6 培优拓展4 概率与数列、函数、导数的综合问题第3页
      高清全屏预览
      3/10
      9 培优拓展6 导数中的同构问题第1页
      高清全屏预览
      1/9
      9 培优拓展6 导数中的同构问题第2页
      高清全屏预览
      2/9
      9 培优拓展6 导数中的同构问题第3页
      高清全屏预览
      3/9
      11 培优拓展8 导数中常见的放缩应用第1页
      高清全屏预览
      1/6
      11 培优拓展8 导数中常见的放缩应用第2页
      高清全屏预览
      2/6
      11 培优拓展8 导数中常见的放缩应用第3页
      高清全屏预览
      3/6
      2 回顾六~回顾八第1页
      高清全屏预览
      1/6
      2 回顾六~回顾八第2页
      高清全屏预览
      2/6
      2 回顾六~回顾八第3页
      高清全屏预览
      3/6
      5 规范答题(六) 函数与导数(审方法)第1页
      高清全屏预览
      1/4
      5 规范答题(六) 函数与导数(审方法)第2页
      高清全屏预览
      2/4
      3 规范答题(四) 概率与统计(审图表、数据)第1页
      高清全屏预览
      1/2
      5 规范答题(三) 立体几何(审图形)第1页
      高清全屏预览
      1/2
      还剩52页未读, 继续阅读

