所属成套资源:安徽省1号卷A10联盟2025届高三上学期12月质检考各科试题合集(附参考答案)
安徽省1号卷A10联盟2025届高三上学期12月质检考数学试卷(附参考答案)
展开
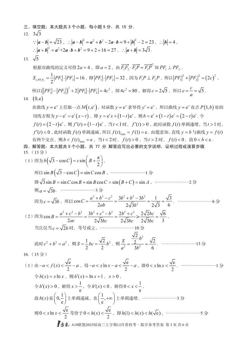
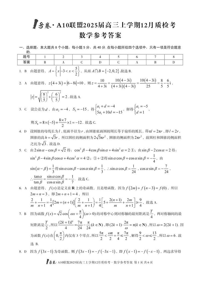
这是一份安徽省1号卷A10联盟2025届高三上学期12月质检考数学试卷(附参考答案),文件包含安徽省1号卷A10联盟2025届高三上学期12月质检考数学答案pdf、安徽省1号卷A10联盟2025届高三上学期12月质检考数学pdf等2份试卷配套教学资源,其中试卷共10页, 欢迎下载使用。
相关试卷
这是一份安徽省1号卷A10联盟2025届高三上学期12月质检联考-数学试卷+答案,共10页。
这是一份A10联盟2025届高三上学期12月质检考数学试卷及参考答案,文件包含1号卷·A10联盟2025届高三上学期12月质检考数学答案pdf、1号卷·A10联盟2025届高三上学期12月质检考日语答案pdf、1号卷·A10联盟2025届高三上学期12月质检考物理答案pdf、1号卷·A10联盟2025届高三上学期12月质检考英语答案pdf、1号卷·A10联盟2025届高三上学期12月质检考化学答案pdf、1号卷·A10联盟2025届高三上学期12月质检考思想政治答案pdf、1号卷·A10联盟2025届高三上学期12月质检考生物学答案pdf、语文1号卷·A10联盟2025届高三上学期12月质检考语文答案pdf、1号卷·A10联盟2025届高三上学期12月质检考历史答案pdf、1号卷·A10联盟2025届高三上学期12月质检考地理答案pdf、1号卷·A10联盟2025届高三上学期12月质检考日语听力mp3、1号卷·A10联盟2025届高三上学期12月质检考英语听力mp3等12份试卷配套教学资源,其中试卷共34页, 欢迎下载使用。
这是一份安徽省1号卷A10联盟2025届高三上学期12月质检考数学试卷(PDF版附解析),共10页。

