新高考数学二轮复习解答题题型归类训练专题01 三角函数的图象与性质(2份,原卷版+解析版)
展开
这是一份新高考数学二轮复习解答题题型归类训练专题01 三角函数的图象与性质(2份,原卷版+解析版),文件包含新高考数学二轮复习解答题题型归类训练专题01三角函数的图象与性质原卷版doc、新高考数学二轮复习解答题题型归类训练专题01三角函数的图象与性质解析版doc等2份试卷配套教学资源,其中试卷共46页, 欢迎下载使用。
目录
TOC \ "1-1" \h \u \l "_Tc17026" 一、必备秘籍 PAGEREF _Tc17026 \h 1
\l "_Tc30992" 二、典型题型 PAGEREF _Tc30992 \h 2
\l "_Tc20199" 三、专项训练 PAGEREF _Tc20199 \h 5
一、必备秘籍
二、典型题型
1.(2023·陕西西安·校考一模)函数的部分图象如图所示,则下列结论正确的是( )
A.点是的对称中心
B.直线是的对称轴
C.的图象向右平移个单位得的图象
D.在区间上单调递减
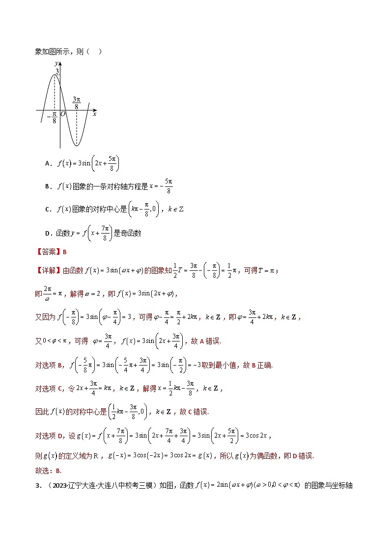
2.(2023·陕西咸阳·武功县普集高级中学校考模拟预测)函数的部分图象如图所示,则( )
A.
B.图象的一条对称轴方程是
C.图象的对称中心是,
D.函数是奇函数
3.(2023·辽宁大连·大连八中校考三模)如图,函数 的图象与坐标轴交于点,直线交的图象于点,坐标原点为的重心三条边中线的交点,其中,则( )
A.B.C.D.
4.(2023·山东泰安·统考模拟预测)已知函数的部分图象如图,则( )
A.
B.
C.点为曲线的一个对称中心
D.将曲线向右平移个单位长度得到曲线
5.(多选)(2023·广东梅州·统考三模)函数的部分图象如图所示,若,,,,恒成立,则实数的值可以为( )
A.B.C.D.
6.(2023·山东聊城·统考三模)如图,函数的图象经过的三个顶点,且.
(1)求;
(2)若的面积为,,求在区间上的值域.
三、专项训练
1.(2023·四川眉山·仁寿一中校考模拟预测).函数的部分图象如图所示,则下列说法正确的是( )
A.的最小正周期为
B.
C.在上单调递增
D.将函数的图象向左平移个单位,得到函数的图象
2.(2023·江苏徐州·校考模拟预测)函数(,)的部分图象如图所示,若在上有且仅有3个零点,则的最小值为( )
A.B.
C.D.
3.(2023·陕西宝鸡·统考二模)已知函数的部分图象如图所示,则该函数的解析式为( )
A.B.C.D.
4.(2023·河南郑州·统考模拟预测)已知函数(其中,)的图象如图所示,且满足,则( )
A.B.
C.D.
5.(2023·河北衡水·衡水市第二中学校考三模)函数的部分图象如图所示,则( )
A.-2B.-1C.0D.
6.(2023·广东韶关·统考模拟预测)函数的部分图象如图所示,将函数图象上所有点的横坐标变为原来的(纵坐标不变),再向左平移个单位得到的图象,则下列说法不正确的是( )
A.函数的最小正周期为B.函数在上单调递增
C.函数的一个极值点为D.函数的一个零点为
7.(2023·陕西安康·陕西省安康中学校考模拟预测)已知函数的部分图象如图所示,则( )
A.1B.C.2D.
8.(2023·宁夏石嘴山·石嘴山市第三中学校考模拟预测)如图是函数的部分图象,且,则( )
A.1B.C.D.
9.(多选)(2023·广西玉林·统考模拟预测)已知函数的部分图象如图所示,下列说法正确的是( )
A.