      2025《金版新学案》高三数学二轮专题复习含教师版及课件

      展开

      这是一份2025《金版新学案》高三数学二轮专题复习含教师版及课件,文件包含1回顾一回顾五pptx、2第二讲数列求和及其综合应用pptx、4第四讲空间向量与距离探究性问题pptx、4第四讲函数与导数的综合问题pptx、5培优拓展5解析几何中优化运算的常见技法pptx、3第三讲空间向量与空间角pptx、3第三讲圆锥曲线的综合问题pptx、3第三讲利用导数研究函数的性质pptx、2第二讲空间点直线平面之间的位置关系pptx、2第二讲基本初等函数函数与方程pptx、2第二讲圆锥曲线的定义方程与性质pptx、2第二讲统计与成对数据的统计分析pptx、2第二讲三角恒等变换与解三角形pptx、2引领二悟思想润素养pptx、1第一讲三角函数的图象与性质pptx、1第一讲概率随机变量及其分布pptx、1第一讲空间几何体的表面积与体积pptx、1第一讲直线与圆pptx、2回顾六回顾八pptx、1第一讲函数的图象与性质pptx、1第一讲等差数列等比数列pptx、6重难突破9球的切接截面问题pptx、1引领一新高考新趋势pptx、7重难突破10立体几何中的动态问题pptx、2第二讲新高考压轴大题新情境问题pptx、3第三讲新高考压轴大题学科交汇问题pptx、4重难突破12体育比赛与闯关问题pptx、4重难突破1与平面向量有关的最值范围问题pptx、1第一讲新高考压轴大题新定义问题pptx、6重难突破3三角形中的最值范围问题pptx、5培优拓展3生产生活情境下的预测与决策问题pptx、6培优拓展4概率与数列函数导数的综合问题pptx、4重难突破5裂项相消问题新视角pptx、8重难突破11立体几何中的截面交线问题pptx、5重难突破2三角函数中与ωφ相关的问题pptx、5重难突破6数列中的奇偶项问题pptx、8重难突破15极值点偏移问题pptx、7重难突破4三角形中的特殊线段问题pptx、6重难突破7数列的重构问题pptx、10培优拓展7洛必达法则泰勒展开式pptx、9培优拓展2奔驰定理与三角形的四心pptx、6重难突破13切线与公切线问题pptx、7重难突破14隐零点问题pptx、9培优拓展6导数中的同构问题pptx、8培优拓展1极化恒等式与等和高线pptx、7重难突破8数列中的证明及放缩问题pptx、11培优拓展8导数中常见的放缩应用pptx、3规范答题四概率与统计审图表数据pptx、3规范答题二数列审结论pptx、5规范答题六函数与导数审方法pptx、5规范答题三立体几何审图形pptx、4规范答题五解析几何审范围pptx、3规范答题一三角函数与解三角形审条件pptx、3第三讲圆锥曲线的综合问题docx、2引领二悟思想润素养docx、1第一讲直线与圆docx、1第一讲三角函数的图象与性质docx、2第二讲三角恒等变换与解三角形docx、1第一讲等差数列等比数列docx、2第二讲数列求和及其综合应用docx、5培优拓展5解析几何中优化运算的常见技法docx、2第二讲圆锥曲线的定义方程与性质docx、1引领一新高考新趋势docx、6重难突破3三角形中的最值范围问题docx、7重难突破4三角形中的特殊线段问题docx、4重难突破1与平面向量有关的最值范围问题docx、6重难突破7数列的重构问题docx、4重难突破5裂项相消问题新视角docx、5重难突破6数列中的奇偶项问题docx、5重难突破2三角函数中与ωφ相关的问题docx、9培优拓展2奔驰定理与三角形的四心docx、8培优拓展1极化恒等式与等和高线docx、7重难突破8数列中的证明及放缩问题docx、4规范答题五解析几何审范围docx、3规范答题二数列审结论docx、3规范答题一三角函数与解三角形审条件docx、4第四讲函数与导数的综合问题DOCX、2第二讲空间点直线平