高考数学一轮复习第5章数列第4节数列求和课件
展开必备知识·回顾教材重“四基”
关键能力·研析考点强“四翼”
考点1 利用公式法求数列的和——基础性
考点2 利用分组法求数列的和——基础性
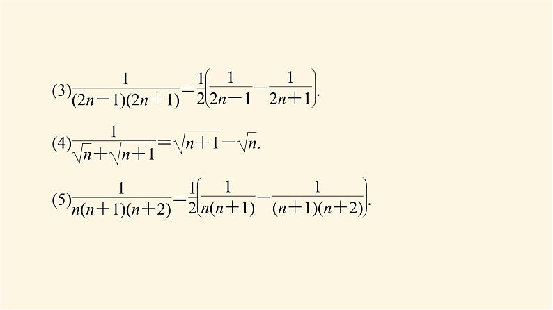
考点3 利用裂项相消法求数列的和——综合性
考点4 利用错位相减法求数列的和——应用性
2024届人教A版高考数学一轮复习第7章数列第4节数列求和课件: 这是一份2024届人教A版高考数学一轮复习第7章数列第4节数列求和课件,共34页。
高考数学一轮总复习课件第4章数列第4讲数列求和(含解析): 这是一份高考数学一轮总复习课件第4章数列第4讲数列求和(含解析),共43页。PPT课件主要包含了2裂项相消法,3错位相减法,4倒序相加法,名师点睛,题组一走出误区,答案BCD,答案A,题组三真题展现,答案4,变式训练等内容,欢迎下载使用。
备战2024年高考总复习一轮(数学)第6章 数列 第4节 数列求和课件PPT: 这是一份备战2024年高考总复习一轮(数学)第6章 数列 第4节 数列求和课件PPT,共37页。PPT课件主要包含了内容索引,强基础固本增分,研考点精准突破,2基本步骤等内容,欢迎下载使用。

