山东省滕州市第一中学2024-2025学年高三上学期12月月考数学试题
展开
这是一份山东省滕州市第一中学2024-2025学年高三上学期12月月考数学试题,文件包含数学试卷docx、数学试卷pdf、数学试卷答案pdf等3份试卷配套教学资源,其中试卷共14页, 欢迎下载使用。
高 三 数 学 试 卷
2024.12
本试卷共10页,19小题,满分150分.
注意事项:
1.答题前,先将自己的姓名、准考证号、考场号、座位号填写在试卷和答题卡上.
2.选择题的作答:每小题选出答案后,用2B铅笔把答题卡上对应题目的答案标号涂黑.写在试卷、草稿纸和答题卡上的非答题区域均无效.
3.填空题和解答题的作答:用黑色签字笔直接答在答题卡上对应的答题区域内.写在试卷、草稿纸和答题卡上的非答题区域均无效.
4.考试结束后,请将本试卷和答题卡一并上交.
一、选择题:本题共 8 小题,每小题 5 分,共 40 分. 在每小题给出的四个选项中,只有一个选项是正确的.请把正确的选项填涂在答题卡相应的位置上.
1设集合,集合,则集合( )
A. B. C. D.
2. 复数方程解的个数为( )
A. 4个 B. 3个 C. 2个 D. 1个
3. 已知非零向量 a=0,t,b=1,-4 ,若向量 b 在 a 方向上的投影向量为 2a ,则 t= ( )
A. -2 B. -4 C. 2 D. 4
4. 已知角的顶点与原点重合,始边与x轴正半轴重合,终边经过点,则()
A. B. C. D.
5. 已知圆锥的母线与底面所成角为,其内切球(球与圆锥底面及侧面均相切)的表面积为,则该圆锥的体积为( )
A. B. C. D.
6. 已知函数,在上单调递增,则的取值范围是( )
A. B. C. D.
7.已知函数,若时,取极值0,则ab的值为( )
A. 3B. 18C. 3或18D. 不存在
8. 已知点、是椭圆的左、右焦点,点为椭圆上一点,点关于的角平分线的对称点也在椭圆B上,若,则椭圆的离心率为( )
A. B. C. D.
二、选择题:本题共 3 小题,每小题 6 分,共 18 分. 在每小题给出的选项中,有多项符合题目要求. 全部选对得 6 分,部分选对的得部分分,选对但不全的得部分分,有选错的得0分.
9. 设等比数列的公比为,其前项和为,前项积为,并满足条件:,,下列结论正确的是( )
A. B. C. 是数列中的最大值 D. 数列无最大值
10. 已知函数,下列说法正确的是( )
A.的最小正周期为 B.点为图象的一个对称中心
C.若在上有两个实数根,则
D.若的导函数为,则函数的最大值为
11. 如图,在直三棱柱 中,,Q是线段的中点,
P是线段上的动点 (含端点),则下列命题正确的是 ( )
A. 三棱锥的体积为定值
B. 直线与所成角的正切值的最小值是
C. 在直三棱柱 内部能够放入一个表面积为的球
D. 的最小值为
三、填空题:本题共 3 小题,每小题 5 分,共 15 分.
12. 函数图像的对称中心的坐标为______.
13. 已知直线与圆相交于,两点,则的最小值为______.
14. 在三棱锥中,与中点分别为,点为中点.若在上满足在上满足,平面交于点,且,
则__________.
四、解答题:本题共 5 小题,共 77 分. 解答应写出文字说明、证明过程或演算步骤.
15. 如图,已知在正三棱柱中,,且点分别为棱的中点.
(1)过点作三棱柱截面交于点,求线段长度;
(2)求平面与平面夹角的余弦值.
16. (15分)
△的内角的对边分别为,,,已知.
(1)若,,求△的面积;
(2)若角为钝角,求的取值范围.
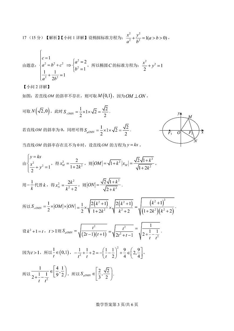
17已知椭圆的中心在坐标原点,两个焦点分别为,,点 在椭圆上.
(1)求椭圆的标准方程;
(2)已知直线与椭圆交于、两点,且,求面积的取值范围.
18. 已知数列满足,,公差不为的等差数列满足,,成等比数列,
(1)证明:数列是等比数列.
(2)求和的通项公式.
(3)在与之间从的第一项起依次插入中的项,构成新数列:,,,,,,,,,,….求中前项的和.
19. 设是定义域为D且图象连续不断的函数,若存在区间和,使得在上单调递增,在上单调递减,则称为“山峰函数”,为“峰点”,称为的一个“峰值区间”.
(1)判断是否是山峰函数?若是,请指出它的一个峰值区间;若不是,请说明理由;
(2)已知,是山峰函数,且是它的一个峰值区间,求m的取值范围;
(3)设,函数.设函数是山峰函数,是它的一个峰值区间,并记的最大值为.若,且,,求的最小值.(参考数据:)
相关试卷
这是一份山东省滕州市第一中学2024-2025学年高三上学期12月月考数学试题,共4页。
这是一份山东省滕州市第一中学等校2024-2025学年高一上学期11月期中质量检测数学试题,文件包含高一数学试题pdf、高一数学答案pdf等2份试卷配套教学资源,其中试卷共10页, 欢迎下载使用。
这是一份山东省枣庄市滕州市2024-2025学年高三上学期11月定时训练(期中)数学试题,文件包含山东省枣庄市滕州市20242025学年高三上学期11月期中数学试题pdf、山东省枣庄市滕州市20242025学年高三上学期11月期中数学试题docx、山东省枣庄市滕州市20242025学年高三上学期11月期中数学答案pdf等3份试卷配套教学资源,其中试卷共16页, 欢迎下载使用。