面之间的位置关系DOCX、1第一讲概率随机变量及其分布DOCX、1回顾一回顾五DOCX、4第四讲空间向量与距离探究性问题DOCX、1第一讲函数的图象与性质DOCX、3第三讲空间向量与空间角DOCX、2第二讲基本初等函数函数与方程DOCX、2第二讲统计与成对数据的统计分析DOCX、1第一讲空间几何体的表面积与体积DOCX、3第三讲利用导数研究函数的性质DOCX、6重难突破9球的切接截面问题DOCX、2第二讲新高考压轴大题新情境问题DOCX、4重难突破12体育比赛与闯关问题DOCX、3第三讲新高考压轴大题学科交汇问题DOCX、1第一讲新高考压轴大题新定义问题DOCX、5培优拓展3生产生活情境下的预测与决策问题DOCX、7重难突破10立体几何中的动态问题DOCX、8重难突破15极值点偏移问题DOCX、8重难突破11立体几何中的截面交线问题DOCX、10培优拓展7洛必达法则泰勒展开式DOCX、6重难突破13切线与公切线问题DOCX、7重难突破14隐零点问题DOCX、6培优拓展4概率与数列函数导数的综合问题DOCX、9培优拓展6导数中的同构问题DOCX、11培优拓展8导数中常见的放缩应用DOCX、2回顾六回顾八DOCX、5规范答题六函数与导数审方法DOCX、3规范答题四概率与统计审图表数据DOCX、5规范答题三立体几何审图形DOCX等106份课件配套教学资源,其中PPT共2323页, 欢迎下载使用。
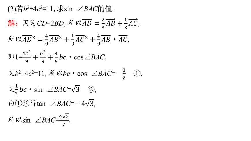
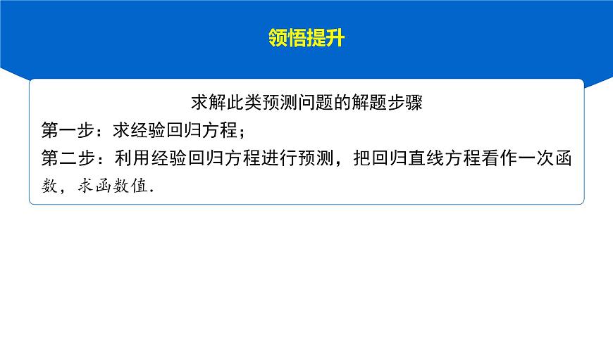
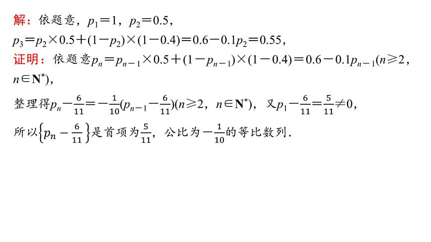
      1.混淆“分类”与“分步”,不能准确运用计数原理解题.易错题1 (2024·安徽合肥模拟)2024届高三某次联考中对尖端生采用屏蔽措施,某校有A,B,C,D,E五名屏蔽生总分在前9名,现在确定第一、二、五名是A,B,C三位同学,但A不是第一名,D,E两名同学只知道在6至9名,且D的成绩比E好,则这5位同学名次排列的种数有A.6种 B.12种C.24种 D.48种
      第一步排A有两种可能:第2名或第5名;第二步排B和C有两种可能;第三步排D和E,D有6,7,8位三种可能;当D为第6名时,E有7,8,9名三种可能,当D为第7名时,E有8,9名两种可能,当D为第8名时,E只有第9名一种可能,所以第三步的总数为3+2+1=6种;根据分步乘法计数原理,所有名次排列的总数=2×2×6=24种.故选C.
      2.混淆“排列”与“组合”致误,区别二者的关键是“顺序”,排列是有序的,组合无顺序.易错题2 (2024·陕西商洛模拟)某大楼安装了6个彩灯,它们闪亮的顺序不固定,每个彩灯只能闪亮1种固定的颜色,且闪亮的颜色各不相同,记这6个彩灯有序地闪亮一次为一个闪烁.在每个闪烁中,每秒钟有且只有一个彩灯闪亮,而相邻两个闪烁的时间间隔均为5秒.如果要实现所有不同的闪烁,那么需要的时间至少是A.7 205秒 B.7 200秒C.7 915秒 D.7 190秒
      7.正态密度曲线具有对称性,注意X~N(μ,σ2)时,P(X≥μ)=0.5的活用.易错题7 某病毒的潜伏期X(单位:日)近似服从正态分布X~N(7,σ2),若P(X>3)=0.872,则可以估计潜伏期大于或等于11天的概率为A.0.372 B.0.256 C.0.128 D.0.744
      因为X~N(7,σ2),所以P(X≥11)=P(X≤3)=1-P(X>3)=1-0.872=0.128.故选C.