B.函数的图象关于对称
C.函数在的值域为
D.要得到函数的图象,只需将函数的图象向左平移个单位
10.(多选)(2023·河南·校联考模拟预测)已知函数的部分图象如图所示,则( )
A.B.的图象关于点对称
C.的图象关于直线对称D.在区间上单调递减
11.(多选)(2023·福建泉州·泉州七中校考模拟预测)如图,已知函数的图象与轴交于点,若,图象的一个最高点,则下列说法正确的是( )
A.
B.的最小正周期为4
C.的一个单调增区间为
D.图象的一条对称轴为
12.(2023·湖南长沙·长沙市实验中学校考三模)已知函数(,),若函数的部分图象如图所示,则关于函数下列结论正确的是( )
A.函数的图象关于直线对称
B.函数的图象关于点对称
C.函数在区间上单调递增
D.函数的图象可由函数的图象向左平移个单位长度得到
13.(多选)(2023·湖南长沙·长沙市实验中学校考二模)如图是函数(,,)的部分图像,则( )
A.的最小正周期为
B.是的函数的一条对称轴
C.将函数的图像向右平移个单位后,得到的函数为奇函数
D.若函数()在上有且仅有两个零点,则
14.(多选)(2023·江苏无锡·校联考三模)已知函数的部分图象如图所示,则( )
A.
B.在区间上单调递增
C.在区间上有且仅有2个极小值点
D.在区间上有且仅有2个极大值点
15.(多选)(2023·海南·校联考模拟预测)已知函数的部分图象如图所示,则( )
A.的图象关于点对称
B.的图象关于直线对称
C.在区间上单调递减
D.在区间上的值域为
16.(多选)(2023·全国·模拟预测)已知函数的部分图像如图,则( )
A.
B.
C.将曲线向右平移个单位长度得到曲线
D.点为曲线的一个对称中心
17.(2023·贵州六盘水·统考模拟预测)已知函数在一个周期内的图象如图所示.
(1)求
的解析式;
(2)当
时,求使
成立的x的取值集合.
18.(2023·安徽·池州市第一中学校联考模拟预测)已知函数的部分图象如图所示.
(1)求函数的解析式;
(2)将函数的图象向右平移个单位,再横坐标伸长为原来的2倍,纵坐标不变,最后将图象向上平移1个单位,得到函数的图象,求函数在区间上的值域.
19.(2023·辽宁鞍山·鞍山一中校考二模)函数的部分图象如图所示.
(1)求函数的解析式;
(2)将函数的图象先向右平移个单位,再将所有点的横坐标缩短为原来的(纵坐标不变),得到函数的图象,若关于的方程在上有两个不等实根,求实数的取值范围,并求的值.
20.(2023·安徽六安·安徽省舒城中学校考模拟预测)已知函数)的部分图象如图所示.
(1)求函数的解析式;
(2)在中,角的对边分别是,若,求的取值范围.
21.(2023·安徽安庆·安庆一中校考模拟预测)某港口在一天之内的水深变化曲线近似满足函数,其中为水深(单位:米),为时间(单位:小时),该函数图像如图所示.
(1)求函数的解析式;
(2)若一艘货船的吃水深度(船底与水面的距离)为4米,安全条例规定至少要有1.5米的安全间隙(船底与水底的距离),则该船一天之内至多能在港口停留多久?必备公式
辅助角公式
,(其中);
求解析式
求法
方法一:代数法 方法二:读图法表示平衡位置;表示振幅
求法
方法一:图中读出周期,利用求解;
方法二:若无法读出周期,使用特殊点代入解析式但需注意根据具体题意取舍答案.
求法
方法一:将最高(低)点代入求解;
方法二:若无最高(低)点,可使用其他特殊点代入求解;但需注意根据具体题意取舍答案.
相关试卷
这是一份专题01 三角函数的图象与性质(典型题型归类训练)-2025年高考数学二轮复习解答题解题技巧(新高考专用),文件包含专题01三角函数的图象与性质典型题型归类训练原卷版docx、专题01三角函数的图象与性质典型题型归类训练解析版docx等2份试卷配套教学资源,其中试卷共34页, 欢迎下载使用。
这是一份2024-2025学年高考数学复习解答题提优思路(全国通用)专题01三角函数的图象与性质(典型题型归类训练)(学生版+解析),共31页。试卷主要包含了必备秘籍,典型题型,专项训练,解答题等内容,欢迎下载使用。
这是一份高考数学复习解答题提高第一轮专题复习专题01二项分布(典型题型归类训练)(学生版+解析),共41页。试卷主要包含了必备秘籍,典型题型,专项训练等内容,欢迎下载使用。

