资料中包含下列文件,点击文件名可预览资料内容
还剩2页未读,
继续阅读
2025届广西名校高三年级上学期9月联合调研测试+数学试题
展开
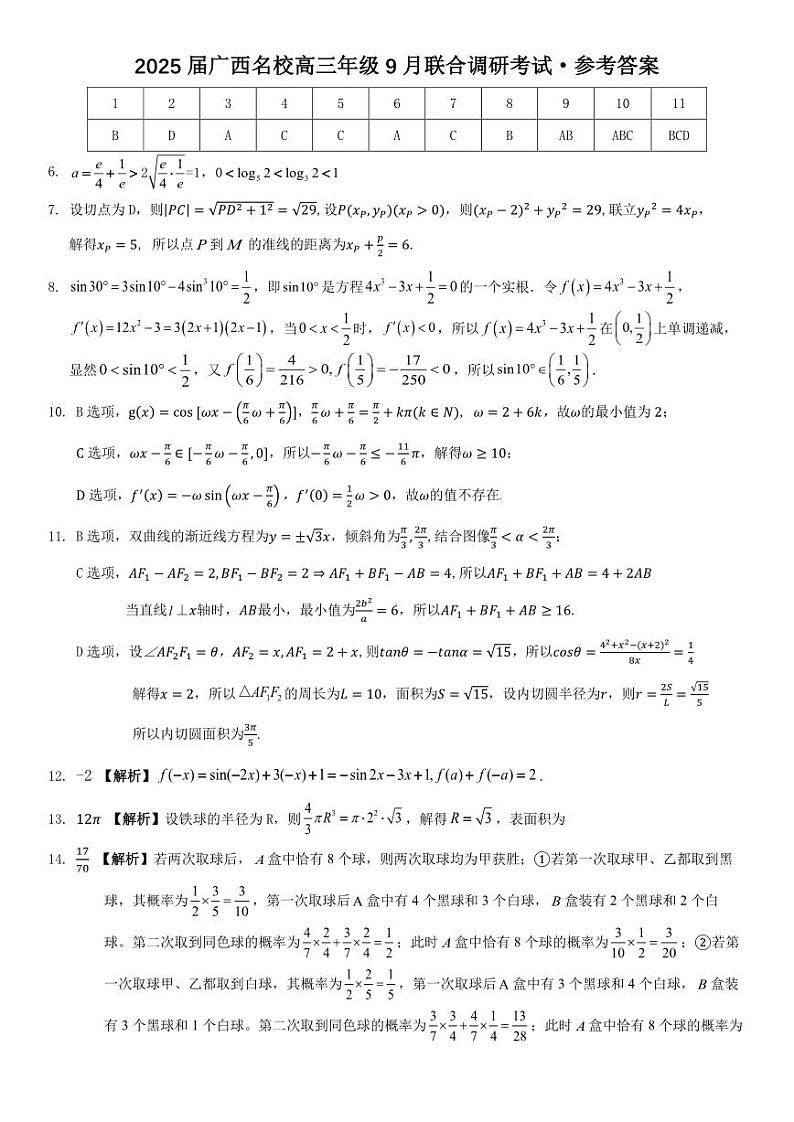
这是一份2025届广西名校高三年级上学期9月联合调研测试+数学试题,文件包含2025届广西名校高三年级9月联合调研测试+数学pdf、2025届广西名校高三年级9月联合调研测试+数学答案pdf等2份试卷配套教学资源,其中试卷共8页, 欢迎下载使用。
相关试卷
广西名校2024-2025学年高三上学期9月联合调研测试 数学科试卷(含解析):
这是一份广西名校2024-2025学年高三上学期9月联合调研测试 数学科试卷(含解析),共18页。试卷主要包含了已知,则,设等比数列的前n项和为,,,则,已知点P在抛物线M,根据公式,的值所在的区间是,已知函数,则下列说法中正确的是等内容,欢迎下载使用。
2025届广西名校高三9月联合调研测试试卷+数学(含答案):
这是一份2025届广西名校高三9月联合调研测试试卷+数学(含答案),文件包含2025届广西名校高三年级9月联合调研测试试卷+数学pdf、2025届广西名校高三年级9月联合调研测试试卷+数学答案pdf等2份试卷配套教学资源,其中试卷共8页, 欢迎下载使用。
[数学]广西名校2025届高三上学期9月联合调研测试试卷(解析版):
这是一份[数学]广西名校2025届高三上学期9月联合调研测试试卷(解析版),共16页。试卷主要包含了单选题,多选题,填空题,解答题等内容,欢迎下载使用。

