还剩10页未读,
继续阅读
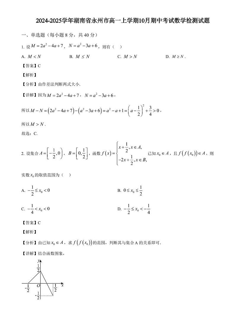
2024-2025学年湖南省永州市高一上学期10月期中考试数学检测试题(含解析)
展开
这是一份2024-2025学年湖南省永州市高一上学期10月期中考试数学检测试题(含解析),共13页。
相关试卷
2024-2025学年湖南省永州市高一上学期期中考试数学学情检测试卷(含解析):
这是一份2024-2025学年湖南省永州市高一上学期期中考试数学学情检测试卷(含解析),共17页。
2024-2025学年湖南省永州市高一上学期10月月考数学检测试题(含解析):
这是一份2024-2025学年湖南省永州市高一上学期10月月考数学检测试题(含解析),共14页。
2024-2025学年湖南省永州市宁远县高一上学期期中考试数学检测试题(附解析):
这是一份2024-2025学年湖南省永州市宁远县高一上学期期中考试数学检测试题(附解析),共14页。