      9.混淆频率分布条形图和频率分布直方图,误把频率分布直方图纵轴的几何意义当成频率,导致样本数据的频率求错.易错题9 (多选)(2024·广东茂名一模)中秋节起源于上古时代,普及于汉代,定型于唐代,如今逐渐演化为赏月、颂月等活动,以月之圆兆人之团圆,为寄托思念故乡,思念亲人之情,祈盼丰收、幸福,成为丰富多彩、弥足珍贵的文化遗产.某校举行与中秋节相关的“中国传统文化”知识竞赛,随机抽查了100人的成绩整理后得到如图所示的频率分布直方图,则下列结论正确的是A.样本的众数为75B.样本的71%分位数为75C.样本的平均值为68.5D.该校学生中得分低于60分的约占20%
      依题意,(0.015+0.025+0.035+0.005+2a)×10=1,解得a=0.010,对于A,因为最高小矩形的中点横坐标为75,所以众数是75,故A正确;对于B,设样本的71%分位数为x,又、10×(0.010+0.015+0.025)=0.5,所以0.5+(x-70)×0.035=0.71,解得x=76,故B错误;对于C,平均数为45×0.1+55×0.15+65×0.25+75×0.35+85×0.1+95×0.05=68.5,故C正确;对于D,样本中得分低于60分的占(0.010+0.015)×10=25%,所以该校学生中得分低于60分的约占25%,故D错误.故选AC.
      1.易忽视直线方程的几种形式的限制条件,如根据直线在两坐标轴上的截距相等设方程时,忽视截距为零的情况.易错题1 已知直线过点P(1,5),且在两坐标轴上的截距相等,则此直线的方程为_____________________.
      5x-y=0或x+y-6=0
      当截距为零时,则直线方程为y=5x,当截距不为零时,设直线方程为x+y=a,将点P(1,5)代入方程,得a=6.所以所求直线方程为5x-y=0或x+y-6=0.
      2.讨论两条直线的位置关系时,易忽视系数等于零时的讨论导致漏解,如两条直线垂直时,若一条直线的斜率不存在,则另一条直线斜率为零.易错题2 已知直线l1:(a-2)x+5y-3=0,l2:(a-2)x+ay-5=0,则“l1∥l2”是“a=2”的A.充分不必要条件 B.必要不充分条件C.充要条件 D.既不充分也不必要条件
      若l1∥l2则a(a-2)-5(a-2)=0,且3a-25≠0,所以a=5,或a=2,所以“l1∥l2”是“a=2”的必要不充分条件.故选B.
      4.混淆过圆上一点与过圆外一点的切线:过圆上一点的切线只有一条,过圆外一点作圆的切线有两条.易错题4 已知圆C:x2+y2+4x+6y+12=0,直线l过点P(-1,0),则“直线l的方程为4x-3y+4=0”是“直线l与圆C相切”的A.充分不必要条件B.必要不充分条件C.充要条件D.既不充分也不必要条件
      8.利用椭圆、双曲线的定义解题时,要注意两种曲线的定义形式及其限制条件.如在双曲线的定义中,有两点是缺一不可的:其一,绝对值;其二,2a0且a≠1)在R上为减函数,则函数y=lga(|x|-1)的图象可以是
      由于f(x)=ax(a>0且a≠1)在R上为减函数,则01或x1时,y=lga(x-1)是减函数,易知D正确.故选D.
      5.准确理解基本初等函数的定义和性质.避免研究指数函数y=ax(a>0,a≠1)的单调性时忽视对字母a的取值讨论或忽视ax>0,对数函数y=lgax(a>0,a≠1)忽视真数与底数的限制条件等错误的出现.易错题5 若函数f(x)=ax-1(a>0且a≠1)的定义域和值域都是[0,2],则实数a的值为________.
      6.比较数式大小不能寻找中间媒介(或关联函数)致误.易错题6 (2024·山东泰安模拟)已知a=lg0.20.3,b=ln a,c=2a,则a,b,c的大小关系为A.c>b>a B.a>b>cC.b>a>c D.c>a>b
      因为y=lg0.2x在(0,+∞)上单调递减,所以lg0.21

