还剩1页未读,
继续阅读
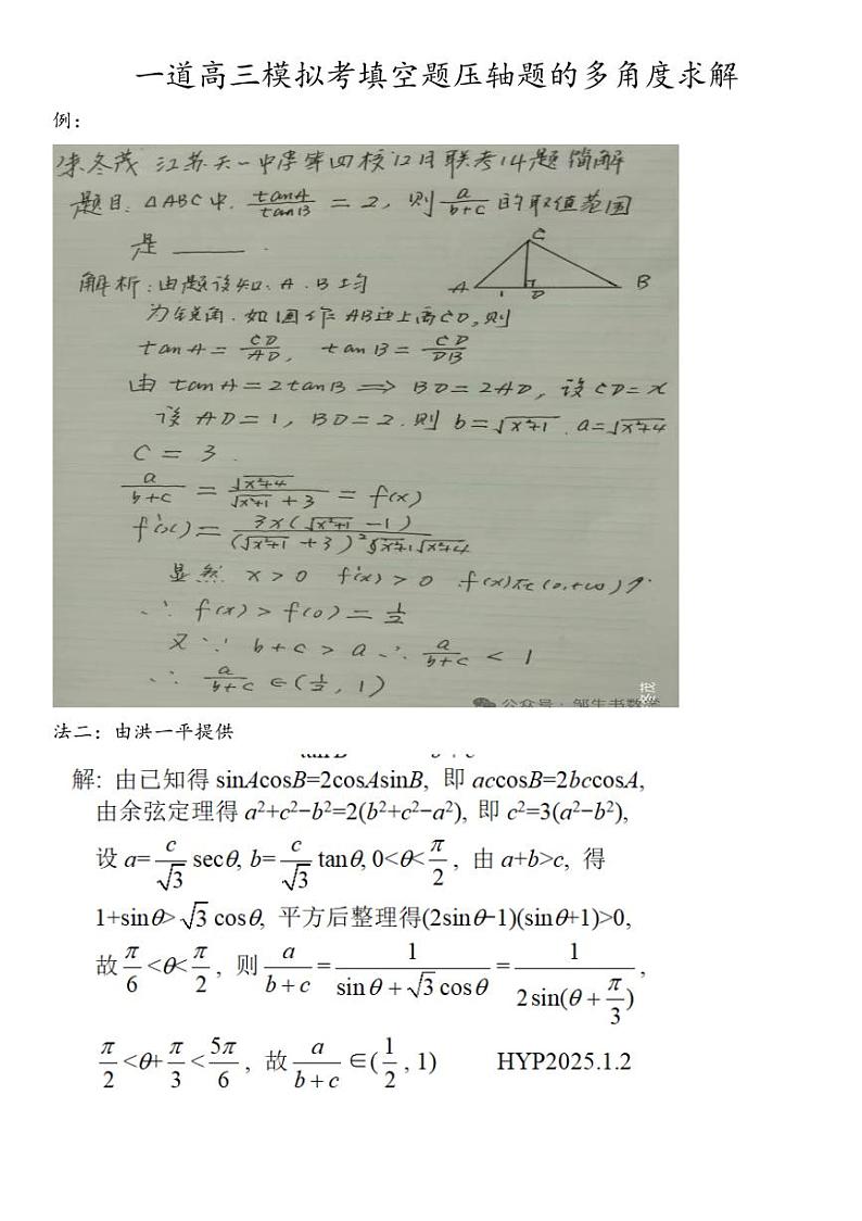
一道高三数学模拟考填空题压轴题的多角度求解
展开
这是一份一道高三数学模拟考填空题压轴题的多角度求解,共2页。
相关试卷
专题5.1 求解曲线的离心率的值或范围问题-【玩转压轴】突破高考数学选择和填空题精讲:
这是一份专题5.1 求解曲线的离心率的值或范围问题-【玩转压轴】突破高考数学选择和填空题精讲,文件包含专题51求解曲线的离心率的值或范围问题原卷版docx、专题51求解曲线的离心率的值或范围问题解析版docx等2份试卷配套教学资源,其中试卷共39页, 欢迎下载使用。
专题3.1 复杂数列的通项公式求解问题-【玩转压轴】突破高考数学选择和填空题精讲:
这是一份专题3.1 复杂数列的通项公式求解问题-【玩转压轴】突破高考数学选择和填空题精讲,文件包含专题31复杂数列的通项公式求解问题原卷版docx、专题31复杂数列的通项公式求解问题解析版docx等2份试卷配套教学资源,其中试卷共29页, 欢迎下载使用。
专题66 递推法求解概率-2023年高考数学优拔尖核心压轴题(选择、填空题)(新高考地区专用):
这是一份专题66 递推法求解概率-2023年高考数学优拔尖核心压轴题(选择、填空题)(新高考地区专用),共6页。

