湖南省郴州市2024-2025学年高三上学期12月期末考试数学试题(Word版附解析)
展开
这是一份湖南省郴州市2024-2025学年高三上学期12月期末考试数学试题(Word版附解析),文件包含湖南省郴州市2024-2025学年高三上学期12月期末考试数学试题原卷版docx、湖南省郴州市2024-2025学年高三上学期12月期末考试数学试题解析版docx等2份试卷配套教学资源,其中试卷共22页, 欢迎下载使用。
1.答题前,考生务必将自己的姓名、考生号填写在试卷和答题卡上,并将考生号条形码粘贴在答题卡上的指定位置.
2.回答选择题时,选出每小题答案后,用铅笔把答题卡对应题目的答案标号涂黑.如需改动,用橡皮擦干净后,再选涂其他答案标号.回答非选择题时,将答案写在答题卡上.写在本试卷上无效.
3.考试结束后,将本试卷和答题卡一并交回.
一、单项选择题:本题共8小题,每小题5分,共40分.在每小题给出的四个选项中,只有一项是符合题目要求的.
1. 已知集合,,则( )
A. B. C. D.
【答案】B
【解析】
【分析】化简集合B,根据集合的交集运算求解.
【详解】因为,,
所以
故选:B
2. 设,是两个平面,,是两条直线,若,,则“”是“,”的( )
A. 充分不必要条件B. 必要不充分条件
C. 充要条件D. 既不充分也不必要条件
【答案】A
【解析】
【分析】根据平面平行的性质与判定及充分条件、必要条件的概念得解.
【详解】若,,则,可能平行,也可能相交,故不一定成立,
若,则,,
故是,的充分不必要条件.
故选:A
3. 已知向量,满足,,则( )
A. 1B. 2C. D.
【答案】C
【解析】
【分析】根据已知结合向量的线性运算可得向量,的坐标,再根据坐标的模长运算可得的值.
【详解】因为,,所以,
则,所以,
所以.
故选:C.
4. 抛掷一枚质地均匀的骰子两次,得到的点数分别为,,则“”的概率为( )
A. B. C. D.
【答案】D
【解析】
【分析】求出基本事件的总数和随机事件“”中含有的基本事件的个数,利用对立事件的概率公式可求“”的概率.
【详解】抛掷一枚质地均匀的骰子两次,共有种基本事件,
设为抛掷一枚质地均匀的骰子两次,得到的点数分别为,,则“”,
则中共有基本事件3种:,,
所以,故“”的概率为.
故选:D.
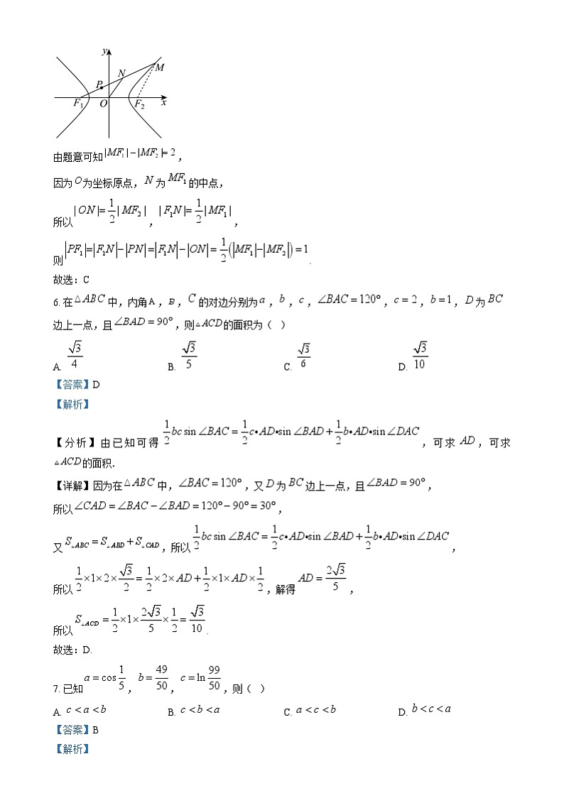
5. 已知双曲线的左、右焦点分别为,,为的右支上一点,为的中点,为线段上一点,若(为坐标原点),则( )
A. 4B. 2C. 1D.
【答案】C
【解析】
【分析】利用双曲线的定义及中位线的性质求解即可.