      相关课件

      2025《金版新学案》高三数学二轮专题复习含教师版及课件:

      这是一份2025《金版新学案》高三数学二轮专题复习含教师版及课件,文件包含1回顾一回顾五pptx、2第二讲数列求和及其综合应用pptx、4第四讲空间向量与距离探究性问题pptx、4第四讲函数与导数的综合问题pptx、5培优拓展5解析几何中优化运算的常见技法pptx、3第三讲空间向量与空间角pptx、3第三讲圆锥曲线的综合问题pptx、3第三讲利用导数研究函数的性质pptx、2第二讲空间点直线平面之间的位置关系pptx、2第二讲基本初等函数函数与方程pptx、2第二讲圆锥曲线的定义方程与性质pptx、2第二讲统计与成对数据的统计分析pptx、2第二讲三角恒等变换与解三角形pptx、2引领二悟思想润素养pptx、1第一讲三角函数的图象与性质pptx、1第一讲概率随机变量及其分布pptx、1第一讲空间几何体的表面积与体积pptx、1第一讲直线与圆pptx、2回顾六回顾八pptx、1第一讲函数的图象与性质pptx、1第一讲等差数列等比数列pptx、6重难突破9球的切接截面问题pptx、1引领一新高考新趋势pptx、7重难突破10立体几何中的动态问题pptx、2第二讲新高考压轴大题新情境问题pptx、3第三讲新高考压轴大题学科交汇问题pptx、4重难突破12体育比赛与闯关问题pptx、4重难突破1与平面向量有关的最值范围问题pptx、1第一讲新高考压轴大题新定义问题pptx、6重难突破3三角形中的最值范围问题pptx、5培优拓展3生产生活情境下的预测与决策问题pptx、6培优拓展4概率与数列函数导数的综合问题pptx、4重难突破5裂项相消问题新视角pptx、8重难突破11立体几何中的截面交线问题pptx、5重难突破2三角函数中与ωφ相关的问题pptx、5重难突破6数列中的奇偶项问题pptx、8重难突破15极值点偏移问题pptx、7重难突破4三角形中的特殊线段问题pptx、6重难突破7数列的重构问题pptx、10培优拓展7洛必达法则泰勒展开式pptx、9培优拓展2奔驰定理与三角形的四心pptx、6重难突破13切线与公切线问题pptx、7重难突破14隐零点问题pptx、9培优拓展6导数中的同构问题pptx、8培优拓展1极化恒等式与等和高线pptx、7重难突破8数列中的证明及放缩问题pptx、11培优拓展8导数中常见的放缩应用pptx、3规范答题四概率与统计审图表数据pptx、3规范答题二数列审结论pptx、5规范答题六函数与导数审方法pptx、5规范答题三立体几何审图形pptx、4规范答题五解析几何审范围pptx、3规范答题一三角函数与解三角形审条件pptx、3第三讲圆锥曲线的综合问题docx、2引领二悟思想润素养docx、1第一讲直线与圆docx、1第一讲三角函数的图象与性质docx、2第二讲三角恒等变换与解三角形docx、1第一讲等差数列等比数列docx、2第二讲数列求和及其综合应用docx、5培优拓展5解析几何中优化运算的常见技法docx、2第二讲圆锥曲线的定义方程与性质docx、1引领一新高考新趋势docx、6重难突破3三角形中的最值范围问题docx、7重难突破4三角形中的特殊线段问题docx、4重难突破1与平面向量有关的最值范围问题docx、6重难突破7数列的重构问题docx、4重难突破5裂项相消问题新视角docx、5重难突破6数列中的奇偶项问题docx、5重难突破2三角函数中与ωφ相关的问题docx、9培优拓展2奔驰定理与三角形的四心docx、8培优拓展1极化恒等式与等和高线docx、7重难突破8数列中的证明及放缩问题docx、4规范答题五解析几何审范围docx、3规范答题二数列审结论docx、3规范答题一三角函数与解三角形审条件docx、4第四讲函数与导数的综合问题DOCX、2第二讲空间点直线平面之间的位置关系DOCX、1第一讲概率随机变量及其分布DOCX、1回顾一回顾五DOCX、4第四讲空间向量与距离探究性问题DOCX、1第一讲函数的图象与性质DOCX、3第三讲空间向量与空间角DOCX、2第二讲基本初等函数函数与方程DOCX、2第二讲统计与成对数据的统计分析DOCX、1第一讲空间几何体的表面积与体积DOCX、3第三讲利用导数研究函数的性质DOCX、6重难突破9球的切接截面问题DOCX、2第二讲新高考压轴大题新情境问题DOCX、4重难突破12体育比赛与闯关问题DOCX、3第三讲新高考压轴大题学科交汇问题DOCX、1第一讲新高考压轴大题新定义问题DOCX、5培优拓展3生产生活情境下的预测与决策问题DOCX、7重难突破10立体几何中的动态问题DOCX、8重难突破15极值点偏移问题DOCX、8重难突破11立体几何中的截面交线问题DOCX、10培优拓展7洛必达法则泰勒展开式DOCX、6重难突破13切线与公切线问题DOCX、7重难突破14隐零点问题DOCX、6培优拓展4概率与数列函数导数的综合问题DOCX、9培优拓展6导数中的同构问题DOCX、11培优拓展8导数中常见的放缩应用DOCX、2回顾六回顾八DOCX、5规范答题六函数与导数审方法DOCX、3规范答题四概率与统计审图表数据DOCX、5规范答题三立体几何审图形DOCX等106份课件配套教学资源,其中PPT共2323页, 欢迎下载使用。

