还剩3页未读,
继续阅读
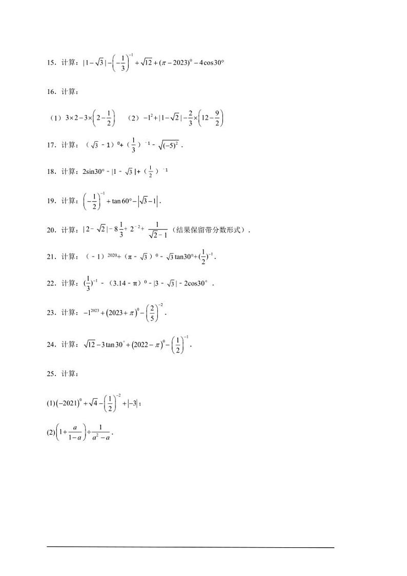
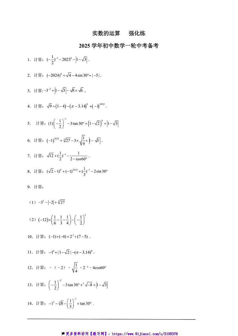
实数的运算强化练2025学年初中数学一轮中考备考试卷
展开
这是一份实数的运算强化练2025学年初中数学一轮中考备考试卷,共6页。
相关试卷
2024河南中考数学复习 实数的运算及大小比较 强化精练 (含答案):
这是一份2024河南中考数学复习 实数的运算及大小比较 强化精练 (含答案),共3页。试卷主要包含了 下列实数中,最大的数是, 与 eq \r 可以合并的是, 定义新运算“”,规定, 下列计算正确的是, 估计 eq \r 的值在, 计算等内容,欢迎下载使用。
备考2024年中考数学计算能力训练2 实数的运算:
这是一份备考2024年中考数学计算能力训练2 实数的运算,共13页。试卷主要包含了选择题,填空题,计算题,综合题,实践探究题等内容,欢迎下载使用。
专题01 实数的运算篇-备考2024年中考数学考点总结+题型专训(全国通用):
这是一份专题01 实数的运算篇-备考2024年中考数学考点总结+题型专训(全国通用),文件包含专题01实数的运算篇原卷版docx、专题01实数的运算篇解析版docx等2份试卷配套教学资源,其中试卷共11页, 欢迎下载使用。