【详解】如图,连接,
由题意可知,
因为为坐标原点,为的中点,
所以,,
则.
故选:C
6. 在中,内角,,的对边分别为,,,,,,为边上一点,且,则的面积为( )
A. B. C. D.
【答案】D
【解析】
【分析】由已知可得,可求,可求的面积.
【详解】因为在中,,又为边上一点,且,
所以,
又,所以,
所以,解得,
所以.
故选:D.
7. 已知,,,则( )
A. B. C. D.
【答案】B
【解析】
【分析】构造函数,利用单调性可判断的大小,构造函数,利用单调性可判断的大小,进而可得结论.
【详解】令,求导得,
令,所以,所以在上单调递增,
所以,所以,所以单调递增,
所以,所以,
所以,所以,即,
令,求导得,
所以在上单调递减,所以,
所以,所以,所以,
所以,所以.
故选:B.
8. 已知是递减的整数数列,若,且,则的最小值为( )
A. 54B. 55C. 63D. 64
【答案】D
【解析】
【分析】根据数列为递减的整数数列,考虑所给条件,利用等差数列的求和公式及通项公式分析即可得解.
【详解】因为是递减的整数数列,
所以要使最小,应使递减的幅度尽可能小,考虑公差为的等差数列,
设,由,得.
记的前项和为,则,当时,,
不满足题意;当时,,
因为,只需去掉这一项即可,
即满足题意的数列为 ,即的最小值为 64.
故选:D
【点睛】关键点点睛:由数列最后一项为,为了首项最小,可考虑递减幅度最小,公差为的数列探索求解即可.
二、多项选择题:本题共3小题,每小题6分,共18分.在每小题给出的选项中,有多项符合题目要求,全部选对的得6分,部分选对的得部分分,有选错的得0分.
9. 已知事件、发生的概率分别为,,则下列结论正确的是( )
A. B.
C. 一定有D. 若,则与相互独立
【答案】ABD
【解析】
【分析】由对立事件的概率公式可判断A选项;由可判断B选项;根据事件的包含关系可判断C选项;根据独立事件的定义和性质可判断D选项.
【详解】对于A选项,由对立事件的概率公式可得,A对;
对于B选项,因为,
当且仅当时,等号成立,
又因为,,
所以,
,
当且仅当时,等号成立,
综上所述,,B对;
对于C选项,因为,,无法确定、的包含关系,C错;
对于D选项,因为,
所以,,则、独立,进而可知,与相互独立,D对
故选:ABD.
10. 已知函数则( )
A. 在区间上单调递增
B. 仅有个极大值点
C. 无最大值,有最小值
D. 当时,关于的方程共有个实根
【答案】BC
【解析】
【分析】利用函数的单调性与导数的关系可判断A选项;利用函数的极值点与导数的关系可判断B选项;利用函数的最值与导数的关系可判断C选项;数形结合可判断D选项.
【详解】对于A选项,当时,,
则,
当时,,此时函数单调递增,
当时,,此时函数单调递减,A错;
对于B选项,由A选项知,函数在上有一个极大值点,
当时,,则,此时函数单调递增,
当时,,此时函数有极小值点,无极大值点,
综上所述,函数仅有个极大值点,B对;
对于C选项,当时,,
当时,,
所以,函数的最小值为,函数无最大值,C对;
对于D选项,如下图所示:
由图可知,当时,关于的方程共有个实根,D错.
故选:BC.
11. 已知正方体的棱长为,、、分别为棱、、上的动点,是空间中任意一点,则下列结论正确的是( )
A.
B. 用一个平面截该正方体,所得截面面积的最大值为
C. 若,则的最大值为
D. 若,则三棱锥的体积最大时,其外接球的体积为
【答案】ACD
【解析】
【分析】利用线面垂直的性质可判断A选项;计算出截面的面积,可判断B选项;利用空间向量法结合基本不等式可判断C选项;确定点的位置,利用补形法求出三棱锥外接球的半径长,结合球体体积公式可判断D选项.