      《金版教程》2025-高考数学复习创新方案课件:

      这是一份《金版教程》2025-高考数学复习创新方案课件,文件包含第4讲第1课时ppt、第3讲第1课时ppt、第4讲第2课时ppt、第3讲第2课时ppt、第4讲第3课时ppt、第5讲ppt、第5讲ppt、第5讲ppt、第5讲ppt、第4讲ppt、第4讲ppt、第4讲ppt、第4讲ppt、第4讲ppt、第1讲ppt、第4讲ppt、第5讲ppt、第10讲ppt、第6讲ppt、第6讲ppt、第6讲ppt、第6讲ppt、第7讲ppt、第7讲ppt、第7讲ppt、第7讲ppt、第7讲ppt、第8讲ppt、第8讲ppt、第8讲ppt、第9讲ppt、高考大题冲关系列2ppt、高考大题冲关系列5ppt、第6讲ppt、第4讲ppt、第3讲ppt、第2讲ppt、第1讲ppt、第1讲ppt、第1讲ppt、第1讲ppt、第1讲ppt、第1讲ppt、第1讲ppt、第3讲ppt、第1讲ppt、第2讲ppt、第2讲ppt、第2讲ppt、第2讲ppt、第1讲ppt、第2讲ppt、第3讲ppt、第2讲ppt、第2讲ppt、第2讲ppt、第3讲ppt、第3讲ppt、第3讲ppt、第3讲ppt、第3讲ppt、第3讲ppt、第2讲ppt、第3讲ppt、第1讲ppt、第9讲ppt、第2讲ppt、高考大题冲关系列6ppt、高考大题冲关系列4ppt、高考大题冲关系列3ppt、高考大题冲关系列1ppt、素能培优二ppt、素能培优七ppt、素能培优八ppt、素能培优三ppt、素能培优四ppt、素能培优五ppt、素能培优一ppt、素能培优六ppt等79份课件配套教学资源,其中PPT共4429页, 欢迎下载使用。

      2025高考数学二轮复习-专题检测3【课件】:

      这是一份2025高考数学二轮复习-专题检测3【课件】,共42页。PPT课件主要包含了BCD等内容,欢迎下载使用。

      资料下载及使用帮助
      版权申诉
      • 1.电子资料成功下载后不支持退换,如发现资料有内容错误问题请联系客服,如若属实,我们会补偿您的损失
      • 2.压缩包下载后请先用软件解压,再使用对应软件打开;软件版本较低时请及时更新
      • 3.资料下载成功后可在60天以内免费重复下载
      版权申诉
      若您为此资料的原创作者,认为该资料内容侵犯了您的知识产权,请扫码添加我们的相关工作人员,我们尽可能的保护您的合法权益。
      入驻教习网,可获得资源免费推广曝光,还可获得多重现金奖励,申请 精品资源制作, 工作室入驻。
      版权申诉二维码
      欢迎来到教习网
      • 900万优选资源,让备课更轻松
      • 600万优选试题,支持自由组卷
      • 高质量可编辑,日均更新2000+
      • 百万教师选择,专业更值得信赖
      微信扫码注册
      手机号注册
      手机号码

      手机号格式错误

      手机验证码 获取验证码 获取验证码

      手机验证码已经成功发送,5分钟内有效

      设置密码

      6-20个字符,数字、字母或符号

      注册即视为同意教习网「注册协议」「隐私条款」
      QQ注册
      手机号注册
      微信注册

      注册成功

      返回
      顶部
      学业水平 高考一轮 高考二轮 高考真题 精选专题 初中月考 教师福利
      添加客服微信 获取1对1服务
      微信扫描添加客服
      Baidu
      map