所属成套资源:2025年高考数学一轮复习课件
51 第6章 第5课时 数列的综合应用-2025年高考数学一轮复习课件
展开
这是一份51 第6章 第5课时 数列的综合应用-2025年高考数学一轮复习课件,共25页。PPT课件主要包含了典例精研核心考点,课时分层作业四十,数列的综合应用等内容,欢迎下载使用。
第5课时 数列的综合应用
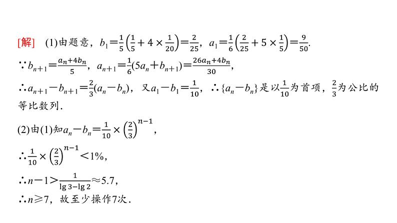
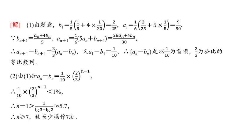
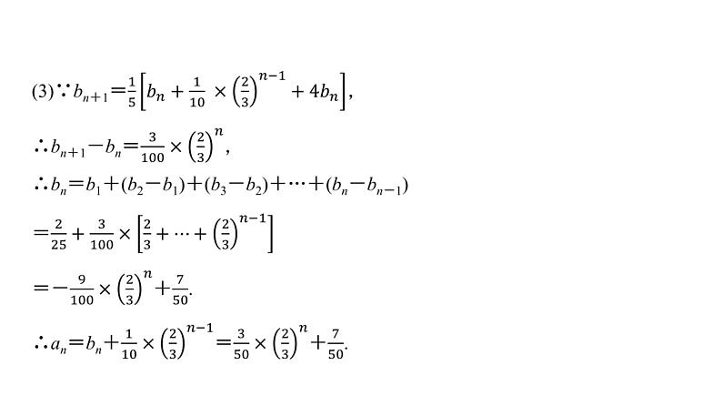
考点一 数列模型的应用[典例1] 容器A内装有6 L质量分数为20%的盐水溶液,容器B内装有4 L质量分数为5%的盐水溶液,先将A内的盐水倒1 L进入B内,再将B内的盐水倒1 L进入A内,称为一次操作.这样反复操作n次,A,B容器内的盐水的质量分数分别为an,bn.(1)求a1,b1,并证明{an-bn}是等比数列;(2)至少操作多少次,A,B两容器内的盐水浓度之差小于1%(取lg 2≈0.301 0,lg 3≈0.477 1);(3)求an,bn的表达式.
名师点评 数列实际应用中的常见模型(1)等差模型:如果增加(或减少)的量是一个固定的数,则该模型是等差模型,这个固定的数就是公差;(2)等比模型:如果后一个量与前一个量的比是一个固定且不为零的数,则该模型是等比模型,这个固定的数就是公比;(3)递推数列模型:如果题目中给出的前后两项之间的关系不固定,随项的变化而变化,则应考虑是第n项an与第n+1项an+1的递推关系还是前n项和Sn与前n+1项和Sn+1之间的递推关系.一般地,涉及递增率或递减率要用等比数列,涉及依次增加或依次减少要用等差数列,有的问题需通过转化得到等差或等比数列.
(1)B (2)BCD [(1)由题可知cn=(1+10%)cn-1-100=1.1cn-1-100,设cn+k=1.1(cn-1+k),解得k=-1 000.即cn-1 000=1.1(cn-1-1 000),故数列{cn-1 000}是首项为c1-1 000=200,公比为1.1的等比数列.所以cn-1 000=200×1.1n-1,则cn=200×1.1n-1+1 000,所以c10=200×1.19+1 000≈200×2.358+1 000≈1 472.故选B.
[解] (1)∵4Sn=anan+1,n∈N*,①∴4a1=a1·a2,又a1=2,∴a2=4.当n≥2时,4Sn-1=an-1an,②①-②得4an=anan+1-an-1an.由题意知an≠0,∴an+1-an-1=4.当n=2k+1,k∈N*时,a2k+2-a2k=4,即a2,a4,…,a2k是首项为4,公差为4的等差数列,∴a2k=4+(k-1)×4=4k=2×2k;当n=2k,k∈N*时,a2k+1-a2k-1=4,即a1,a3,…,a2k-1是首项为2,公差为4的等差数列,∴a2k-1=2+(k-1)×4=4k-2=2(2k-1).综上可知,an=2n,n∈N*.
名师点评 数列与不等式的恒成立的问题可借助数列的单调性或转化为函数的最值问题解答.
巩固课堂所学 · 激发学习思维夯实基础知识 · 熟悉命题方式自我检测提能 · 及时矫正不足
本节课掌握了哪些考点?本节课还有什么疑问点?
相关课件
这是一份高考数学一轮复习第5章数列第4节数列求和课件,共53页。
这是一份高考数学一轮复习第5章数列第3节等比数列课件,共57页。
这是一份高考数学一轮复习第5章数列第2节等差数列课件,共60页。