【详解】对于A选项,因为平面,平面,则,
因为四边形为正方形,则,
因为,、平面,所以,平面,
因为平面,所以,,A对;
对于B选项,取截面,因为平面,平面,则,
易得,,且四边形为矩形,
则,
所以,用一个平面截该正方体,所得截面面积的最大值不是,B错;
对于C选项,以点为坐标原点,、、所在直线分别为、、轴建立空间直角坐标系,
则、、,设点、,
,,
因为,则,
可得,
当且仅当时,即当时,等号成立,
所以,当时,则的最大值为,C对;
对于D选项,设点,则,,
因为,则,可得,
所以,的最大值为,此时,,即当点的坐标为,
点到平面的距离达到最大值,
因为为定值,此时,三棱锥的体积取最大值,
且,
由于平面,将三棱锥补成长方体,如下图所示:
则三棱锥的外接球直径为,
可得,所以,其外接球的体积为,D对.
故选:ACD.
【点睛】方法点睛:求空间多面体的外接球半径的常用方法:
①补形法:侧面为直角三角形,或正四面体,或对棱二面角均相等模型,可以还原到正方体或长方体中去求解;
②利用球的性质:几何体中在不同面均对直角的棱必然是球大圆直径,也即球的直径;
③定义法:到各个顶点距离均相等的点为外接球的球心,借助有特殊性底面的外接圆圆心,找其垂线,则球心一定在垂线上,再根据代其他顶点距离也是半径,列关系求解即可;
④坐标法:建立空间直角坐标系,设出外接球球心的坐标,根据球心到各顶点的距离相等建立方程组,求出球心坐标,利用空间中两点间的距离公式可求得球的半径.
三、填空题:本题共3小题,每小题5分,共15分.
12. 若,则______________.
【答案】16
【解析】
【分析】根据复数的乘法运算及复数相等求解.
【详解】因为,
所以,,
故答案为:16
13. 已知函数的图象关于直线对称,则______________.
【答案】3
【解析】
【分析】根据函数定义域确定对称轴得出,再由轴对称的关系式化简确定得解.
【详解】由知,即,
所以函数的定义域为
由函数的图象关于直线对称,
所以,且恒成立,
即,
所以,整理得,
所以,故
故答案为:3
14. 已知定点和,当点在椭圆上运动时,的面积的最小值为2,最大值为18,则______________.
【答案】
【解析】
【分析】设直线的方程,点的坐标,求出点到直线的距离,分析出最大值与最小值,利用比例得出,即可由面积公式求.
【详解】由题知直线不与椭圆相交,
可设直线的方程为,点,
则点到直线的距离为,
由题可知为定值,则当变化时,的最大值与最小值的
比值为,因为的值不为0,所以其值恒为正或恒为负.
由辅助角公式可知的最大值为,为正,
所以的最小值也为正,
所以,解得,所以,
因为的面积的最小值为2,所以,所以.
故答案为:
【点睛】关键点点睛:利用不为零,得出恒正或恒负,由的最大值为正,据此得出最小值的符号也为正,因此可利用最大值与最小值的比值求.
四、解答题:本题共5小题,共77分.解答应写出文字说明、证明过程或演算步骤.
15. 已知函数的部分图象如图所示.
(1)求的解析式;
(2)若在区间上存在最小值,求实数的取值范围.
【答案】(1)
(2)
【解析】
【分析】(1)根据正弦型函数的最值、最小正周期、取最大值时的值确定解析式的从而得的解析式;
(2)根据函数的最值与正弦函数的图象性质列不等式求解实数的取值范围即可.
【小问1详解】
由图可得,
由,则最小正周期,即,
又当时,取到最大值,则,
所以,又,所以,
所以;
【小问2详解】
当时,,
若函数在区间上存在最小值,则,解得,
所以实数的取值范围为.
16. 如图,在几何体中,平面,,且,四边形为菱形,,.
(1)求证:;
(2)求平面与平面夹角的余弦值.
【答案】(1)证明见解析;
(2)
【解析】
【分析】(1)利用线面垂直证明线线垂直,再证明线面垂直即可得线线垂直;
(2)利用空间向量法来求二面角夹角余弦值即可.
【小问1详解】
由平面,平面,得:,
再由四边形为菱形,得:,
因为,所以平面,且,
所以平面,又因为平面,
所以;
【小问2详解】
以菱形中心为坐标原点,如图建立空间直角坐标系,
由,,可知,
再由,可知,
则,
所以,
设平面的法向量为,
则有,
令,则,即,
设平面的法向量为,
则有,
令,则,即,
则,
即平面与平面夹角的余弦值为.
17. 在直角坐标系中,已知抛物线上两动点,满足.
(1)证明:直线过定点;
(2)设直线过定点,以为直径作圆,过点且斜率为的直线与交于,两点,将圆沿轴折起,使平面平面,求折起后的长度的取值范围.
【答案】(1)证明见解析
(2)
【解析】
【分析】(1)设直线的方程为:,且,设,联立直线与抛物线得交点坐标关系,利用得,进行坐标运算转换即可得的值,从而证得结论;
(2)设直线,联立直线与圆的方程,可得,结合折叠后的线段关系可得,结合函数性质,从而可得折起后的长度的取值范围.
【小问1详解】
由题可设直线的方程为:,且,设,
则,,
所以,
因为,所以,
解得(舍)或,
则直线的方程为:,故直线过定点;
【小问2详解】
由(1)得,以为直径作圆,则圆心,半径,
则圆的方程为,
设直线,
联立直线与圆的方程,可得,
所以,
作轴于轴于,连接,
因为平面平面,交线为轴,,平面,
所以平面,则,
故折起后
,
又,所以,
即折起后的长度的取值范围为.
18. (1)证明:,其中,,且.
(2)证明:若服从二项分布,则.
(3)甲、乙两人进行乒乓球比赛,每局甲赢的概率为,乙赢的概率为.双方约定比满局,赢的局数多的人获胜.设甲获胜的概率为,证明是递增数列,并说明该结论的实际含义.
【答案】(1)证明见解析;(2)证明见解析;(3)证明见解析,结论见解析.
【解析】
【分析】(1)利用组合数的阶乘公式计算推理得证.
(2)利用二项分布的概率公式及期望的定义列式,结合(1)的结论及二项式定理推理得证.
(3)利用全概率公式,结合条件概率求出与的关系即可得证,进而写出实际含义.
【详解】(1).
(2)令,由服从二项分布,得,
因此,
令,所以
(3)设事件“比满局甲获胜”,“第局甲胜”,“第局甲胜”,
因此
,而,则,
所以是递增数列,该结论实际含义是:比赛局数越多,对实力较强者(如甲)越有利.
19. 已知函数的图象在点处的切线方程为.
(1)求,的值.
(2)若正项数列的前项和为,且,,证明:
(ⅰ);
(ⅱ).
【答案】(1)
(2)证明见解析
【解析】
【分析】(1)根据导数的几何意义求,,结合切线方程可得,的值;
(2)(i)结合指数与对数的关系,要证转换为,设,不等式化为,构造函数,求导确定单调性与最值即可得结论;(ii)先证明,即证,构造函数即可得证,从而可得,结合等比数列的前项和即可证得结论.
【小问1详解】
,
由题意可得,则,
又,切点在切线上,
所以,则,所以,解得;
【小问2详解】
(ⅰ)因为,所以要证,即证
又,所以即证,
因为数列为正项数列,所以可设,不等式化为,
设,则恒成立,
故函数在上单调递增,则恒成立,
即上恒成立,则原命题得证;
(ii)先证明,即证,
设,
则,
又设函数,则,所以时,,
则函数在上单调递增,故,
即当时,恒成立,所以,
所以,
所以,则在上单调递增,
所以,则所证不等式成立,
因为,所以,所以,
又,所以,
所以当时,,
又当时,,
故.
【点睛】方法点睛:利用导数证明不等式的基本步骤:
(1)作差或变形;
(2)构造新的函数h(x);
(3)利用导数研究h(x)的单调性或最值;
(4)根据单调性及最值,得到所证不等式.
特别地:当作差或变形构造的新函数不能利用导数求解时,一般转化为分别求左、右两端两个函数的最值问题.
相关试卷
这是一份湖南省郴州市2024-2025学年高三上学期12月期末考试数学试题(PDF版附解析),共12页。
这是一份湖南省郴州市2024-2025学年高三上学期12月期末考试数学试题,共4页。
这是一份湖南省名校2024-2025学年高三上学期10月联考数学试题(Word版附解析),共18页。试卷主要包含了选择题的作答,非选择题的作答等内容,欢迎下载使用。

